Boltzmanns Concepts of Reaction Rates 1122020 Distribution of
Boltzmann’s Concepts of Reaction Rates 11/2/2020
Distribution of Air Particles N u m b er Height
Mathcad & EXCEL P. S. 5
Perrin Experiment: Mathcad Calculation Picture File
Distribution of Molecular Energy Levels Where: E = Ei – Ej & e- E/k. T = Boltzman Factor If Boltz. Factor Comment E << k. T Close to 1 Ratio of population is equal E ~ k. T 1/e = 0. 368 Upper level drops suddenly E >> k. T About 0 Zero upper level population
(S 14) The Barometric Formulation
(S 14) The Barometric Formulation E = Ei – Ej
The Barometric Formulation – S 11
The Barometric Formulation • Calculate the pressure at mile high city (Denver, CO). [1 mile = 1610 m] Po = 101. 325 k. Pa , T = 300. K. Assume 20. 0 and 80. 0 mole % of oxygen gas and nitrogen gas, respectively.
Molecular Temperature Distribution Measurement of Vibrational Temp. in Hot Gases, Plasmas, Explosions Rotational Low Temp. in Interstellar Gases Electronic High Stellar Temp. of Atoms and Ions
The Kinetic Molecular Model for Gases ( Postulates ) • Gas consists of large number of small individual particles with negligible size • Particles in constant random motion and collisions • No forces exerted among each other • Kinetic energy directly proportional to temperature in Kelvin
K-M Model: Root-Mean-Square Speed
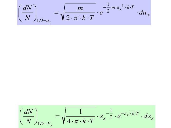
Maxwell-Boltzmann Distribution M-B Equation gives distribution of molecules in terms of: • Speed/Velocity, and • Energy One-dimensional Velocity Distribution in the x-direction: [ 1 Du-x ]
Mcad
MB Distribution: Normalization Mcad Integral Tables
1 D-x Maxwell-Boltzmann Distribution One-dimensional Velocity Distribution in the x-direction: [ 1 Du-x ] One-dimensional Energy Distribution in the x-direction: [ 1 DE-x ]
3 D Maxwell-Boltzmann Distribution 3 D Velocity Distribution: Cartesian Coordinates: [ 3 Du ] , Let: a = m/2 k. T
3 D Maxwell-Boltzmann Distribution Re-shape box into sphere of same volume with radius u. V = (4/3) u 3 with u 2 = u x 2 + u y 2 + u z 2 d. V = dux duy duz = 4 u 2 du
3 D Maxwell-Boltzmann Distribution Low T High T Mcad
3 D Maxwell-Boltzmann Distribution Conversion of Velocity-distribution to Energy-distribution: = ½ m u 2 ; d = mu du
Velocity Values from M-B Distribution • urms = root mean square velocity • uavg = average velocity • ump = most probable velocity Integral Tables
Velocity Value from M-B Distribution – S 14 Integral Tables
Velocity Value from M-B Distribution – S 14 • urms = root mean square velocity Integral Tables
Velocity Value from M-B Distribution S 14 • uavg = average velocity Integral Tables
Velocity Value from M-B Distribution S 14 • ump = most probable velocity
Comparison of Velocity Values Ratio in terms of : urms uavg ump 1. 73 1. 60 1. 41
Application to other Distribution Functions
Collision Properties ( Ref: Barrow ) • ZI = collision frequency = number of collisions per molecule • = mean free path = distance traveled between collisions • ZII = collision rate = total number of collisions • Main Concept => Treat molecules as hard-spheres
Collision Frequency ( ZI ) Interaction Volume ( VI ): ( d = interaction diameter ) Define: N* = N/V = molecules per unit volume
Mean Free Path ( )
Collision Rate ( ZII ) Double Counting Factor
Viscosity ( ) from Drag Effects
Kinetic-Molecular-Theory Gas Properties - Collision Parameters @ 25 o. C and 1 atm Collision diameter Mean free path Collision Frequency Collision Rate d / 10 -10 m d / Å / 10 -8 m ZI / 109 s-1 ZII / 1034 m-3 s-1 12. 4 19. 1 6. 56 7. 16 6. 99 4. 41 2. 96 17. 6 8. 1 8. 9 7. 6 7. 0 10. 6 Species H 2 He N 2 O 2 Ar CO 2 HI 2. 73 2. 18 3. 74 3. 57 3. 62 4. 56 5. 56 14. 3 6. 6 7. 2 6. 2 5. 7 8. 6 7. 5
Boltzmann’s Concepts of Reaction Rates
Theories of Reaction Rates
Arrhenius Concept The Arrhenius Equation • Arrhenius discovered most reaction-rate data obeyed the Arrhenius equation: • Including natural phenomena such as: • Chirp rates of crickets • Creeping rates of ants
Extended Arrhenius Equation Experimentally, m cannot be determined easily! Implication: both A & Ea vary quite slowly with temperature. On the other hand, rate constants vary quite dramatically with temperature.
Extended Arrhenius Equation
Reaction Progress
Collision Theory Main Concept: Rate Determining Step requires Bimolecular Encounter (i. e. collision) Rxn Rate = (Collision Rate Factor) x (Activation Energy) ZII (from simple hard sphere collision properties) Fraction of molecules with E > Ea : e-Ea/RT (Maxwell-Boltzmann Distribution)
Fraction of molecules with E > Ea : e-Ea/RT (Maxwell-Boltzmann Distribution)
Collision Theory: collision rate ( ZII ) For A-B collisions: AB , v. AB
Collision Diameter Number per Unit Volume
Collision Theory: collision rate ( ZII )
Collision Theory: Rate Constant Calculations Collision Theory: Kinetics: Combining Collision Theory with Kinetics:
Collision Theory: Rate Constant Calculations A-A Collisions m 2 Units of k: m s-1 per molecule dm 3 mol-1 s-1 M-1 s-1
Collision Theory: Rate Constant Calculations A-B Collisions Units of k: dm 3 mol-1 s-1 M-1 s-1
Collision Theory: Rate Constant Calculations Consider: 2 NOCl(g) 2 NO(g) + Cl 2(g) Ea = 103 k. J/mol T = 600. K d. NOCl = 283 pm (hard-sphere diameter) Calculate the second order rate constant.
http: //www. ubc. ca/index. html
Transition State Theory Concept: Activated Complex or Transition State ( ‡ ) 3 D Potential Energy Surface Saddle point H 2 + D 2 2 HD H 2 + D 2 H H D D Activated Complex or Transition State ( ‡ ) 2 HD
Potential Energy Surfaces D + H 2 DH + H Consider: D r 1 HA r 2 Most favorable at: r 1= d. H-D r 2 = d. H-H HB = 0 o , 180 o Calculate energy of interaction at different r 1, r 2 and . Get 3 D Energy Map. Reaction coordinate = path of minimum energy leading from reactants to products.
Reactions in Solutions Compared to gaseous reactions, reactions in solutions require diffusion through the solvent molecules. The initial encounter frequencies should be substantially higher for gas collisions. However, in solutions, though initial encounters are lower, but once the reactants meet, they get trapped in “solvent cages”, and could have a great number of collisions before escaping the solvent cage.
Diffusion Controlled Solutions Smoluchowski (1917): D = diffusion coefficient a = radius; = viscosity
Diff-paper
Quantum Mechanical Tunneling • curvature in Arrhenius plots • abnormal A-factors • relative isotope effects • low Ea
Boltzmann’s Concepts of Reaction Rates
Theories of Reaction Rates
- Slides: 59