Bipolar Junction Transistors BJT NPN PNP BJT CrossSections

Bipolar Junction Transistors (BJT) NPN PNP

BJT Cross-Sections Emitter Collector NPN PNP

Common-Emitter NPN Transistor Reverse bias the CBJ Forward bias the BEJ

Input Characteristics • Plot IB as f(VBE, VCE) • As VCE increases, more VBE required to turn the BE on so that IB>0. • Looks like a pn junction volt-ampere characteristic.

Output Characteristics • Plot IC as f(VCE, IB) • Cutoff region (off) – both BE and BC reverse biased • Active region – BE Forward biased – BC Reverse biased • Saturation region (on) – both BE and BC forward biased

Transfer Characteristics

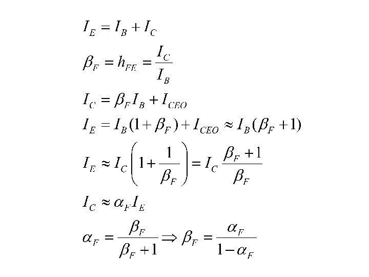
Large-Signal Model of a BJT KCL >> IE = IC + IB βF = h. FE = IC/IB IC = βFIB + ICEO IE = IB(1 + βF) IE = IC(1 + 1/βF) IE = IC(βF + 1)/βF


Transistor Operating Point

DC Load Line VCC/RC VCC

BJT Transistor Switch

BJT Transistor Switch (continued)

BJT in Saturation

Model with Current Gain

Miller Effect vbe iout vce

Miller Effect (continued)

Miller Effect (continued) • Miller Capacitance, CMiller = Ccb(1 – A) – since A is usually negative (phase inversion), the Miller capacitance can be much greater than the capacitance Ccb • This capacitance must charge up to the base-emitter forward bias voltage, causing a delay time before any collector current flows.

Saturating a BJT • Normally apply more base current than needed to saturate the transistor • This results in charges being stored in the base region • To calculate the extra charge (saturating charge), determine the emitter current

The Saturating Charge • The saturating charge, Qs storage time constant of the transistor

Transistor Switching Times

Switching Times – turn on • Input voltage rises from 0 to V 1 • Base current rises to IB 1 • Collector current begins to rise after the delay time, td • Collector current rises to steady-state value ICS • This “rise time”, tr allows the Miller capacitance to charge to V 1 • turn on time, ton = td + tr

Switching Times – turn off • Input voltage changes from V 1 to –V 2 • Base current changes to –IB 2 • Base current remains at –IB 2 until the Miller capacitance discharges to zero, storage time, ts • Base current falls to zero as Miller capacitance charges to –V 2, fall time, tf • turn off time, toff = ts + tf

Charge Storage in Saturated BJTs Charge storage in the Base Charge Profile during turn-off

Example 4. 2

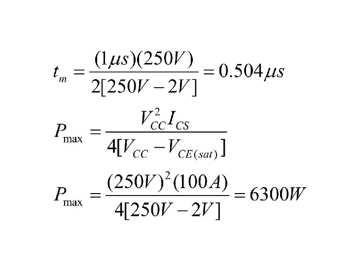
Waveforms for the Transistor Switch VCC = 250 V VBE(sat) = 3 V IB = 8 A VCS(sat) = 2 V ICS = 100 A td = 0. 5 µs tr = 1 µs ts = 5 µs tf = 3 µs fs = 10 k. Hz duty cycle k = 50 % ICEO = 3 m. A


Power Loss due to IC for ton = td + tr • During the delay time, 0 ≤t ≤td • Instantaneous Power Loss • Average Power Loss

During the rise time, 0 ≤t ≤tr


Average Power during rise time

Total Power Loss during turn-on


Power Loss during the Conduction Period


Power Loss during turn off Storage time


Power Loss during Fall time

Power Loss during Fall time (continued)


Power Loss during the off time

The total average power losses

Instantaneous Power for Example 4. 2

BJT Switch with an Inductive Load

Load Lines
- Slides: 44