Bio Sci 145 A Lecture 14 Transcription factors
Bio. Sci 145 A Lecture 14 - Transcription factors I • • Principles of gene regulation Identification of regulatory element binding proteins Functional analysis Transcription factors - introduction • Additional reading – nuclear transport Nakielny and Dreyfuss (1999) Cell 99, 677 -690. – Nuclear pore structure Daneholt (1997) Cell 88, 585588. – Nuclear receptors • Evans (1988) Science 240, 889 -895 • Orphan receptors - Blumberg and Evans (1998) Genes and Development 12, 3149 -3155 • Last year’s final exam is now posted. – I will post answers in a couple of weeks after you have had time to work through the questions Bio. Sci 145 A lecture 14 page 1 ©copyright Bruce Blumberg 2000. All rights reserved
Principles of gene regulation • Why does gene expression need to be controlled anyway? – Primary purpose in multicellular organisms is to execute precise developmental decisions so that • proper genes are expressed at – appropriate time – correct place – at the required levels • so that development, growth and differentiation proceed correctly – maintenance of homeostasis • produce required substances in appropriate amounts – nutrients, cofactors, etc. • degrade undesired substances from – diet – metabolism – injury • inter and intracellular signaling processes • Where are the control points? – Activation of gene structure – initiation of transcription – processing of the transcript to m. RNA – transport of m. RNA to cytoplasm – translation of m. RNA – processing and stability of protein Bio. Sci 145 A lecture 14 page 2 ©copyright Bruce Blumberg 2000. All rights reserved
Principles of gene regulation (contd) • Activation of gene structure – genes are active only in cells where they are expressed – structure of gene determines whether it is can be transcribed or not – activation of an active structure may be one of the first steps in gene regulation • modification of DNA – methylation of DNA inactivates genes – active genes are hypomethylated • modification of histones – methylation and acetylation of histones activates gene expression » acetylase activates • active genes are in an open, hypomethylated conformation. – associated histones are hyper-acetylated – one of the primary responsibilities of cell-type specific transcription factors is to facilitate the formation of an active chromatin conformation • majority of alleged co-activator and co-repressor proteins are relatively non-specific modifiers of chromatin conformation that interact with specific factors targeting chromatin remodeling Bio. Sci 145 A lecture 14 page 3 ©copyright Bruce Blumberg 2000. All rights reserved
Principles of gene regulation (contd) Bio. Sci 145 A lecture 14 page 4 ©copyright Bruce Blumberg 2000. All rights reserved
Principles of gene regulation (contd) • Initiation of transcription – Once the DNA template is accessible, the next requirement is to form the initiation complex • although other forms of regulation are important, the majority of regulatory events occur at the initiation of transcription – genes under common control share response elements (aka cis-acting elements, enhancers) • these sequences are presumed to be recognized by specific protein(s) • the protein(s) functions as a transcription factor needed for RNA polymerase to initiate • the active protein is only available when the gene is to be expressed – response elements are often cell-type or tissuespecific • because binding proteins are cell-type specific • but this is a tautology – each gene has multiple response elements • each regulatory event depends on the binding of a protein to a particular response element • any one of these can independently activate the gene • combinatorial regulation by multiple elements and proteins is a central mechanism by which levels of gene expression are modulated Bio. Sci 145 A lecture 14 page 5 ©copyright Bruce Blumberg 2000. All rights reserved
Principles of gene regulation (contd) – cis-acting control elements can be located many kilobases away from the transcriptional start site • in intergenic regions • in introns • some elements may be quite close to TATA box or other intitiator elements – cis-acting elements are responsible for allowing the recruitment of TBP and assembly of the initiation complex. Bio. Sci 145 A lecture 14 page 6 ©copyright Bruce Blumberg 2000. All rights reserved
Transcription factors and the preinitiation complex • cooperative assembly of an activated transcription initiation complex at the TTR promoter in hepatocytes. – Four activators enriched in hepatocytes plus ubiquitous AP-1 factors bind to sites in the hepatocyte-specific enhancer and promoterproximal region of the TTR gene – Activation domains of the bound activators interact extensively with co-activators, TAF subunits of TFIID, Srb/mediator proteins and general transcription factors. This causes looping of DNA and formation of stable initiation complex – Highly cooperative nature of complex assembly prevents initiation complex from forming in other cells that lack all four of the hepatocyte-enriched transcription factors. Bio. Sci 145 A lecture 14 page 7 ©copyright Bruce Blumberg 2000. All rights reserved
Principles of gene regulation (contd) • processing of the transcript to m. RNA – RNA is synthesized as an exact copy of DNA • heterogeneous nuclear RNA (hn. RNA) – hn. RNA gets capped and polyadenylated – introns are spliced out by the spliceosome, a large complex of RNA and proteins. • exons can also be spliced out as well. Alternative splicing may produce proteins with new functions. – Molecular mechanisms underlying alternative splicing are still only poorly understood – regulation of alternative splicing is important in the CNS and for sex determination – splice junctions are read in pairs • spliceosome binds to a 5’ splice donor and scans for a lariat sequence followed by a 3’ splice acceptor • mutations in either site can lead to exon skipping – principle underlying gene trapping – m. RNA is now ready for transport to cytoplasm – some organisms perform trans splicing between m. RNAs • another way to generate m. RNA diversity Bio. Sci 145 A lecture 14 page 8 ©copyright Bruce Blumberg 2000. All rights reserved
Principles of gene regulation (contd) • transport of m. RNA to cytoplasm – capping, polyadenylation and splicing of m. RNA are prerequisites to transport – macromolecules are specifically transported bidirectionally though nuclear pores • direction controlled by nuclear import and export signals in macromolecules – fully processed m. RNAs are packaged into ribonucleoprotein particles, m. RNPs • hn. RNP proteins contain nuclear export sequences – These are transported through the pore complex, unwinding as they do so – On the cytoplasmic side of the pore, the m. RNA is stripped from the RNP by binding to ribosomes – those with signal sequences are paused and subsequently associate with ER – those without are translated directly Bio. Sci 145 A lecture 14 page 9 ©copyright Bruce Blumberg 2000. All rights reserved
Principles of gene regulation (contd) • translation of m. RNA – by default, m. RNAs are all translated – efficiency is important for protein levels. • regulatory genes tend to be poorly translated – two primary mediators of efficiency • consensus around the ATG – optimum is ACCACCATGG – most important factor is a G following ATG (A gives about 40% of protein – underlined sequence will give very high levels of translation - Nco. I site • stability of m. RNA in the cytoplasm – many short lived m. RNAs have multiple copies of the sequence AUUUA in 3’ UTR Bio. Sci 145 A lecture 14 page 10 ©copyright Bruce Blumberg 2000. All rights reserved
Principles of gene regulation (contd) • stability of m. RNA (contd) – others m. RNAs are specifically degraded, e. g. transferrin – in the absence of iron, a specific protein (IRE-BP) binds to a region of the transferring m. RNA containing AUUUA sequences – this protects the m. RNA from degradation, transferrin is synthesized and iron accumulates – iron binds to IRE-BP and dissociates it from m. RNA » AUUUA mediates degradation Bio. Sci 145 A lecture 14 page 11 ©copyright Bruce Blumberg 2000. All rights reserved
Principles of gene regulation (contd) • Recap – control of gene expression – Activation of gene structure • Physical structure of chromatin – initiation of transcription • Ability of preinitiation complex to bind • Cooperative binding of activators – processing of the transcript to m. RNA • Alternative splicing – transport of m. RNA to cytoplasm • Only capped, polyadenylated, spliced m. RNAs – translation of m. RNA • Cap? • Kozak sequence? • Stability of m. RNA – processing and stability of protein • Many transcription factors very unstable Bio. Sci 145 A lecture 14 page 12 ©copyright Bruce Blumberg 2000. All rights reserved
Identification of regulatory elements • Given a gene of interest, how does one go about studying its regulation? – First step is to isolate c. DNA and genomic clones. – Map c. DNA to genomic sequence • identify introns, exons • locate approximate transcriptional start – recognizing elements, e. g. TATA box – 5’ primer extension or nuclease mapping • get as much 5’ and 3’ flanking sequence as is possible – fuse largest chunk of putative promoter you can get to a suitable reporter gene. – Test whether this sequence is necessary and sufficient for correct regulation • how much sequence is required for correct regulation? – what is correct regulation? » In cultured cells » in animals? – typical result is the more you look, the more you find. • questions are usually asked specifically. That is, what part of the putative promoter is required for activity in cultured liver cells? – doesn’t always hold in vivo. Bio. Sci 145 A lecture 14 page 13 ©copyright Bruce Blumberg 2000. All rights reserved
Identification of regulatory elements (contd) • Promoter mapping – nuclease footprinting of promoter to identify regions that bind proteins – make various deletion constructs • Previously made by Exo. III deletions or insertion of linkers (linker scanning) • typical method today is to PCR parts of the promoter and clone into a promoterless reporter – map activity of promoter related to deletions • incremental changes in activity indicate regions important for activity – test elements for activity Bio. Sci 145 A lecture 14 page 14 ©copyright Bruce Blumberg 2000. All rights reserved
Identification of binding proteins • • How to identify what factors bind to putative elements? – examine the sequence • does it contain known binding sites? • if yes, do such proteins bind to the isolated element in gel-shift experiments? – do the elements bind proteins from nuclear extracts? • gel shift (EMSA) experiments – clone the elements into reporters with minimal promoters. • do these constructs recapitulate activity? Biochemical purification of binding proteins – tedious, considerable biochemical skill required – two basic approaches • fractionate nuclear extracts chromatographically and test fractions for ability to bind the element in EMSA • DNA-affinity chromatography – multimerize the element and bind to a resin – pass nuclear extracts across column and purify specific binding proteins – protein microsequencing – predict DNA sequence from amino acid sequence • look in GENBANK database • prepare oligonucleotides and screen library Bio. Sci 145 A lecture 14 page 15 ©copyright Bruce Blumberg 2000. All rights reserved
Identification of binding proteins (contd) • • Biochemical purification of binding proteins (contd) – advantages • gold standard • if you can purify proteins, this will always work – disadvantages • slow, tedious • need good protein sequencing facility • biochemical expertise required • expense of preparing preparative quantities of nuclear extracts Molecular biological approaches – oligonucleotide screening of expression libraries (Singh screening) • multimerize oligonucleotide and label with 32 P • screen expression library to identify binding proteins • advantages – straightforward – much less biochemical expertise required – relatively fast • disadvantages – can’t detect binding if multiple partners are required – fair amount of “touch” required Bio. Sci 145 A lecture 14 page 16 ©copyright Bruce Blumberg 2000. All rights reserved
Identification of binding proteins (contd) • Molecular biological approaches (contd) – yeast one-hybrid assay • clone element of interest into a reporter construct (e. g. -gal) and make stable yeast strain • transfect in aliquots of c. DNA expression libraries that have fragments of DNA fused to yeast activator • if the fusion protein binds to your element then the reporter gene will be activated • advantages – somewhat more of a functional approach – eukaryotic milieu allows some protein modification • disadvantages – slow, tedious purification of positives – can’t detect dimeric proteins – sensitivity is not so great Bio. Sci 145 A lecture 14 page 17 ©copyright Bruce Blumberg 2000. All rights reserved
Identification of binding proteins (contd) • Molecular biological approaches (contd) – expression cloning (sib screening) • clone element of interest (or promoter) into a suitable reporter construct (e. g. luciferase) • transfect (or inject, or infect, etc) pools (~10, 000 c. DNAs each) of c. DNA expression libraries and assay for reporter gene • retest positive pools in smaller aliquots (~1000) • repeat until a pure c. DNA is found – advantages – functional approach – presumably using the appropriate cell type so modifications occur – possibility to detect dimers with endogenous proteins – disadvantages • VERY TEDIOUS • very slow, much duplication in pools, extensive rescreening is required • could be expensive Bio. Sci 145 A lecture 14 page 18 ©copyright Bruce Blumberg 2000. All rights reserved
Identification of binding proteins (contd) – in vitro expression cloning (IVEC) • Make small pools of c. DNAs (~100) • transcribe and translate c. DNA libraries in vitro into protein pools • EMSA to test protein pools for element binding • unpool c. DNAs and retest • advantages – functional approach – smaller pools increase sensitivity • disadvantages – can’t detect dimers – very expensive (TNT lysate) – considerable rescreening still required – tedious, countless DNA minipreps required Bio. Sci 145 A lecture 14 page 19 ©copyright Bruce Blumberg 2000. All rights reserved
Identification of binding proteins (contd) – hybrid screening system 1 • begin with c. DNA libraries in 384 -well plates, 1 c. DNA per well • pool c. DNAs using robotic workstation • prepare DNA with robotic workstation • transcribe and translate protein in vitro • test for ability to bind DNA element using sensitive, high-throughput assay – fluorescence – radioactive assay • retest components of positive pools • advantages – very fast, only two steps required, ~ 2 weeks – little work required • disadvantages – expense of robotics – won’t detect dimers (unless 1 partner known) – expense of reagents (TNT, radionuclides, fluorescent labels Bio. Sci 145 A lecture 14 page 20 ©copyright Bruce Blumberg 2000. All rights reserved
Identification of binding proteins (contd) • advantages – very fast, only two steps required, ~ 2 weeks – little work required • disadvantages – expense of robotics – won’t detect dimers (unless 1 partner known) – expense of reagents (TNT, radionuclides, fluorescent labels Bio. Sci 145 A lecture 14 page 21 ©copyright Bruce Blumberg 2000. All rights reserved
Identification of binding proteins (contd) – hybrid screening system 2 • prepare reporter cell line with element or promoter driving reporter gene (e. g. luciferase) • prepare c. DNA pools as in system 1 • use robotic workstation to transfect c. DNA libraries into reporter cells • assay for reporter gene • advantages – very fast – truly functional approach – use of cells allows modifications – can detect dimers if one partner is already present in cell • disadvantages – expense of equipment Bio. Sci 145 A lecture 14 page 22 ©copyright Bruce Blumberg 2000. All rights reserved
Identification of binding proteins (contd) • OK, you have your element and binding protein, now what? – functional analysis depends on type of protein you are dealing with – goal will be to prove that this protein is necessary and sufficient to confer regulation onto the promoter, in vivo • many just stop at works on the element Bio. Sci 145 A lecture 14 page 23 ©copyright Bruce Blumberg 2000. All rights reserved
Transcription factors bind to regulatory elements • • The response element binding proteins you have carefully identified are transcription factors. – many types • Usually classified by DNA-binding domains and intermolecular interaction domains Features of transcription factors – typically have multiple functional domains • can frequently be rearranged or transferred – DNA-binding domains • many forms • see also the list in TRANSFAC http: //transfac. gbf. de/TRANSFAC/ – Activation domains • polypeptide sequences that activate transcription when fused to a DNA-binding domain • diverse in sequence, 1% of random sequences fused to GAL 4 can activate • many are rich in acidic residues and assume an amphipathic -helix conformation when associated with coactivator proteins • interact with histone acetylases that destabilize nucleosomes and open chromatin Bio. Sci 145 A lecture 14 page 24 ©copyright Bruce Blumberg 2000. All rights reserved
Transcription factors bind to regulatory elements (contd) • Features of transcription factors (contd) – repression domains • functional opposite of activation domains • short and diverse in amino acid sequence – some are rich in hydrophobic aa – others are rich in basic aa • some interact with proteins having histone deacetylase activity (HDACs) – stabilize nucleosomes and condense chromatin • others compete with activators for the same sequence and contacts with the transcription machinery – protein: protein interaction domains • these are diverse in sequence but do contain structural motifs • leucine zipper • helix-loop-helix Bio. Sci 145 A lecture 14 page 25 ©copyright Bruce Blumberg 2000. All rights reserved
Regulating transcription factor activity (contd) -catenin/ armadillo Bio. Sci 145 A lecture 14 page 26 ©copyright Bruce Blumberg 2000. All rights reserved
Regulating transcription factor activity (contd) • How can the activity of a transcription factor be restricted to a particular cell type or time? – Factor is not generally present but synthesized only where it is needed • some developmental regulators – The factor is present but must be modified to be active • heat shock factors - phosphorylated • -catenin/armadillo - dephosphorylated – A ligand is required for activity (or inactivity) • nuclear hormone receptors – The factor is localized to an inactive compartment (e. g. cell membrane) and required cleavage for activity • sterol response factors (primarily cholesterol) – The factor may be bound to an inhibitory factor in the cytoplasm • NF- B and I- B – A dimeric factor can have multiple partners. Which partner is present determines activity • some dimers are active • others are inactive • eg b. HLH and b. Zip proteins Bio. Sci 145 A lecture 14 page 27 ©copyright Bruce Blumberg 2000. All rights reserved
Zinc finger genes • Zinc fingers are found in a variety of transcription factors – two basic types • Cys-His, consensus sequence is cys-X 2 -4 -cys-X 3 -phe-X 5 -leu-X 2 -his-X 3 -his – typical gene has 3 or more fingers – found in factors for Pol II and Pol III • Cys-Cys, consensus sequence is cys-X 2 -cys-X 13 -cys-X 2 -cys – typical gene has only 2 fingers – found in steroid hormone receptor superfamily members – may be involved in both DNA and RNA binding, presence of finger does not indicate which • eg TFIIIA binds DNA and RNA product • e. IF 2 recognizes translational initiation sites Bio. Sci 145 A lecture 14 page 28 ©copyright Bruce Blumberg 2000. All rights reserved
Zinc finger genes (contd) • purpose of fingers is to arrange residues such that zn ions can be coordinated – fingers may form -helical structures that fit into the major groove of the DNA helix – multiple fingers may act cooperatively to bind nucleic acids Bio. Sci 145 A lecture 14 page 29 ©copyright Bruce Blumberg 2000. All rights reserved
Zinc finger genes (contd) • • Bio. Sci 145 A lecture 14 page 30 ©copyright cys-cys fingers in nuclear receptors – only 1 st finger binds to DNA – second finger is responsible for protein: protein interactions – spacing between fingers can vary quite a bit finger 1 contains a regions that determines target specificity - P-box – CGSCKA - AGAACA – CEGCKG - AGTTCA – these can be swapped and change specificity of the receptor • used in ecdysoneinducible system Bruce Blumberg 2000. All rights reserved
Hormonal signaling pathways • • • Hormones are chemical messengers that coordinate cellular activity Can act in different ways – endocrine - on distant cells – paracrine - on neighboring cells – autocrine - on cells which secrete them Active at very low concentrations - typically less than 1 ppb (1 ppb ~= 3 n. M) Involved in numerous biological processes - many hundreds of hormones – reproduction - estrogen, testosterone, progesterone, FSH, LH, activin – metabolic rate - thyroid hormone, TSH, GH – stress - glucocorticoids, ACTH, CRF – blood pressure - aldosterone, renin, angiotensin, vasopressin – calcium homeostasis - vitamin D 3, calcitonin, PH Some vitamins or vitamin derivatives are hormones – Vitamin A • all-trans-retinoic acid • 9 -cis-retinoic acid • 14 -OH-retroretinol – Vitamin D 3 Bio. Sci 145 A lecture 14 page 31 ©copyright Bruce Blumberg 2000. All rights reserved
Nuclear hormone receptors A/B • • • C D D Domains are assortable and transferable DNA-binding domain (DBD) – responsible for direct binding to DNA – discriminates half site sequence – determines spacing between half sites – contains an important dimerization motif Ligand binding domain (LBD) – responsible for ligand binding – has a general dimerization motif – contains an important transactivation domain – may interact with amino terminus to modulate activation amino terminal region (A/B domain) – contains an activation domain in many receptors – may interact with other components of the transcriptional machinery – many receptors have alternative splicing or promoter usage to yield different A/B domains linker region (D) may influence activation, repression, nuclear translocation or DNA-binding Bio. Sci 145 A lecture 14 page 32 ©copyright Bruce Blumberg 2000. All rights reserved F
Nuclear hormone receptors (contd) • • bind to specific target DNA sequences activate transcription of target genes upon ligand binding -9 function at very low levels of ligand (~10 M or ~ ppb) bind to small (~300 d) lipophilic molecules – steroids – retinoids – thyroid hormone – vitamin D 3 Bio. Sci 145 A lecture 14 page 33 ©copyright Bruce Blumberg 2000. All rights reserved
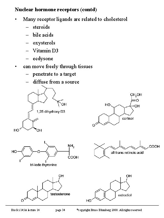
Nuclear hormone receptors (contd) • • Many receptor ligands are related to cholesterol – steroids – bile acids – oxysterols – Vitamin D 3 – ecdysone can move freely through tissues – penetrate to a target – diffuse from a source Bio. Sci 145 A lecture 14 page 34 ©copyright Bruce Blumberg 2000. All rights reserved
Nuclear hormone receptors (contd) • • more orphan than known receptors why study orphan receptors (not particularly easy) – novel signaling pathways – new developmental hormones – target gene networks – potential teratogens – roles in adult physiology and endocrinology – cancer treatment Bio. Sci 145 A lecture 14 page 35 ©copyright Bruce Blumberg 2000. All rights reserved
Nuclear hormone receptors (contd) • Payoff from orphan receptor research so far (4 biotechs) – LXR and FXR regulate cholesterol metabolism • LXR diverts cholesterol into bile acid pathway • FXR negatively regulates uptake of bile acids – PPARs regulate fat metabolism • PPAR is insulin sensitizer – SXR and PXR regulate metabolism of steroids, xenobiotics and environmental compounds – CAR also mediates drug breakdown Bio. Sci 145 A lecture 14 page 36 ©copyright Bruce Blumberg 2000. All rights reserved
Nuclear hormone receptors (contd) • Nuclear receptors interact with each other and DNA – can form homodimers, heterodimers and monomers – four possible modes of DNA binding • IR, DR, ER, monomer – steroid receptors very closely related, others not so much • bind to HSPs and stay in cytoplasm until ligand bound. • GR, MR, PR and AR all bind each others response elements. Significant crossover between pathways at pharmacological levels of ligands (eg. anabolic steroid use) – RXR heterodimers is the largest and most diverse family – monomeric orphan receptors may also dimerize and/or interact with RXR depending on the response element. Bio. Sci 145 A lecture 14 page 37 ©copyright Bruce Blumberg 2000. All rights reserved
Nuclear hormone receptors (contd) Known ligands RAR , , TR , VDR Ec. R all-trans RA thyroid hormone 1, 25 -(OH)2 -VD 3 ecdysone Recent EX-orphans PPAR , , , FXR BXR LXR , fatty acids, eicosanoids bile acids benzoates oxysterols Activatable orphans SXR/PXR CAR , • steroids, xenobiotics androstans, xenobiotics RXR is a common partner in >10 different pathways – can be silent (non-permissive) – can be active (permissive) – offers another means to regulate dimeric receptors • rexinoids (RXR selective compounds) are being used clinically in treatment of diabetes, breast cancer and other diseases. – at least part of the reason that vitamin A levels are tightly regulated in vivo • too much or too little both very harmful, particularly during development Bio. Sci 145 A lecture 14 page 38 ©copyright Bruce Blumberg 2000. All rights reserved
Nuclear hormone receptors (contd) • • • P-box determines half-site specificity – CEGCKGFF in many receptors – therefore they all bind to the same or similar half sites – where does specificity come from? spacing between half-sites encodes specificity – 3 -4 -5 rule of Kaz Umesono – DR-3 VDRE SXRE – DR-4 TRE SXRE, LXRE, FXRE, BXRE – DR-5 RARE SXRE, CARRE – DR-1 RXRE PPRE – DR-2 RARE selectivity is not absolute but these provide a good model for determining response elements Bio. Sci 145 A lecture 14 page 39 ©copyright Bruce Blumberg 2000. All rights reserved
Nuclear hormone receptors (contd) • Transcriptional regulation by RXR heterodimers – most, or all of these bind DNA in the absence of ligand • unliganded receptor is a repressor – effect of activators and repressors together ? • ligand causes a conformational change that kicks off corepressor • liganded receptor can now recruit coactivators and activate transcription – coactivators and corepressors alter chromatin conformation by modulating histone modification – offers possible ways to specifically disrupt complex Bio. Sci 145 A lecture 14 page 40 ©copyright Bruce Blumberg 2000. All rights reserved
Nuclear hormone receptors (contd) • How does one go about identifying orphan receptor ligands? – requirements • receptor expression construct • response element to make reporter • cofactors (use tissue where receptor is active) – good news! • assay is very sensitive sub parts per billion – analytical bad news • chemistry requires parts per thousand-ppm Bio. Sci 145 A lecture 14 page 41 ©copyright Bruce Blumberg 2000. All rights reserved
Nuclear hormone receptors (contd) • What are some effects of mutations in nuclear receptors? – steroid receptors • knockout of SF-1 removes adrenal/gonad axis • human mutations in DAX-1 similar • overproduction of adrenal steroids -Cushing’s syndrome • underproduction - Addison’s disease • nonfunctional AR - testicular feminization – genotypic males develop as females externally but male internally (rumor about well-known actress) • nonfunctional ER – male, osteoporosis, coronary artery disease, continuous growth – female lethal in utero, osteoporosis later • nonfunctional MR- hypotension • nonfunctional GR- hypertension and low renin – other receptors • thyroid hormone receptor - mutations can lead to alterations in metabolism and ADHD • vitamin D receptor - vitamin D resistant rickets • retinoic acid receptor – several types of leukemia result from fusion of RAR to other transcription factors – some are treatable with RA, others not Bio. Sci 145 A lecture 14 page 42 ©copyright Bruce Blumberg 2000. All rights reserved
- Slides: 42