Basics of Genetics Historical Genetics Gregor Mendel 18221884
Basics of Genetics
• Historical Genetics • Gregor Mendel (18221884) • Established principles of dominance, segregation and independent assortment using pea plants • Inheritance is determined by individual units (genes)
Basics of Genetics • Gene - a sequence of DNA that codes for making certain protein • Allele - different forms of a gene, one from each Parent (ex. Tall / Short) • Homologous chromosomes - each has a corresponding chromosome from each parent
Human Male Karyotype
• Dominant • The allele that shows (is expressed) • symbolized by a CAPITAL letter • Recessive • the gene is present but is not expressed • symbolized by a lower case letter • Genotype • • genetic makeup of an organism TT = homozygous (pure) dominant Tt = heterozygous (hybrid) dominant Tt = homozygous (pure) recessive • Phenotype • appearance of an organism • Ex. Tall, tall, short
• Example of Dominance – height in pea plants • 1 st cross: TT and tt
2 nd cross: Tt and Tt
Can we use Mendelian genetics to predict heredity in CORN?
Purple v. Yellow Starchy v. Sweet Procedure: Working with your row partner, examine your corn sample. Can you come up with a way to predict the genotypes / phenotypes of this plant’s parents?
Class Data # Purple Kernels # Starchy Kernels # Yellow Kernels # Sweet Kernels
To calculate ratio, divide the larger % by the smaller %.
Use the following terms to describe the conditions below where T represents height in plants… – Hetero – Homo – Dominant – recessive • • - Pheno (seeming) Tt ________ TT_______ tt _________ Tall _______
Predict relationships! • Match Mr. Femminella and I with our relatives. • There is one individual who is not related to either of us!
Why is human heredity difficult to predict?
Heredity: Crash Course Biology Answer these questions during the video: - What is a Polygenic Trait? - What is a Pleiotropic gene? - What is a “somatic” cell? - What is a “polyploid cell? - What is “Sex-linked” inheritance”?
Intermediate Inheritance • traits are not clearly dominant or recessive
1. Incomplete dominance • exhibits a phenotype in between both parents • pure white parent WW is crossed with a pure red parent RR, resulting in pink RW offspring • (ex. Four o’clock flowers)
2. Co-dominance • both alleles are expressed • ex. Coat color in roan cattle
3. Multiple Alleles • 3 or more alleles of the same gene exist • ex. A, B, and O blood types • type A and B are co-dominant • type O is recessive to both A and B Crosses: Type A and Type B (pure/) Type A and B (hybrid)
Father and Mother Type O
Father A (homoz) Mother B (homoz)
Father A (hetero) Mother B (hetero)
Father O, Mother AB
Father and Mother AB
DNA Oh, we love DNA, made of Nucleotides Phosphate, Sugar and a Base bonded down the side! Adenine and Thymine make a lovely pair, Cytosine without Guanine would feel very bare, Shaped like a twisted ladder, it controls your traits, Watson and Crick discovered it, DNA is GREAT!!!
DNA and its Structure • stands for deoxyribonucleic acid • genetic material which replicates and is passed from generation to generation • found in the nucleus of cells (and mitochondria/ chloroplasts) • consists of thousands of smaller repeating units called nucleotides
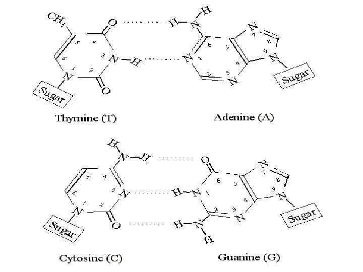
A nucleotide is composed of 3 parts: • 1 - a phosphate group made up of oxygen, hydrogen and phosphorus • 2 - deoxyribose (5 carbon sugar) molecule made up of carbon, hydrogen, and oxygen • 3 - Nitrogenous base made up of carbon, oxygen, hydrogen, and nitrogen • 4 different nitrogenous bases: » Adenine (A) » Thymine (T) » Guanine (G) » Cytosine (C)
The Double Helix • James Watson and Frances Crick – 1953 • DNA molecule consists of 2 complementary strands of nucleotides, forming a “ladder” shape • each rung of the “ladder” is composed of nitrogenous bases held together by weak hydrogen bonds
When does DNA “unzip”? 1) DNA Replication during interphase, before mitosis/meiosis 2) Protein Synthesis (providing the instructions for synthesizing a protein in the cell)
DNA Replication: the process by which DNA makes an exact copy of itself Key Enzymes: 1) double stranded DNA helix unwinds 2) DNA polymerase “unzips” the 2 strands by breaking the weak hydrogen bonds between base pairs
3) Free nucleotides from the cytoplasm enter the nucleus to bond to their complementary bases on the DNA strands (A T, C and G) 4) Replication produces 2 identical DNA molecules
Video Lesson Replication Video
Your Turn! DNA Replication Following base pairing rules, create a new DNA molecule A T A T A CG C G GC G C Parent New DNA Polymerase Unzips the DNA + C G G C New Parent 46
Regents Practice Question # 3 Which diagram represents the relative sizes of the structures listed below? 47
Check for Understanding of DNA Structure 1. What is the name of the sugar? 2. What is the symbol used to represent the sugar? 3. Name the 4 nitrogenous bases. 4. Name the complimentary base pairs. 5. What type of bonds hold the bases together? 48
Check for Understanding of DNA Structure (Answers) 1. What is the name of the sugar? deoxyribose 1. What is the symbol used to represent the sugar? 3. Name the 4 nitrogenous bases. adenine, thymine cytosine, guanine 4. Name the complimentary base pairs. adenine – thymine cytosine - guanine 5. What type of bonds hold the bases together? hydrogen bonds 49
Protein Synthesis
Why do offspring resemble their parents? • Genes inherited from parents are instructions for making proteins! • Children have more proteins in common with parents and close family members than non-related individuals
What are proteins? • Each protein is 1 or more sequence of amino acids • There are 20 different types of amino acids • 1 protein could be made of thousands of amino acids
How do cells with identical DNA function differently? • Cells only use certain parts of the DNA code • Not all cells EXPRESS (use) the same genes • Gene expression can change with aging
Regents Practice Question Several structures are labeled in the diagram of a puppy shown below. Every cell in each of these structures contains (1) equal amounts of ATP (2) identical genetic information (3) proteins that are all identical (4) organelles for the synthesis of glucose 54
Exons – the region of genes coding for protein, r. RNA or t. RNA (1. 5%)
DNA needs help making the proteins! It’s too big to get out of the nucleus to give the message to the ribosome! What to do? ? ? Too big!
RNA to the rescue! • • DNA Four bases: A T C G Sugar = Deoxyribose Double stranded One type Brain. POP | RNA • • • RNA (Ribonucleic Acid) Four bases: A U C G U stands for URACIL Sugar = Ribose Single stranded 3 types!
Replicate this DNA! (DNA DNA) Transcribe this DNA (DNA RNA)
What does RNA do? ? ?
Three types of RNA
m. RNA • Messenger RNA – copies and carries the DNA message from the nucleus to the ribosome
What would the complementary RNA strand look like? ? ? DNA: ATTGCGATATCCGACTTTTGGA m. RNA:
t. RNA • Transfer RNA – “transports” amino acids to the ribosome
r. RNA • Ribosomal RNA – helps ribosome bind to m. RNA and link amino acids to create a protein
How are proteins made?
Protein Synthesis
Transcription • DNA genetic code is copied into (messenger) m. RNA within the nucleus • Free nucleotides from the cytoplasm enter the nuclear membrane and bond to their corresponding base • A–U • C–G
• 3 m. RNA bases called CODONS are transcribed from 3 corresponding DNA bases called TRIPLETS
Translation • Base sequence is translated into a specific amino acid • m. RNA carries the copied code out of the nucleus to the ribosome where amino acids are assembled to make proteins!
CGA TTG GAC CTC AGT TGC Transcribe (m. RNA): ____ ____ Translate (amino acid): ____ ____ DNA Sequence:
DNA: AUG TTT TAC CCA CGG GTC m. RNA: Amino Acid:
Gene Regulation • Gene Regulation – You. Tube • TATA box and Lac Operon
fragile x Brainpop Types of Gene Mutations: • Mutation = change in genetic material • Occur randomly (unpredictable) • May be harmful, beneficial, or have no effect
Types of Chromosomal Mutations Deletion: loss of all or part of a chromosome Duplication: a segment of a chromosome is repeated Inversion: Chromosome sections become disoriented Translocation: part of one chromosome breaks off and attaches to a NON-homologous chromosome
Some genetic disorders: 1. PKU (phenylketonuria) • a baby is born without the ability to properly break down an amino acid called phenylalanine • Buildup of amino acid phenylalanine in tissues • Disease can be CONTROLLED by diet if DIAGNOSED early
2. Tay Sach’s Disease Lipid buildup in brain cells causes deterioration of mental and physical abilities which commences at 6 months of age and usually results in death by the age of four. harmful quantities of gangliosides accumulate in the nerve cells of the brain, eventually leading to the premature death of those cells mutations on chromosome 15 in the HEXA gene
3. Cystic Fibrosis • an inherited disease that causes thick, sticky mucus buildup in the lungs and digestive tract • early death CF is caused by a mutation in the gene cystic fibrosis transmembrane conductance regulator (CFTR). The most common mutation, ΔF 508, is a deletion (Δ) of three nucleotides that results in a loss of the amino acid phenylalanine (F) at the 508 th (508) position on the protein.
4. Sickle Cell Anemia Sickle-shaped red blood cells are fragile and prone to rupture can also block blood vessels causing tissue and organ damage and pain
Amniocentesis: the removal of amniotic fluid from the uterus of a pregnant female for genetic analysis Karyotype: Arrangement of chromosomes • Gender determination
Nondisjunction • Chromosomes fail to separate during meiosis (fail to “disjoin”) • Can result in extra chromosome or loss of one
TURNER’s SYNDROME Female missing one X chromosome
Klinefelter’s Syndrome Male with 2 X chromosomes and one Y.
Down’s Syndrome
Klinefelter’s Syndrome Turner’s Syndrome
Down’s Syndrome
Mutations in gametes CAN be passed to offspring! Mutations in a somatic (body) cell CANNOT be passed to offspring!
- Slides: 93