Bar Charts Foundation GCSE Questions AQA These questions
Bar Charts – Foundation – GCSE Questions – AQA These questions are the same format as previous GCSE exams. COPY means they use the exact same numbers as the original GCSE question. Otherwise, they are clone questions using different numbers. The worksheets are provided in 2 sizes.
Printing To print handouts from slides Select the slide from the left. Then click: File > Print > ‘Print Current Slide’ To print multiple slides Click on a section title to highlight all those slides, or press ‘Ctrl’ at the same time as selecting slides to highlight more than one. Then click: File > Print > ‘Print Selection’ To print double-sided handouts Highlight both slides before using ‘Print Selection’. Choose ‘Print on Both Sides’ and ‘Flip on Short Edge’.
AQA Foundation: November 2017 Paper 2, Q 6 1 AQA Foundation: November 2017 Paper 2, Q 6 The table shows information about the cars on a street. 1 The table shows information about the cars on a street. Car Colour Number Red 3 Black 5 Yellow 2 Silver 4 Draw a bar chart to show the information. [3 marks]
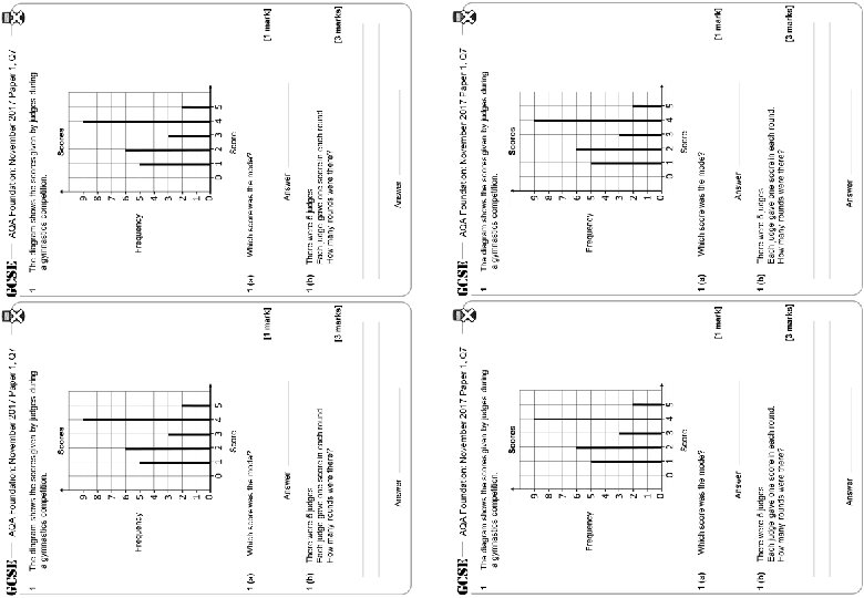
AQA Foundation: November 2017 Paper 1, Q 7 1 AQA Foundation: November 2017 Paper 1, Q 7 The diagram shows the scores given by judges during a gymnastics competition. 1 The diagram shows the scores given by judges during a gymnastics competition. Scores Frequency Score 1 (a) Score Which score was the mode? 1 (a) Which score was the mode? [1 mark] Answer 1 (b) There were 5 judges. Each judge gave one score in each round. How many rounds were there? Answer 1 (b) [3 marks] There were 5 judges. Each judge gave one score in each round. How many rounds were there? Answer [3 marks]
AQA Foundation: June 2017 Paper 3, Q 8 1 Here is information about the shots taken in some basketball games. Each game has four quarters. Shots in basketball games 1 st Key: 2 nd 3 rd Home shots 4 th 1 st 2 nd 1 st Away shots 1 (a) Which quarter was the mode for home shots? Circle your answer. 3 rd Key: [1 mark] 4 th 1 (b) There were 10 games. Work out the mean number of shots per game. Answer 1 (c) In total, how many more home shots were taken than away shots? [2 marks] Answer 2 nd 3 rd Home shots 4 th Away shots 1 (a) Which quarter was the mode for home shots? Circle your answer. 1 st Answer 1 (d) Geoff says, “Home teams play better because they took more shots. ” Is he correct? Give a reason for your answer. Here is information about the shots taken in some basketball games. Each game has four quarters. Shots in basketball games 2 nd 3 rd [1 mark] 4 th 1 (b) There were 10 games. Work out the mean number of shots per game. Answer 1 (c) In total, how many more home shots were taken than away shots? [2 marks] Answer [1 mark] 1 (d) Geoff says, “Home teams play better because they took more shots. ” Is he correct? Give a reason for your answer. Answer [1 mark]
AQA Foundation: November 2017 Paper 2, Q 6 1 The table shows information about the cars on a street. Car Colour Number Red 3 Black 5 Yellow 2 Silver 4 Draw a bar chart to show the information. [3 marks]
AQA Foundation: November 2017 Paper 1, Q 7 1 The diagram shows the scores given by judges during a gymnastics competition. Scores Frequency Score 1 (a) Which score was the mode? [1 mark] Answer 1 (b) There were 5 judges. Each judge gave one score in each round. How many rounds were there? Answer [3 marks]
AQA Foundation: June 2017 Paper 3, Q 8 1 Here is information about the shots taken in some basketball games. Each game has four quarters. Shots in basketball games 1 st Key: 2 nd 3 rd Home shots 4 th Away shots 1 (a) Which quarter was the mode for home shots? Circle your answer. 1 st 2 nd 3 rd [1 mark] 4 th 1 (b) There were 10 games. Work out the mean number of shots per game. Answer 1 (c) In total, how many more home shots were taken than away shots? [2 marks] Answer 1 (d) Geoff says, “Home teams play better because they took more shots. ” Is he correct? Give a reason for your answer. Answer [1 mark]
AQA Foundation: November 2017 Paper 2, Q 6 1 The table shows information about the cars on a street. Car Colour Number Red 3 Black 5 Yellow 2 Silver 4 Draw a bar chart to show the information. [3 marks] Number Cars on a street 5 4 3 2 1 0 R B Y Car colour S
AQA Foundation: November 2017 Paper 1, Q 7 1 The diagram shows the scores given by judges during a gymnastics competition. Scores Frequency Score 1 (a) Which score was the mode? Answer 1 (b) 4 There were 5 judges. Each judge gave one score in each round. How many rounds were there? [1 mark] [3 marks] 5 + 6 + 3 + 9 +2 = 25 scores given 25 ÷ 5 = 5 5 Answer
AQA Foundation: June 2017 Paper 3, Q 8 1 Here is information about the shots taken in some basketball games. Each game has four quarters. Shots in basketball games 6 7 4 3 1 st 2 nd Key: 8 4 3 rd Home shots 7 2 4 th Away shots 1 (a) Which quarter was the mode for home shots? Circle your answer. 1 st 2 nd 3 rd [1 mark] 4 th 1 (b) There were 10 games. Work out the mean number of shots per game. Total = 41 [2 marks] 41 ÷ 10 = 4. 1 shots Answer 1 (c) In total, how many more home shots were taken than away shots? [2 marks] Home = 25 Away = 16 Answer 25 – 16 = 9 1 (d) Geoff says, “Home teams play better because they took more shots. ” Is he correct? Give a reason for your answer. [1 mark] No, lots of shots might have been taken in one game. Answer
Questions? Comments? Suggestions? …or have you found a mistake!? Any feedback would be appreciated . Please feel free to email: tom@goteachmaths. co. uk
- Slides: 15