Band structure of graphene and CNT Band structure
Band structure of graphene and CNT
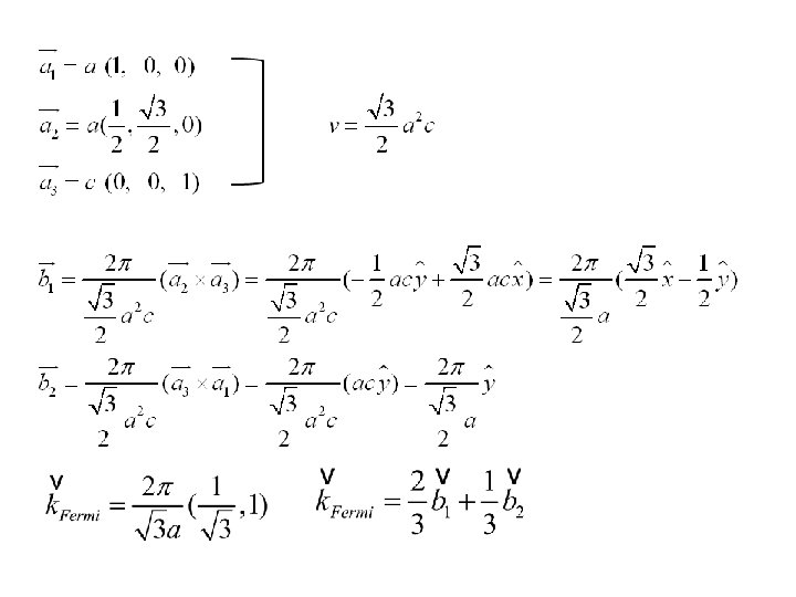
Band structure of graphene and CNT Graphene : Lattice : 2 - dimensional triangular lattice y축 X축 Two basis atoms
Bloch State of the π bands y축 Three nearest neighbor X축
Nearest Neighbor Approximation
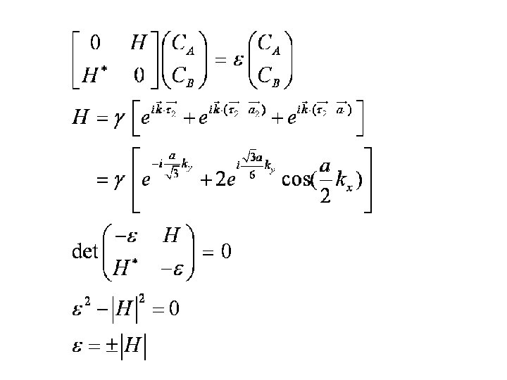
Multiply on both sides
RHS = Tight Binding Approximation 에서 Nearest Neighbor Approximation이라는 것은 Within Nearest Neighbor on site only
의 nearest neighbor y축 X축
Multiply Left= Right= on both sides
Pass the Fermi point(Dirac point)
Lattice Reciprocal Lattice y축 y축 X축 X축
Band Structure of Graphene Dirac point
Band Structure of Graphene
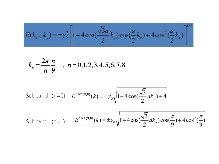
CNT = wrapped graphene ribbon
For example,
Subband (n=0) Subband (n=1)
Low energy effective Hamiltonian near K and K’
Tight-binding π bands, again.
Near K or K’
Near K or K’ spinor of pseudospin
Mahmut, you have the solution for the spinor Bands are doubly degenerate in real spin
With SOC
In this low-energy Cone region, how and why the SOC is represented this way? Min et al. , PRB 74, 165310(2006), Kane and Mele, PRL, 95, 226801(2005)
Full 4 component or 8 component solution A bit complicated
Diagonalize in real spin space Min et al. , PRB 74, 165310(2006), Kane and Mele, PRL, 95, 226801(2005)
Diagonalize in real spin space
Diagonalize in real spin space
Effective Hamiltonian Including the two Fermi point K and K’ (K’=-K) Without SOC it is not very meaningful
Effective Hamiltonian Including the two Fermi point K and K’ (K’=-K) ? ? Why do we need this ?
Why do we need this ?
Near K
Near K’=-K
- Slides: 39