BAINTI 04 12 2010 100 Yl Lisesi brahim
BAĞINTI 04. 12. 2010 100. Yıl Lisesi İbrahim KOCA 1
BAĞINTI A ve B boş kümeden farklı birer küme olsun. Ax. B nin her bir alt kümesine A dan B ye bağıntı denir. A kümesine bağıntının tanım kümesi, B kümesine de değer kümesi denir. Bağıntıları genellikle , ile adlandıracağız. A dan B ye bir bağıntı ise: dir. bağıntının tanım kümesi 04. 12. 2010 bağıntının değer kümesi 100. Yıl Lisesi İbrahim KOCA 2
, A dan B ye bir bağıntı ise: ve dir. Örnek 1) olduğuna göre, A dan B ye tanımlanabilecek bazı bağıntılar yazalım. Çözüm 1) Bu kartezyen çarpımın her bir alt kümesine A dan B ye bağıntı denir. 04. 12. 2010 100. Yıl Lisesi İbrahim KOCA 3
A ve B boş kümeden farklı kümeler olmak üzere; ise A dan B ye bağıntıdır. ise B den A ya bağıntıdır. ise A dan A ya bağıntıdır. (A dan A ya olan bağıntılara kısaca A da bağıntıdır denir. ) ise 04. 12. 2010 B de bağıntıdır. 100. Yıl Lisesi İbrahim KOCA 4
Örnek 2) olduğuna göre, aşağıdakilerden hangileri A da bağıntıdır. Çözüm 2) Bu kartezyen çarpımın her bir alt kümesi A da bağıntıdır. 04. 12. 2010 100. Yıl Lisesi İbrahim KOCA 5
Örnek 3) olduğuna göre, A da birbirinden farklı 3 bağıntı yazınız. Çözüm 3) A da bağıntı olmanın tek şartı Ax. A nın alt kümesi olmasıdır. O halde; 04. 12. 2010 100. Yıl Lisesi İbrahim KOCA 6
Aklın üç ilkesi, iyi düşünmek, iyi söylemek, iyi yapmaktır. . . 04. 12. 2010 100. Yıl Lisesi İbrahim KOCA 7
Bağıntının Şema ve Grafikle Gösterilmesi: Örnek 4) , A da bir bağıntı olduğuna göre , bu bağıntıyı şema ve grafikle gösteriniz. Grafik ile Çözüm 4) Şema ile 5 A A. 1. 2. 3. 4 . 5 A 4 3 2 1 1 04. 12. 2010 100. Yıl Lisesi İbrahim KOCA 2 3 4 5 A 8
Bağıntının Tersi: A dan B ye bir bağıntısı verilsin. bağıntısındaki tüm ikililerin bileşenlerinin yer değiştirilmesiyle elde edilen bağıntıya, bağıntısının tersi denir ve ile gösterilir. 04. 12. 2010 100. Yıl Lisesi İbrahim KOCA 9
Örnek 5) Aşağıda verilen bağıntıların ters bağıntılarını bulunuz. 04. 12. 2010 100. Yıl Lisesi İbrahim KOCA 10
Başarının anahtarı çalışmaktır. . . 04. 12. 2010 100. Yıl Lisesi İbrahim KOCA 11
Örnek 6) kümesinde, bağıntısı tanımlanıyor. ve bağıntılarını liste biçiminde yazınız. Çözüm 6) 04. 12. 2010 100. Yıl Lisesi İbrahim KOCA 12
Örnek 7) kümesinde, bağıntısı tanımlanıyor. ve bağıntılarını liste biçiminde yazınız. Çözüm 7) 04. 12. 2010 100. Yıl Lisesi İbrahim KOCA 13
Örnek 8) Doğal sayılar kümesinde tanımlı, bağıntısı veriliyor. bağıntısını liste yöntemiyle yazınız. Çözüm 8) 04. 12. 2010 100. Yıl Lisesi İbrahim KOCA 14
Örnek 9) Doğal sayılar kümesinde tanımlı, bağıntısı veriliyor. bağıntısını liste yöntemiyle yazınız. Çözüm 9) 04. 12. 2010 100. Yıl Lisesi İbrahim KOCA 15
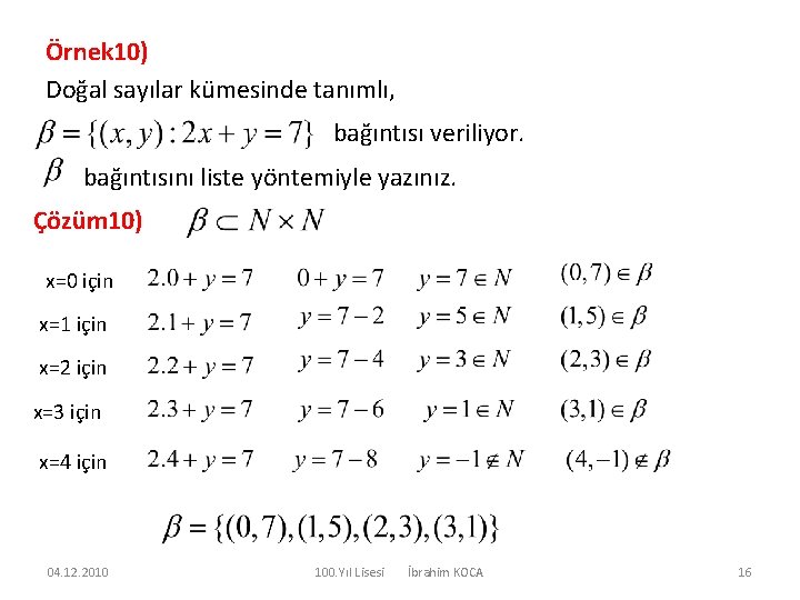
Örnek 10) Doğal sayılar kümesinde tanımlı, bağıntısı veriliyor. bağıntısını liste yöntemiyle yazınız. Çözüm 10) x=0 için x=1 için x=2 için x=3 için x=4 için 04. 12. 2010 100. Yıl Lisesi İbrahim KOCA 16
BAĞINTININ ÖZELLİKLERİ: 1. Yansıma Özelliği: , A kümesinde tanımlı bir bağıntı olsun. A nın her x elemanı için oluyorsa bağıntısının yansıma özelliği vardır veya yansıyandır denir. Örnek 11) kümesinde tanımlı aşağıdaki bağıntılardan hangisi yansıyandır? 04. 12. 2010 100. Yıl Lisesi İbrahim KOCA 17
Uyarı: ve bağıntısının yansıyan olup olmadığını anlamak için, bağıntıda y yerine x yazılır. Elde edilen bağıntı A kümesinde daima doğru ise bağıntısı yansıyandır. Örnek 12) kümesinde, bağıntısı tanımlanıyor. bağıntısının yansıyan olup olmadığını inceleyiniz. Çözüm 12) y yerine x yazalım, Bu ifade daima doğru olduğundan 04. 12. 2010 100. Yıl Lisesi olur. yansıyandır. İbrahim KOCA 18
2. Simetri Özelliği: A da tanımlı bir bağıntı olsun. Eğer her için ise bağıntısının simetri özelliği vardır veya simetriktir denir. Örnek 13) kümesinde tanımlı aşağıdaki bağıntılardan hangisileri simetriktir? 04. 12. 2010 100. Yıl Lisesi İbrahim KOCA 19
Uyarı: 1 -) bağıntısı simetrik ise, 2 -) ve bağıntısının simetrik olup olmadığını anlamak için, bağıntıda x ile y nin yerleri değiştirilir. Elde edilen bağıntı verilen bağıntı ile aynı ise simetriktir. 04. 12. 2010 100. Yıl Lisesi İbrahim KOCA 20
Örnek 14) Sayma sayıları kümesinde tanımlı, bağıntısının simetrik olduğunu gösteriniz. Çözüm 14) x ile y yi yer değiştiriyoruz, olduğundan 04. 12. 2010 100. Yıl Lisesi simetriktir. İbrahim KOCA 21
3. Ters Simetri Özelliği: A kümesi üzerinde tanımlı bir bağıntı olsun, ü Her ü iken her için iken bağıntısının ters simetri özelliği vardır veya simetriktir denir. Uyarı: biçiminde bir ikilinin bozmaz. 04. 12. 2010 100. Yıl Lisesi oluyorsa, ise ters da olması ters simetri özelliğini İbrahim KOCA 22
Örnek 15) kümesinde tanımlı aşağıdaki bağıntılardan hangisileri ters simetriktir? ters simetriktir ters simetrik değildir 04. 12. 2010 100. Yıl Lisesi İbrahim KOCA 23
Örnek 16) kümesinde tanımlı aşağıdaki bağıntıların, yansıma, simetrik ve ters simetrik özelliklerini inceleyiniz. yansıyandır, simetriktir, ters simetriktir yansıyan değil, simetrik değil, ters simetrik değil yansıyan değil, simetriktir, ters simetriktir 04. 12. 2010 100. Yıl Lisesi İbrahim KOCA 24
4. Geçişme Özelliği: A da tanımlı bir bağıntı olsun Her için oluyorsa bağıntısının geçişme özelliği vardır denir. Kısaca geçişkendir denir. Örnek 17) kümesinde tanımlı bağıntılarından hangileri geçişkendir? 04. 12. 2010 100. Yıl Lisesi İbrahim KOCA 25
Örnek 17) kümesinde tanımlı Bağıntısı için yansıma, simetri, ters simetri ve geçişme özelliklerini inceleyiniz. 04. 12. 2010 100. Yıl Lisesi İbrahim KOCA 26
BAĞINTI SAYISI olsun A dan B ye tanımlanabilecek bağıntı sayısı: dir. Örnek 18) olduğuna göre, A dan B ye bağıntı sayısı kaçtır? 04. 12. 2010 100. Yıl Lisesi İbrahim KOCA 27
Örnek 18) ise. Aşağıda verilen kümeler arasındaki bağıntı sayısını bulunuz. 1 -) A dan B ye: 2 -) A dan C ye: 3 -) A da: 4 -) B den C ye: 5 -) C de: 04. 12. 2010 100. Yıl Lisesi İbrahim KOCA 28
- Slides: 28