BAB 3 PERSAMAAN KEADAAN Persamaan keadaan adalah persamaan
BAB 3 PERSAMAAN KEADAAN
Persamaan keadaan adalah persamaan yang menyatakan hubungan antara state variable yang menggambarkan keadaan dari suatu sistem pada kondisi fisik tertentu q Temperatur q Tekanan q Volume molar
PERSAMAAN GAS IDEAL PV = RT Asumsi: • Molekul/atom gas identik dan tidak menempati ruang • Tidak ada gaya antar molekul • Molekul/atom penyusunnya menabrak dinding wadah dengan tabrakan yang elastis sempurna
25. 0 P (bar) 20. 0 15. 0 10. 0 5. 0 0 100 V (l/mol) 200 300
GAS NYATA P D liquid + vapor C dew point B vapor bubble point A V
Perbedaan antara gas ideal dan gas nyata Pideal gas > Preal gas Vreal, empty = Vcontainer – Vmolecule Perlu faktor koreksi untuk membandingkan Gas nyata dan gas ideal Copressilbility factor (Z)
Definisi compressibility factor Volume gas ideal Persamaan keadaan gas nyata
PERSAMAAN VIRIAL P > 1, 5 bar Jarak antar atom << Interaksi >> Gas Ideal tidak berlaku
Sepanjang garis isotermal T 1: P >> V << (Contoh untuk steam pada temperatur 200 C) P Pc C T > Tc T = Tc T 1 < T c T 2 < T c Vc V P (bar) V (m 3/kg) 1 2 3 4 5 6 7 8 9 10 11 12 13 14 15 2. 1724 1. 0805 0. 7164 0. 5343 0. 4250 0. 3521 0. 3000 0. 2609 0. 2304 0. 2060 0. 1860 0. 1693 0. 1552 0. 1430 0. 1325
16 14 P (bar) 12 10 8 6 4 2 0 0. 5 1. 0 1. 5 V (m 3/kg) 2. 0 2. 5
PV 2. 1724 2. 1610 2. 1493 2. 1373 2. 1252 2. 1127 2. 1000 2. 0870 2. 0738 2. 0602 2. 0463 2. 0321 2. 0174 2. 0024 1. 9868 P 1 2 3 4 5 6 7 8 9 10 11 12 13 14 15
16 14 PV 12 10 8 6 4 R 2 = 1 2 0 1. 94 2. 04 2. 14 P 2. 24
Pada contoh di atas: PV = – 117, 4 + 196, 5 P – 65, 37 P 2 Secara umum: PV = a + b. P + c. P 2 + … Jika b a. B’, c a. C”, dst, maka PV = a (1 + B’P + C’P 2 +. . . )
UNIVERSAL GAS CONSTANT PV (l bar mol-1) T = 273, 16 K (Triple point air) H 2 N 2 Udara (PV)t = 22, 7118 l bar * P mol-1 O 2
PV (l bar mol-1) T = 300 K H 2 N 2 Udara (PV)*300 K = 25 bar l mol-1 P O 2
45 (PV)* (bar l/mol) 40 PV = 0, 083145 T 35 30 Slope = 0, 083145 25 R = 0, 083145 bar l mol-1 K-1 20 200 300 400 T (K) 500 600
PV = a (1 + B’P + C’P 2 +. . . ) PV = RT (1 + B’P + C’P 2 +. . . ) Bentuk lain: Untuk gas ideal: PV = RT Z=1
Compressibility factor untuk gas metana
CONTOH SOAL Diketahui koefisien virial untuk uap isopropanol pada 200 C: B = 388 cm 3 mol 1 C = 26. 000 cm 6 mol 2 Hitung Z dan V dari uap isopropanol pada 200 C dan 10 bar dengan menggunakan persamaan sbb. : a) Persamaan keadaan gas ideal b) Persamaan keadaan virial dengan 2 suku c) Persamaan keadaan virial dengan 3 suku
PENYELESAIAN T = 200 C = 473, 15 K R = 83, 14 cm 3 bar mol 1 K 1 a) Persamaan gas ideal Z=1
b) Persamaan virial 2 suku
c) Persamaan virial 3 suku Persamaan diselesaikan secara iteratif.
Iterasi 1: Sebagai tebakan awal digunakan V 0 = Vgas ideal = 3. 934 Iterasi 2:
Iterasi diteruskan sampai selisih antara Vi Vi-1 sangat kecil, atau: Setelah iterasi ke 5 diperoleh hasil: V = 3. 488 cm 3 mol 1 Z = 0, 8866
PERSAMAAN KEADAAN KUBIK: VAN DER WAALS q Molekul dipandang sebagai partikel yang memiliki volume, sehingga V tidak boleh kurang dari suatu konstanta V diganti dengan (V – b) q Pada jarak tertentu molekul saling berinteraksi mempengaruhi tekanan, P diganti dengan (P + a/V 2)
Kondisi kritikalitas:
Derivat parsial pertama dari P terhadap V Derivat parsial kedua dari P terhadap V
Pada titik kritis, kedua derivat sama dengan nol: T = Tc P = Pc V = Vc Z = Zc Ada 2 persamaan dengan 2 bilangan anu (a dan b)
Mengapa disebut persamaan kubik? Samakan penyebut ruas kanan: Kalikan dengan V 2 (V – b): PV 2 (V – b) = RTV 2 – a (V – b)
V 0, 01 0, 02 … f(V) f 1 f 2 … dst
V 1 Vliq V 2 V 3 Vvap
PERSAMAAN KEADAAN REDLICH-KWONG Persamaan RK ini cukup akurat untuk prediksi sifat-sifat gas pada kondisi:
TEORI CORRESPONDING STATES TEORI CORRESPONDING STATE DENGAN 2 PARAMETER Semua fluida jika diperbandingkan pada Tr dan Pr yang sama akan memiliki faktor kompresibilitas yang hampir sama, dan semua penyimpangan dari perilaku gas ideal juga hampir sama temperatur tereduksi tekanan tereduksi
Itu benar untuk fluida sederhana (Ar, Kr, Xe), tapi untuk fluida yang lebih komplek, ada penyimpangan sistematik, sehingga Pitzer dkk. mengusulkan adanya parameter ke 3, yaitu faktor asentrik, Faktor asentrik merupakan ukuran non-sphericity (acentricity) dari suatu molekul, dan didefinisikan sebagai: pada Tr = 0, 7 dengan: Tekanan uap tereduksi
FAKTOR ASENTRIK Slope = - 2, 3 (Ar, Kr, Xe) 1/Tr = 1/0, 7 = 1, 435 Slope = - 3, 2 (n-Oktana)
PERSAMAAN SOAVE-REDLICH-KWONG
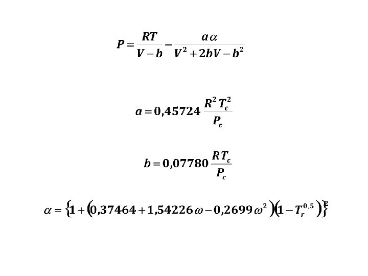
PERSAMAAN PENG-ROBINSON Peng & Robinson (1976): mengusulkan persamaan yang lebih baik untuk memenuhi tujuan-tujuan: 1. Parameter-parameter yang ada harus dapat dinyatakan dalam sifat kritis dan faktor asentrik. 2. Model harus bisa memprediksi berbagai macam property di sekitar titik kritis, terutama untuk perhitungan faktor kompresibilitas dan density cairan. 3. Mixing rule harus menggunakan satu binary interaction parameter yang tidak tergantung pada T, P, dan komposisi. 4. Persamaan harus berlaku untuk semua perhitungan semua property dalam proses natural gas.
(12)
BENTUK UMUM PERSAMAAN KUBIK vd. W RK SRK PR (13)
BENTUK UMUM
PARAMETER UNTUK PERSAMAAN KUBIK PERS. a b vd. W 1 0 0 27/64 1/8 RK 1 0 0, 42748 0, 08664 SRK 1 0 0, 42748 0, 08664 PR 1 + 2 1 - 2 0, 45724 0, 07779
AKAR TERBESAR PERSAMAAN KUBIK (Vgas) (14)
Persamaan di atas diselesaikan secara numerik, dengan tebakan awal V 0 = RT/P Iterasi 1: Iterasi 2: Iterasi i: Iterasi dihentikan jika:
AKAR TERKECIL PERSAMAAN KUBIK (Vliquid)
Persamaan di atas diselesaikan secara numerik, dengan tebakan awal V 0 = b Iterasi 1: Iterasi 2: Iterasi i: Iterasi dihentikan jika:
CONTOH SOAL Tekanan uap n-butana pada 350 K adalah 9, 4573 bar. Hitung volume molar untuk: a. Uap jenuh b. Cair jenuh dengan menggunakan persamaan RK PENYELESAIAN Untuk n-butana: Tc = 425, 1 K Tr = 0, 8233 Pc = 37, 96 bar Pr = 0, 2491 R = 0, 083145 L bar mol-1 K-1
a. UAP JENUH
Tebakan awal: Iterasi 1: = 2, 6522 L/mol
Iterasi 2: = 2, 5762 L/mol Pada iterasi ke 6 dst, : Vuap = 2, 5556 L/mol
b. CAIR JENUH Tebakan awal: V 0 = b = 0, 0807 L mol-1 i 0 1 2 3 … 16 Vliq = 0, 1333 L/mol Vi 0, 0807 0, 1051 0, 1171 0, 1237 … 0, 1333 error 2, 33 E-01 1, 02 E-01 5, 31 E-02 … 8, 87 E-05
- Slides: 51