B 1 Modeling with sequences 1 Sigma notation
B 1. Modeling with sequences 1. Sigma notation 2. Series 3. Populations: Exponential model 4. Populations: Logistic model 5. Sequences and limits
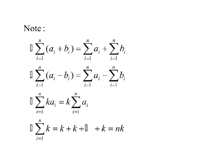
1. Sigma notation The index ends at i = n The summation symbol Formula for the ith term The index starts at i = 1
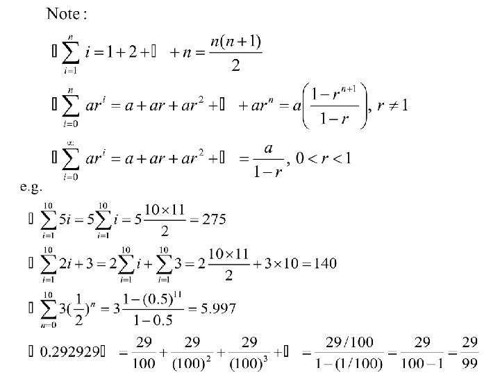
2. Series Definition: The sum of the elements of a sequence is called a series. e. g.
3. Populations: Exponential model Year n Population 2000 2001 2002 2003 0 1 2 3 50, 000 55, 000 60, 500 66, 550
That means the population is growing at a constant growth rate 10% (0. 1) every year between 2000 and 2003. The model is described by either of the recurrence relation:
Exponential model:
Example: The population of a city was 50, 000 in year 2000 and 75, 000 in year 2003. Assuming that the population is growing by a constant growth rate r, find a formula for the population in terms of n, the number of years since 2000. Predict the population in 2010. In which year the population will reach 250, 000.
4. Populations: Logistic model R(P) r Slope = -r/E E P
Logistic model:
Example: Observation of the birth and death rates of foxes in island suggests that the annual death rate is constant at 22% and the annual proportional birth rate is 0. 47 – 0. 0002 P. The population on 1 January 2000 was 400. a) Find a recurrence system for Pn , the population of foxes n years after 1 January 2000. b) What is the population in 1 January 2002?
Example: UN data suggests that the proportional growth rate per decade of the world population was 0. 2 in 1960, when the population was 3. 02 billion, and 0. 15 in 1990, when the population was 5. 27 billion. Find the parameters r and E. Find the population in 2000.
5. Sequences and limits • The sequence {an} converges to the number L if an → L whenever n → ∞, i. e. • If no such number L exists, we say that {an} diverges. • Note:
- Slides: 16