Aula 10 Introduo ao Stata 7 de junho
























- Slides: 24
Aula 10 Introdução ao Stata 7 de junho de 2013
Exemplo: Gastos médicos com um único regressor • Medical Expenditure Panel Survey • Variável dependente: ldrugexp (log dos gastos com medicamentos prescritos) • Variável endógena: hi_empunion: variável de seguro de vida endógena. • Ter este seguro saúde é uma variável de escolha. Aqueles que esperam gastar mais com saúde, escolhem um emprego que ofereça este tipo de seguro saúde.
Possíveis instrumentos • firmsz: tamanho da firma. • multlc: se a firma tem múltiplas localidades. Estes instrumentos poderiam captar se o indivíduo tem acesso ao seguro saúde suplementar via o empregador. Estas duas últimas variáveis podem não ser relevantes para os aposentados, CP, e que compram seguro de forma privada.
Possíveis instrumentos • Ssiratio: razão entre a renda individual advinda da seguridade social e a renda de todas as fontes – indicativo de restrições de renda. • Lowincome: dummy indicando o status de baixa renda das pessoas. Os instrumentos são relevantes pois tem uma correlação negativa com o acesso a seguridade suplementar. O papel direto da renda está sendo controlado pela variável linc (log da renda total familiar).
Regressão Linear: Variáveis instrumentais • Teste de sobreidentificação: – A validade de um instrumento não pode ser testada em um modelo exatamente identificado. – É possível testar a validade em um modelo sobreidentificado (mais instrumentos que regressores endógenos). – Testa se instrumentos sobreidentificadores são não correlacionados com o erro. – Testes: testes de sobreidentificação, teste de Hansen, teste de Sargan e teste Hansen-Sargan.
Teste de sobreidentificação – Imagine o seguinte modelo: – Se y 2 é endógeno, tenho que ter um instrumento , tal que: – Suponha que este instrumento é z 1, rodo MQ 2 E e salvo resíduos. Testo se: (z 2 é o outro instumento)
Teste de sobreidentificação Qui quadrada com assintótica com gl = número de restrições sobreidentificad oras • Regredir os resíduos das variáveis instrumentais sobre todos instrumentos e as variáveis exógenas e a constante. • A rejeição da hipótese nula indica que pelo menos um instrumento não é válido. Entretanto não sabemos qual instrumento. • Não rejeitar a hipótese nula não garante que todos instrumentos sejam válidos!
Teste de sobreidentificação • Usando ssratio e multlc. • A estatística de teste é distribuída qui quadrada com 1 gl. (2 -1 = restrições de sobreidentificação). • Como p > 0. 05 , não podemos rejeitar a hipótese nula e concluimos que a restrição de sobreidentificação não é válida.
Teste de sobreidentificação • Usando ssratio, multlc, lowincome, firmsz • A estatística de teste é distribuída qui quadrada com 3 gl. (4 -1 = restrições de sobreidentificação). • Como p < 0. 05 , rejeita a hipótese nula e concluimos que a restrição de sobreidentificação é válida.
Regressão quantílica
Regressão quantílica • Técnica de regressão mais robusta que apresenta vantagens em comparação ao método de MQO no caso de violações das suposições do modelo de regressão clássico. • Método mais robusto de estimação • Para algumas variáveis contínuas, não basta apenas olhar o comportamento da média. • Usada nos casos em que os erros não têm distribuição normal ou quando a variável dependente apresenta valores extremos.
Justificativas do uso • A média pode ficar estável, mas o comportamento da variável é diferenciado ao longo da distribuição. • Pode haver interesse em uma parte específica da distribuição da variável. • A regressão quantílica permite examinar como os quantis da variável dependende mudam em resposta a um conjunto de variáveis independentes.
Regressão quantílica • Método de MQO: estima o efeito médio de uma variável X sobre a distribuição condicional de Y em X.
Regressão quantílica • Regressão quantílica: efeito em toda a distribuição condicional da variável de interesse dadas as variáveis explicativas. • Visão mais completa da relação entre as variáveis.
Regressão quantílica • Estimo para partes da distribuição. MQO
Definições • Quantil: • Mediana • Primeiro e último decil: • Primeiro e último quartil:
Método de estimação • Minimização do desvio médio absoluto: • b será a mediana
Método de estimação • Minimização para qualquer quantil: • Minimiza a soma ponderada dos valore absolutos dos resíduos • Regressão quantílica
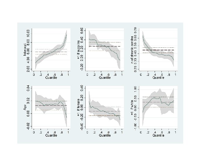
Regressão quantílica • As variáveis X afetam o comportamento de toda a distribuição de Y. • O impacto num quantil inferior pode ser diferente do impacto na média. • Para cada quantil, há uma regressão quantílica: • Para cada quantil, haverá um vetor de parâmetros estimados.
Interpretação • De que forma a distribuição condicional do quantil muda com variações de X • Impacto das mudanças em xj, sob a hipótese de que os indivíduos permaneçam no mesmo quantil da distribuição depois da mudança.
Comandos no stata • qreg: especificar o quantil • Bsreg: erro padrão calculado por bootstrap • Sqreg: estima para diferentes valores dos quantis simultaneamente. • Iqreg: estima para a diferença interquartílica
Exemplo • Medical Expenditure Panel Survey • Log Gastos com medicamentos: ltotexp • Dado: mus 03 data. dta