As Neurocincias e os Avanos na Compreenso e

  • Slides: 41
Download presentation
As Neurociências e os Avanços na Compreensão e Tratamento dos Transtornos Mentais Programa de

As Neurociências e os Avanços na Compreensão e Tratamento dos Transtornos Mentais Programa de Pós-Graduação em Ciências da Saúde, Laboratório de Neurociências-UNESC João Quevedo, MD, Ph. D quevedo@unesc. net

Modelo animal de Mania induzido por anfetamina Validade de face Hiperatividade Validade preditiva Lítio

Modelo animal de Mania induzido por anfetamina Validade de face Hiperatividade Validade preditiva Lítio Valproato Validade Aumento de constructo Extracelular dopamina

Reversão 1º ao 7º dia 8º ao 14º dia 15º dia AMPH+ LI/VPA AMPH/

Reversão 1º ao 7º dia 8º ao 14º dia 15º dia AMPH+ LI/VPA AMPH/ 2 h após Open-Field

Teste do Campo Aberto Atividade Locomotora 5 minutos Cruzamentos

Teste do Campo Aberto Atividade Locomotora 5 minutos Cruzamentos

Prevenção 1º ao 7º dia 8º ao 14º dia 15º dia Li/VPA LI/VPA+ AMPH/

Prevenção 1º ao 7º dia 8º ao 14º dia 15º dia Li/VPA LI/VPA+ AMPH/ 2 h após Open-Field

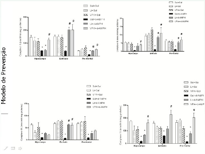
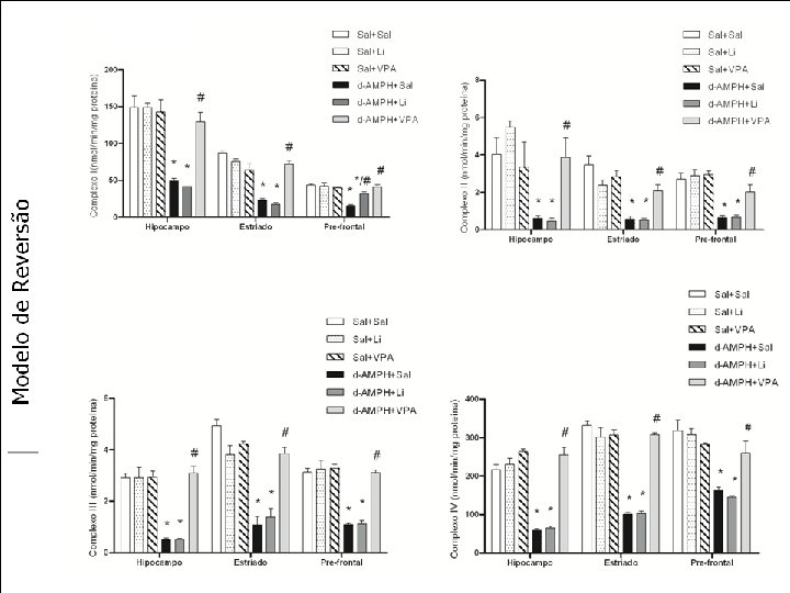
Reversão Prevenção

Reversão Prevenção

Teste cometa

Teste cometa

Teste de Micronúcleo Reversão Prevenção

Teste de Micronúcleo Reversão Prevenção

Modelo animal de Mania induzido por ouabaína Validade de face Hiperatividade Validade Diminuição da

Modelo animal de Mania induzido por ouabaína Validade de face Hiperatividade Validade Diminuição da Na+K+ATPase em cérebro e em eritrócitos de constructo

Curva de doses - atividade locomotora - imediatamente após a administração de ouabaína

Curva de doses - atividade locomotora - imediatamente após a administração de ouabaína

Imediatamente após a administração de ouabaína 7 dias após a administração de ouabaína

Imediatamente após a administração de ouabaína 7 dias após a administração de ouabaína

Imediatamente após a administração de ouabaína 7 dias após a administração de ouabaína

Imediatamente após a administração de ouabaína 7 dias após a administração de ouabaína

Modelo animal de Mania induzido por ouabaína Validade de face Hiperatividade Validade preditiva Lítio

Modelo animal de Mania induzido por ouabaína Validade de face Hiperatividade Validade preditiva Lítio Valproato Validade de constructo Diminuição da Na+K+ATPase em cérebro e em eritrócitos

Modelo mania induzido pela administração de ouabaína - Reversão Prevenção

Modelo mania induzido pela administração de ouabaína - Reversão Prevenção

Atividade Locomotora Reversão Prevenção

Atividade Locomotora Reversão Prevenção

Reversão Prevenção

Reversão Prevenção

Reversão Prevenção Dano em partículas submitocondriais

Reversão Prevenção Dano em partículas submitocondriais

Reversão Prevenção Dano Tecidual

Reversão Prevenção Dano Tecidual

Reversão Prevenção Enzimas antioxidantes

Reversão Prevenção Enzimas antioxidantes

Novas Perspectivas Inibidores de Proteína Quinase C Inibidores de Glicogênio Sintase Quinase - 3

Novas Perspectivas Inibidores de Proteína Quinase C Inibidores de Glicogênio Sintase Quinase - 3 Inibidores de Histonas Deacetilases

Inibidores de Proteína Quinase C - PKC • Lítio • Valproato • Tamoxifeno

Inibidores de Proteína Quinase C - PKC • Lítio • Valproato • Tamoxifeno

Inibidores de Glicogênio Sintase Quinase-3 - GSK-3 • Lítio • Valproato

Inibidores de Glicogênio Sintase Quinase-3 - GSK-3 • Lítio • Valproato

Inibidores de Histonas Deacetilases - HDACs • Valproato • Butirato de Sódio • Tricostatina

Inibidores de Histonas Deacetilases - HDACs • Valproato • Butirato de Sódio • Tricostatina

EQUIPE LABORATÓRIO DE NEUROCIÊNCIAS

EQUIPE LABORATÓRIO DE NEUROCIÊNCIAS

UNIDADE DE PESQUISA EM TRANSTORNO DO HUMOR BIPOLAR

UNIDADE DE PESQUISA EM TRANSTORNO DO HUMOR BIPOLAR