Area Perimeter Polygons Foundation GCSE Questions AQA These























- Slides: 23
Area & Perimeter – Polygons – Foundation – GCSE Questions – AQA These questions are the same format as previous GCSE exams. COPY means they use the exact same numbers as the original GCSE question. Otherwise, they are clone questions using different numbers. The worksheets are provided in 2 sizes.
Printing To print handouts from slides Select the slide from the left. Then click: File > Print > ‘Print Current Slide’ To print multiple slides Click on a section title to highlight all those slides, or press ‘Ctrl’ at the same time as selecting slides to highlight more than one. Then click: File > Print > ‘Print Selection’ To print double-sided handouts Highlight both slides before using ‘Print Selection’. Choose ‘Print on Both Sides’ and ‘Flip on Short Edge’.
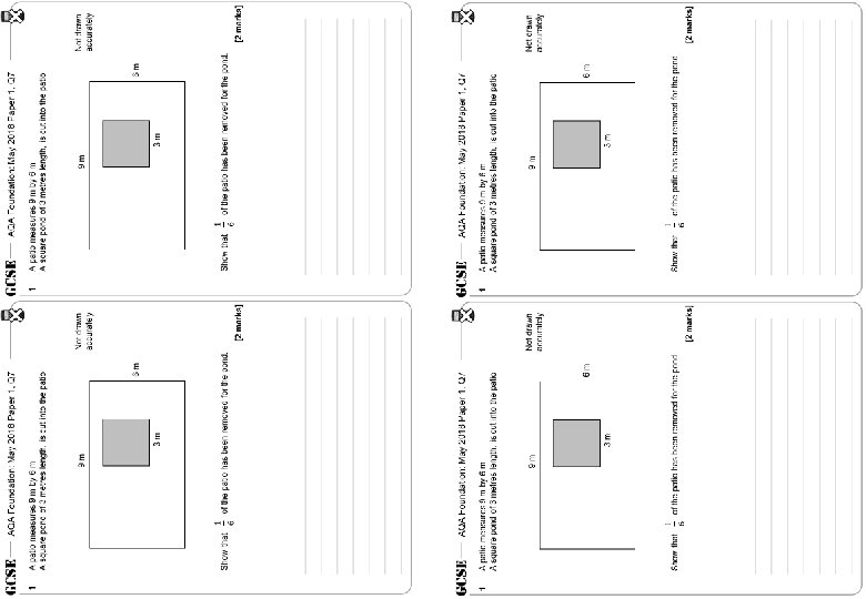
AQA Foundation: May 2018 Paper 1, Q 7 1 AQA Foundation: May 2018 Paper 1, Q 7 A patio measures 9 m by 6 m A square pond of 3 metres length, is cut into the patio 1 Not drawn accurately 9 m A patio measures 9 m by 6 m A square pond of 3 metres length, is cut into the patio Not drawn accurately 9 m 6 m 6 m 3 m 3 m [2 marks]
AQA Foundation: May 2018 Paper 1, Q 31 1 AQA Foundation: May 2018 Paper 1, Q 31 A large rectangle is made by joining three identical small rectangles as shown. Not drawn accurately The perimeter of one small rectangle is 35 cm Work out the perimeter of the large rectangle. Answer [4 marks] cm
AQA Foundation: June 2017 Paper 3, Q 10 1 Each shape below has an area of 48 cm 2 Complete the missing lengths. Rectangle AQA Foundation: June 2017 Paper 3, Q 10 [3 marks] 1 Not drawn accurately Each shape below has an area of 48 cm 2 Complete the missing lengths. Rectangle Triangle ____ cm 16 cm 12 cm 16 cm ____ cm AQA Foundation: June 2017 Paper 3, Q 10 Not drawn accurately Triangle 1 [3 marks] Each shape below has an area of 48 cm 2 Complete the missing lengths. Rectangle ____ cm Not drawn accurately Triangle ____ cm 12 cm 16 cm ____ cm AQA Foundation: June 2017 Paper 3, Q 10 [3 marks] Each shape below has an area of 48 cm 2 Complete the missing lengths. Rectangle Not drawn accurately Triangle 12 cm 1 [3 marks] ____ cm 12 cm 16 cm ____ cm
AQA Foundation: November 2017 Paper 3, Q 7 1 1 1 (a) Draw triangle ABC on the grid below. [3 marks] 1 (b) Work out the area of triangle ABC. Answer [2 marks] units 2
AQA Foundation: June 2018 Paper 3, Q 14 1 AQA Foundation: June 2018 Paper 3, Q 14 A triangle has base 7 cm and perpendicular height 4. 4 cm 1 A triangle has base 7 cm and perpendicular height 4. 4 cm Not drawn accurately 4. 4 cm 7 cm Work out the area of the triangle. [2 marks] Answer [2 marks] cm 2 Answer AQA Foundation: June 2018 Paper 3, Q 14 1 cm 2 AQA Foundation: June 2018 Paper 3, Q 14 A triangle has base 7 cm and perpendicular height 4. 4 cm 1 A triangle has base 7 cm and perpendicular height 4. 4 cm Not drawn accurately 4. 4 cm 7 cm Work out the area of the triangle. [2 marks] Answer cm 2
AQA Foundation: May 2018 Paper 1, Q 7 1 A patio measures 9 m by 6 m A square pond of 3 metres length, is cut into the patio Not drawn accurately 9 m 6 m 3 m [2 marks]
AQA Foundation: May 2018 Paper 1, Q 31 1 A large rectangle is made by joining three identical small rectangles as shown. Not drawn accurately The perimeter of one small rectangle is 35 cm Work out the perimeter of the large rectangle. Answer [4 marks] cm
AQA Foundation: November 2017 Paper 3, Q 7 1 1 (a) Draw triangle ABC on the grid below. [3 marks] 1 (b) Work out the area of triangle ABC. Answer [2 marks] units 2
AQA Foundation: May 2018 Paper 1, Q 7 1 A patio measures 9 m by 6 m A square pond of 3 metres length, is cut into the patio Not drawn accurately 9 m 6 m 3 m [2 marks] Total Area = 9 × 6 = 54 m 2 Pond Area = 3 × 3 = 9 m 2
AQA Foundation: May 2018 Paper 1, Q 31 1 A large rectangle is made by joining three identical small rectangles as shown. 3. 5 14 cm Not drawn accurately 14 cm 3. 5 14 cm The perimeter of one small rectangle is 35 cm Work out the perimeter of the large rectangle. 3. 5 [4 marks] 14 cm 14+14+3. 5+3. 5 (4 × 14) + (2 × 3. 5) Answer 63 cm
AQA Foundation: November 2017 Paper 3, Q 7 1 1 (a) Draw triangle ABC on the grid below. [3 marks] 1 (b) Work out the area of triangle ABC. Answer 18 [2 marks] units 2
Questions? Comments? Suggestions? …or have you found a mistake!? Any feedback would be appreciated . Please feel free to email: tom@goteachmaths. co. uk