arcsin a arcsin a arccos a arccos a

  • Slides: 36
Download presentation

arcsin (-a)= - arcsin a arccos (-a)= π - arccos a arctg (-a)= -

arcsin (-a)= - arcsin a arccos (-a)= π - arccos a arctg (-a)= - arctg a arcctg (-a)= π - arcсtg a 0 аrcsin 1 аrctg 1 аrccos (-0, 5) аrctg (- ) аrcctg (-1) 30°= 45°= 60°= 90°= sinx 0 1 cosx 1 0 tg x 0 1 - ctg x - 1 0

arcsin (-a)= - arcsin a

arcsin (-a)= - arcsin a

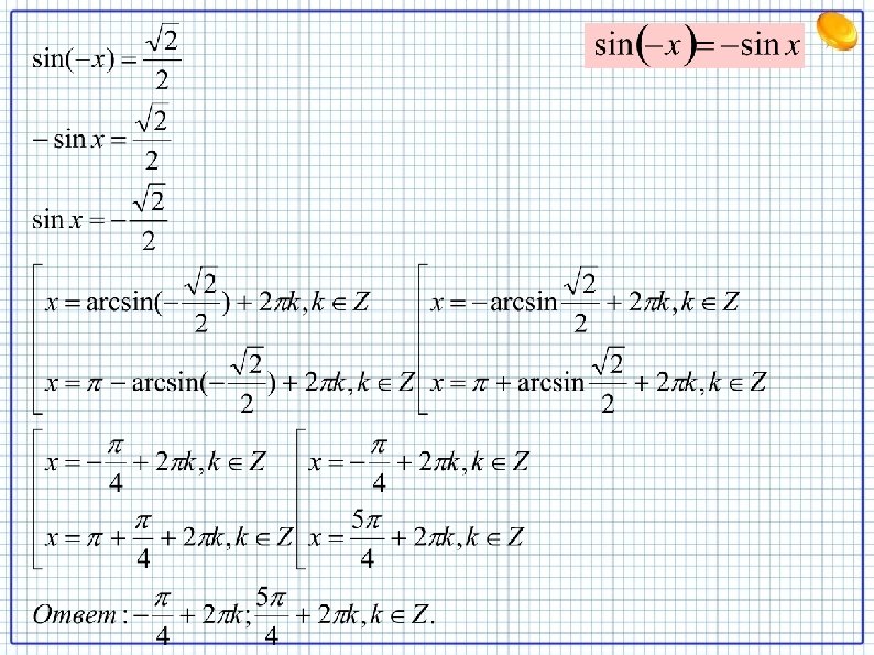
sin t = a

sin t = a

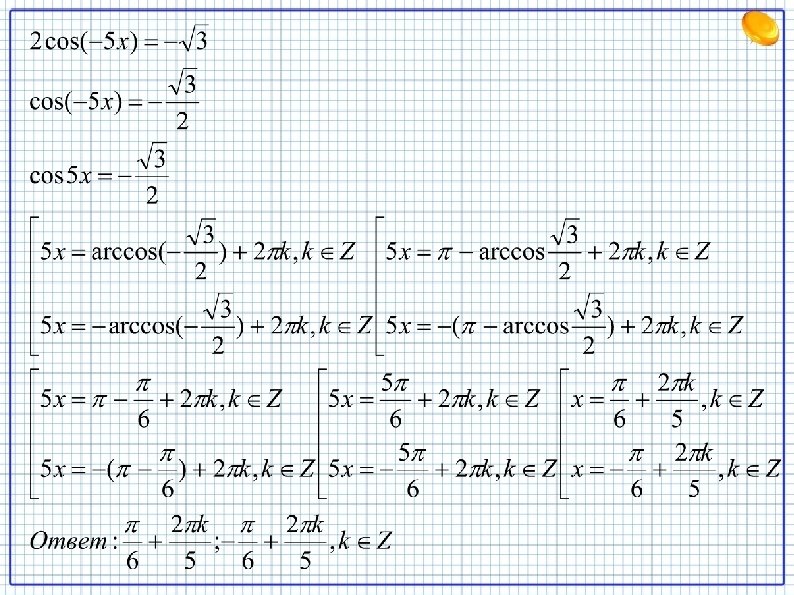
arccos (-a)= π - arccos a

arccos (-a)= π - arccos a

arctg (-a)= - arctg a arcctg (-a)= π - arcсtg a

arctg (-a)= - arctg a arcctg (-a)= π - arcсtg a

tg (-a)= - tg a

tg (-a)= - tg a