Applied Thermodynamics 3 GAS TURBINES AND JET PROPULSION
Applied Thermodynamics
3. GAS TURBINES AND JET PROPULSION Introduction: Gas turbines are prime movers producing mechanical power from the heat generated by the combustion of fuels. They are used in aircraft, some automobile units, industrial installations and small – sized electrical power generating units. A schematic diagram of a simple gas turbine power plant is shown below. This is the open cycle gas turbine plant.
Working: Air from atmosphere is compressed adiabatically (idealized) in a compressor (usually rotary) i. e. , Process 1– 2. This compressed air enters the combustion chamber, where fuel is injected and undergoes combustion at constant pressure in process 2– 3. The hot products of combustion expand in the turbine to the ambient pressure in process 3– 4 and the used up exhaust gases are let out into the surroundings.
The compressor is usually coupled to the turbine, so that the work input required by the compressor comes from the turbine. The turbine produces more work than what is required by the compressor, so that there is net work output available from the turbine. Since the products of combustion cannot be re–used, real gas turbines work essentially in open cycles. The p–v and T–s diagrams of such a plant are shown above.
The compressor is usually coupled to the turbine, so that the work input required by the compressor comes from the turbine. The turbine produces more work than what is required by the compressor, so that there is net work output available from the turbine. Since the products of combustion cannot be re–used, real gas turbines work essentially in open cycles. The p–v and T–s diagrams of such a plant are shown above.
Brayton Cycle: This is the air– standard cycle for the gas turbine plant. It consists of two reversible adiabatic processes and two reversible isobars (constant pressure processes). The p–v and T–s diagrams of a Brayton Cycle are as shown.
Process 1 2: Reversible adiabatic compression. 2 – 3: Reversible constant pressure heat addition. 3 – 4: Reversible adiabatic expansion. 4 – 1: Reversible constant pressure heat rejection. A schematic flow diagram of this somewhat hypothetical gas turbine plant is shown below.
Though this plant works on a closed cycle, each of the four devices in the plant is a steady–flow device, in the sense that there is a continuous flow of the working fluid (air) through each device. Hence, the steady–flow energy equation is the basis for analysis, and can be applied to each of the four processes. Neglecting changes in kinetic and potential energies, the steady flow energy equation takes the from Q – W = ∆h = Cp. ∆T (Since air is assumed to be an ideal gas) Process 1 – 2 is reversible adiabatic, hence Q 1 2 = 0 W 1 -2 = - Cp. ∆T = - Cp (T 2 – T 1): ve, work input Work of compression Wc = |W 1 – 2| = Cp (T 2 -T 1)
Process 2– 3 is a constant pressure process Heat added, Process 3 4 is again reversible adiabatic, +ve work output.
Process 4 1 is also a constant pressure process : ve, i. e. , heat is rejected Heat rejected, Q 2 = |Q 4 -1| = Cp (T 4 -T 1) Therefore the cycle efficiency,
Therefore the cycle efficiency, For isentropic process 1 -2, & for process 3 -4,
Since p 3 = p 2 and p 4 = p 1 Compression ratio,
Therefore, Pressure ratio, Thus it can be seen that, for the same compression ratio, A closed cycle turbine plant is used in a gas–cooled nuclear reactor plant, where the source is a high temperature gas cooled reactor supplying heat from nuclear fission directly to the working fluid (gas/air).
Comparison between Brayton Cycle and Otto cycle: For the same compression ratio, and nearly same net work output (represented by the area inside the p–v diagram), the Brayton cycle handles larger range of volume and smaller range of pressure than does the Otto cycle.
A Brayton cycle is not suitable as the basis for the working of reciprocating type of devices (Piston– Cylinder arrangements). A reciprocating engine cannot efficiently handle a large volume flow of low pressure gas. The engine (Cylinder) size becomes very large and friction losses become excessive. Otto cycle therefore is more suitable in reciprocating engines.
However, a Brayton cycle is more suitable than an Otto cycle, as a basis for a turbine plant. An I. C. engine is exposed to the highest temperature only intermittently (for short way during each cycle), so that there is time enough for it to cool. On the other hand, a gas turbine, being a steady flow device, is continuously exposed to the highest temperature.
Metallurgical considerations, therefore limit the maximum temperature that can be used. Moreover, in steady flow machines, it is easier to transfer heat at constant pressure than at constant volume. Besides, turbines can be efficiently handle large volume of gas flow. In view of all these, the Brayton cycle more suitable as the basis for the working of gas turbine plants.
Effect of irreversibility’s in turbine/compressor: In the ideal Brayton cycle, compression and expansion of air are assumed to be reversible and adiabatic. In reality, however, irreversibility’s do exist in the machine operations, even though they may be adiabatic. Hence the compression and expansion processes are not really constant entropy processes. Entropy tends to be increase (as per the principle of increase of entropy).
Effect of irreversibility’s in turbine/compressor: The T–s diagram of a Brayton cycle subject to irreversibility’s will be as shown. Irreversibility’s result in a reduction in turbine output by (h 4 h 4 S) and in an increase in the compressor input by (h 2 – h 2 S). Hence the output reduces by the amount (h 4–h 4 S )+ (h 2–h 2 s). Though heat input is also reduced by (h 2 h 2 s), the cycle efficiency is less than that of an ideal cycle. The extent of losses due to irreversibility’s can be expressed in terms of the turbine and compressor efficiencies.
Turbine efficiency, Compressor efficiency,
Methods of improving the efficiency of Brayton cycle: Use of regeneration: The efficiency of the Brayton cycle can be increased by utilizing part of the energy of exhaust air from the turbine to preheat the air leaving the compressor, in a heat exchanger called regenerator. This reduces the amount of heat supplied Q 1 from an external source, and also the amount of heat rejected Q 2 to an external sink, by an equal amount. Since Wnet = Q 1 Q 2 and both Q 1 and Q 2 reduce by equal amounts, there will be no change in the work output of the cycle.
Heat added Q 1 = h 3 –h 2’ = Cp (T 3 – T 2’) Heat rejected Q 2 = h 4’ – h 1 = Cp (T 4’ – T 1) Turbine output WT = h 3 – h 4 = Cp (T 3 – T 4) Compressor input WC = h 2 – h 1 = Cp (T 2 – T 1) Regeneration can be used only if the temperature of air leaving the turbine at 4 is greater than that of air leaving the compressor at 2. In the regenerator, heat is transferred from air leaving the turbine to air leaving the compressor, thereby raising the temperature of the latter. The maximum temperature to which compressed air at 2 can be heated is equal to the temperature of turbine exhaust at 4.
This, however, is possible only in an ideal regenerator. In reality, T 2’<T 4. The ratio of the actual temperature rise of compressed air to the maximum possible rise is called effectiveness of the regenerator.
With a regenerator, since Wnet remains unchanged, but Q 1 reduces, efficiency η = Wnet/Q 1 increases. This is also evident from the fact that the mean temperature of heat addition increases and the mean temperature of heat rejection reduces with the use of the regenerator, and efficiency is also given by
With regenerator, In the regenerator, Heat lost by hot air = Heat gained by cold air i. e. , With an ideal regenerator,
therefore,
For a fixed ratio , the cycle efficiency decreases with increasing pressure ratio. In practice, a regenerator is expensive, heavy and bulky and causes pressure losses, which may even decrease the cycle efficiency, instead of increasing it.
2. Multistage compression with inter cooling:
In this arrangement, compression of air is carried out in two or more stages with cooling of the air in between the stages. The cooling takes place in a heat exchanger using some external cooling medium (water, air etc). Shown above is a schematic flow diagram of a gas turbine plant with two stage compression with inter cooling.
1 2: first stage compression (isentropic) 2 3: inter cooling (heat rejection at constant pressure) 3 4: second stage compression (isentropic) 4 3: constant pressure heat addition 5 6: isentropic expansion 6 1: constant pressure heat rejection.
Air, after the first stage compression is cooled before it enters the second stage compressor. If air is cooled to a temperature equal to the initial temperature (i. e. , if T 3=T 1), inter cooling is said to be perfect. In practice, usually T 3 is greater than T 1. Multistage compressor with inter cooling actually decreases the cycle efficiency. This is because the average temperature of heat addition Tadd is less for this cycle 1 2 3 4 5 6 as compared to the simple Brayton cycle 1 4’ 5 6 with the initial state 1. (refer fig). Average temperature of heat rejection Trej also reduces, but only marginally.
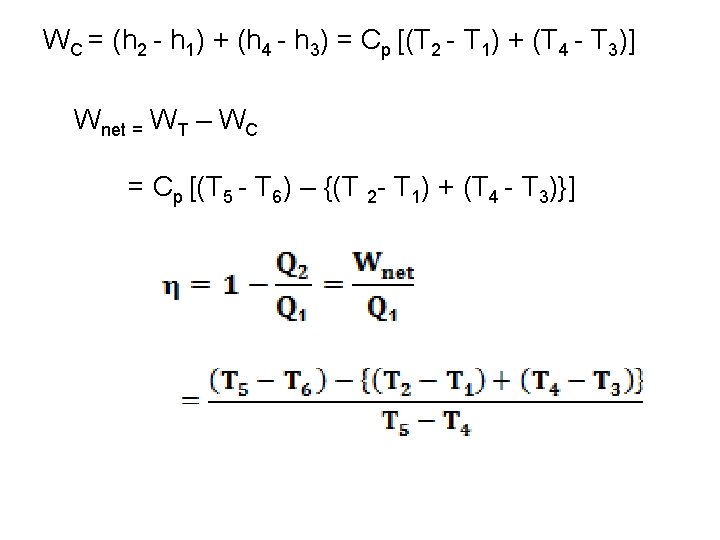
Hence efficiency is less for the modified cycle. However, if a regenerator is also used the heat added at lower temperature range (4 to 4’) comes from exhaust gases from the turbine. So there may be an increase in efficiency (compared to a simple Brayton cycle) when multi– stage compression with inter cooling is used in conjunction with a regenerator. For a gas turbine plant using 2–stage compression without a generator, Q 1 = h 5 h 4 = Cp(T 5 T 4) WT = h 5 h 6 = Cp(T 5 T 6) WC = (h 2 h 1) + (h 4 h 3) = Cp [(T 2 T 1) + (T 4 T 3)]
WC = (h 2 h 1) + (h 4 h 3) = Cp [(T 2 T 1) + (T 4 T 3)] Wnet = WT – WC = Cp [(T 5 T 6) – {(T 2 T 1) + (T 4 T 3)}]
3) Multi Stage expansion with reheating:
Here expansion of working fluid (air) is carried out in 2 or more stages with heating (called reheating) in between stages. The reheating is done in heat exchangers called Reheaters. In an idealized cycle, the air is reheated, after each stage of expansion, to the temperature at the beginning of expansion. The schematic flow diagram as well as T s diagram for a gas turbine plant where in expansion takes place in two turbine stages, with reheating in between, are shown. Multi Stage expansion with reheating, by itself, does not lead to any improvement in cycle efficiency. In fact, it only reduces.
However, this modification together with regeneration may result in an increase in cycle efficiency. It can be seen from the T s diagram that the turbine exhaust temperature is much higher when multi stage expansion with reheating is used, as compared to a simple Brayton cycle. This makes the use of a regenerator more effective and may lead to a higher efficiency. Heat added Q 1 = (h 3 h 2) + (h 5 h 4) = Cp(T 3 T 2) + Cp(T 5 T 4) Turbine output WT = (h 3 h 4) + (h 5 h 6) = Cp(T 3 T 4) + Cp(T 5 T 6) Compressor input WC = h 2 h 1 = Cp(T 2 T 1)
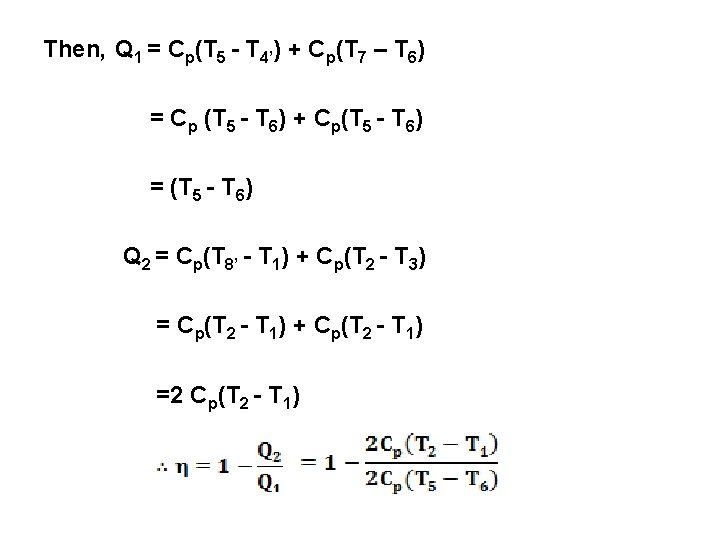
Ideal Regenerative cycle with inter cooling and reheat: Considerable improvement in efficiency is possible by incorporating all the three modifications simultaneously. Let us consider a regenerative gas turbine cycle with two stage compression and a single reheat. The flow diagram and T S diagram of such an arrangement is shown. Idealized Regenerative Brayton cycle with two stage compression with inter cooling and also two stage expansion with reheating – ideal regenerator, equal pressure ratios for stages, no irreversibilities, perfect inter cooling and reheating.
Heat added Q 1 = Cp(T 5 - T 4’) + Cp(T 7 - T 6) Turbine output WT = Cp(T 5 - T 6) + Cp(T 7 - T 8) Compressor input WC = Cp(T 2 - T 1) + Cp(T 4 - T 3) If perfect inter cooling, no irreversibilities, equal pressure ratios for stages and ideal regenerator are assumed, T 1=T 3, T 2=T 4=T 8’, T 5=T 7 and T 6=T 8=T 4’
Then, Q 1 = Cp(T 5 - T 4’) + Cp(T 7 – T 6) = Cp (T 5 - T 6) + Cp(T 5 - T 6) = (T 5 - T 6) Q 2 = Cp(T 8’ - T 1) + Cp(T 2 - T 3) = Cp(T 2 - T 1) + Cp(T 2 - T 1) =2 Cp(T 2 - T 1)
It can be seen from this expression that the efficiency decreases with increasing pressure ratio rp.
Effect of pressure Ratio rp on simple Brayton Cycle: - That means, the more the pressure ratio, the more will be the efficiency. Temperature T 1 (=Tmin) is dependent on the temperature of surroundings. Temperature T 3 (=Tmax) is limited by metallurgical considerations and heat resistant characteristics of the turbine blade material. For fixed values of Tmin and Tmax, the variation in net work output, heat added and efficiency with increasing pressure ratio rp can be explained with the help of a T s diagram as shown.
For low pressure ratio, the net work output is small and the efficiency is also small (Cycle 1 – 2 – 3 4). In the limit, as rp tends 1, efficiency tends to zero (net work output is zero, but heat added is not zero). As the pressure ratio increases, the work output increases and so does the efficiency. However, there is an upper limit for rp when the compression ends at Tmax. As rp approaches this upper limit (rp)max, both net work output and heat added approach zero values. However, it can be seen that the mean temperature heat addition Tadd approaches Tmax, while the mean temperature of heat rejection approaches Tmin, as rp comes close to (rp)max.
Hence cycle efficiency, given by approaches the Carnot efficiency i. e. , rp (rp)max When the compression ends at Tmax i. e. , when state point 2 is at Tmax. When rp=rpmax,
The variation of net work output Wnet with pressure ratio rp is shown below. As rp increases from 1 to (rp)max, Wnet increases from zero, reaches a maximum at an optimum value of rp i. e. , (rp)opt and with further increase in rp, it reduces and becomes zero when rp = rpmax
Pressure Ratio for maximum net work output: Wnet= Cp[(T 3 - T 4) - (T 2 - T 1)] T 3 = Tmax & T 1= Tmin
Condition for maximum Wnet is i. e. , It can be seen that,
Maximum net work output Corresponding to rp = (rp)opt i. e. , when Wnet is maximum, cycle efficiency is
Open Cycle Gas Turbine Plants: In practice, a gas turbine plant works on an open cycle. Air from atmosphere is first compressed to a higher pressure in a rotary compressor, which is usually run by the turbine itself, before it enters the combustion chamber. Fuel is injected into the combustion chamber where it undergoes combustion. The heat released is absorbed by the products of combustion and the resulting high temperature; high pressure products expand in the turbine producing work output.
The used up combustion products (exhaust gases) are let out into the atmosphere. In the ideal case, compression and expansion are assumed to be isentropic and combustion is assumed to take place at constant pressure. The schematic flow diagram and p v and T s diagrams of an open cycle gas turbine plant are as shown.
Advantages and disadvantages of closed cycle over open cycle Advantages of closed cycle: 1. Higher thermal efficiency 2. Reduced size 3. No contamination 4. Improved heat transmission 5. Improved part load 6. Lesser fluid friction 7. No loss of working medium 8. Greater output and 9. Inexpensive fuel.
Disadvantages of closed cycle: 1. Complexity 2. Large amount of cooling water is required. This limits use of stationary installation or marine use 3. Dependent system 4. The wt of the system pre k. W developed is high comparatively, not economical for moving vehicles 5. Requires the use of a very large air heater.
Problems: 1. In a Gas turbine installation, the air is taken in at 1 bar and 150 C and compressed to 4 bar. The isentropic of turbine and the compressor are 82% and 85% respectively. Determine (i) compression work, (ii) Turbine work, (iii) work ratio, (iv) Th. . What would be the improvement in the th. if a regenerator with 75% effectiveness is incorporated in the cycle. Assume the maximum cycle temperature to be 8250 K. Solution: P 1 = 1 bar T 1 = 2880 K P 2 = 4 bar T 3 = 8250 K C = 0. 85 t = 0. 82
Case 1: Without Regeneration: Process 1 2 s is isentropic i. e. , But Process 3 4 s is isentropic But
(i) Compressor work, WC = CP (T 2 – T 1) = 1. 005 (452. 87 – 288) = 165. 69 k. J/kg (ii) Turbine work, Wt = CP (T 3 – T 4) = 1. 005 (825 – 603. 57) = 222. 54 k. J/kg (iii) Work ratio = = 0. 255 (iv) Thermal Efficiency , = 15. 2%
Case 2: With Regeneration: We have effectiveness, T 5 = 565. 890 K Heat supplied, Q H 1 = Q 5 3 = CP(T 3 – T 5) = 1. 005 (825 – 565. 89) = 260. 4 k. J/kg = 0. 218 Improvement in th due to regenerator = 0. 436 i. e. , 43. 6%
2. The maximum and minimum pressure and temperatures of a gas turbine are 5 bar, 1. 2 bar and 1000 K and 300 K respectively. Assuming compression and expansion processes as isentropic, determine th (a) when an ideal regenerator is incorporated in the plant and (b) when the effectiveness of the above regenerator is 75%. Solution: P 2 = P 3 = 5 bar P 1 = P 4 = 1. 2 bar T 3 = 1000 K T 1 = 300 K
Process 1 2 s is isentropic i. e. , Process 3 4 s is isentropic i. e. ,
Ideal regenerator: i. e. , T 5 = T 4 Heat supplied = CP (T 3 – T 5) = 1. 005 [1000 – 664. 88] = 336. 79 k. J/kg Wnet = WT – WC = CP (T 3 – T 4) – CP (T 2 – T 1) = 1. 005 [1000 – 664. 88 – 451. 21 + 300] = 183. 91 = 0. 546 or 54. 6%
Regenerator with = 0. 75 i. e. , Heat supplied, QH = CP (T 3 – T 5) = 1. 005 (1000 – 611. 46) = 390. 48 k. J/kg = 0. 471 or 47. 1%
3. Solve the above problem when the adiabatic efficiencies of the turbine and compressor are 90% and 85% respectively. 4. A gas turbine plant uses 500 kg of air/min, which enters the compressor at 1 bar, 170 C. The compressor delivery pressure is 4. 4 bar. The products of combustion leaves the combustion chamber at 6500 C and is then expanded in the turbine to 1 bar. Assuming isentropic efficiency of compressor to be 75% and that of the turbine to be 85%, calculate (i) mass of the fuel required /min, of the CV of fuel is 39000 KJ/Kg. (ii)net power output (iii)Overall thermal efficiency of the plant. Assume CP=1. 13 KJ/Kg-K, =1. 33 for both heating and expansion.
Solution: P 1 = 1 bar T 1 = 2900 K P 2 = 4. 4 bar T 3 = 9230 K C = 0. 75 t = 0. 85 , WN = ? , th ? Calorific Value = 39000 k. J/kg Process 1 2 s is isentropic compression i. e. , But i. e. ,
Process 3 4 s is isentropic expansion i. e. , But i. e. , (i) We have = 6. 21 kg/min
(ii) WN = ? Compressor work, WC = CP (T 2 – T 1) = 1. 005 (494. 03 – 290) = 205. 05 k. J/kg Turbine work, WT = CP (T 3 – T 4) = 1. 13 (923 – 681. 76) = 272. 6 k. J/kg WN = WT – WC = 67. 55 k. J/kg Net work output per minute = = (500+6. 21) (67. 55) = 34194. 49 k. J/min Power output = 569. 91 k. W
(iii) th = ? Heat supplied, QH = CP (T 3 – T 2) = 1. 33 (923 – 494. 03) = 570. 53 k. J/kg = 0. 118 or 11. 8%
5. A gas turbine cycle having 2 stage compression with intercooling in between stages and 2 stages of expansion with reheating in between the stages has an overall pressure ratio of 8. The maximum cycle temperature is 14000 K and the compressor inlet conditions are 1 bar and 270 C. The compressors have s of 80% and turbines have s of 85%. Assuming that the air is cooled back to its original temperature after the first stage compression and gas is reheated back to its original temperature after 1 st stage of expansion, determine (i) the net work output (ii) the cycle th.
Solution: T 5 = 14000 K T 1 = 3000 K, P 1= 1 bar C 1= 0. 8 = C 2, t 1 = t 2 = 0. 85 , T 3 = T 1 , T 7 = T 5 For maximum work output, For process 1 -2, = 300 (2. 83)0. 286 = 403. 950 K But
Since T 3 = T 1 and We have T 4 s = T 2 s = 403. 950 K Also since C 1 = C 2, T 4 = T 2 = 429. 90 K Compressor work, WC = CP (T 2 – T 1) + CP (T 4 – T 3) = 2 CP (T 2 – T 1) = 2 (1. 005) (429. 9 – 300) = 261. 19 k. J/kg For process 5 – 6,
But Since T 7 = T 5 and Since t 1 = t 2, , then T 8 = T 6 = T 8 = 1093. 760 K Turbine work, Wt = CP (T 5 – T 6) + CP (T 7 – T 8) = 2 CP (T 5 – T 6) = 2 (1. 005) (1400 – 1093. 76) = 615. 54 k. J/kg WN = WT – WC = 354. 35 k. J/kg
th = ? Heat Supplied, QH = CP (T 5 – T 4) + CP (T 7 – T 6) = 1. 005 (1400 – 429. 9 + 1400 – 1093. 76) = 1282. 72 k. J/kg = 0. 276 or 27. 6%
6. Determine the of a gas turbine having two stages of compression with intercooling and two stages of expansion with reheat. Given that the pressure ratio is 4, minimum temperature of the cycle 270 C and maximum temperature of the cycle is 6000 C, when t, C and regenerator are equal to 80%. ( Home work) 7. A two stage gas turbine cycle receives air at 100 k. Pa and 150 C. The lower stage has a pressure ratio of 3, while that for the upper stage is 4 for the compressor as well as the turbine. The temperature rise of the air compressed in the lower stage is reduced by 80% by intercooling. Also, a regenerator of 78% effectiveness is used. The upper temperature limit of the cycle is 11000 C. The turbine and the compressor s are 86%. Calculate the mass flow rate required to produce 6000 k. W.
Solution: P 1 = 1 bar T 1 = 2880 K IC = 0. 8 ε = reg = 0. 78, T 5 = 13730 K, C 1 = C 2 = t 1 = t 2 = 0. 86, if P = 6000 k. W Process 1 -2 s is isentropic compression T 2 s = 288 (3)0. 286 = 410. 750 K But Also,
Process 3 4 s is 2 nd stage isentropic compression T 4 s = 316. 54 (4)0. 286 = 470. 570 K But Process 5 -6 s is 1 st stage isentropic expansion
But Process 6 7 is reheating, assume T 7 = T 5 = 13730 K Process 7 8 s is 2 nd stage isentropic expansion i. e. , But Regenerator is used to utilizes the temperature of exhaust gases i. e. , Tx = 931. 650 K
We have, Compressor work: WC = CP (T 2 – T 1) + CP (T 4 – T 3) = 1. 005 (430. 73 – 288 + 495. 64 – 316. 54) = 323. 44 k. J/kg Also, Turbine work : WT = CP (T 5 – T 6) + CP (T 7 – T 8) = 1. 005 (1373 – 986. 51 + 1373 – 1054. 63) = 708. 38 k. J/kg Net work output, WN = WT WC = 384. 95 k. J/kg But, power produced, i. e. , 6000 x 1000 = 384. 95 x 1000 = 15. 59 kg/sec We have, heat supplied, QH = CP (T 5 – Tx) + CP (T 7 – T 6) = 1. 005 (1373 – 931. 65 + 1373 – 986. 51) = 831. 98 k. J/kg
8. In a gas turbine plant working on Brayton cycle, the inlet conditions are 1 bar and 270 C. The compression of air is carried out in two stages with a pressure ratio of 2. 5 for each stage with intercooling to 270 C. The expansion is carried out in one stage with a pressure ratio of 6. 25. The maximum temperature in the cycle is 8000 C. The of turbine and both compression stages are 80%. Determine (i) compressor work, (ii) Turbine work, (iii) Heat supplied, (iv) cycle , (v) cycle air rate. Hint: P 1 = 1 bar P 4 = P 5 = 6. 25 bar, P 3 = P 2 = 2. 5 bar
9. The pressure ratio of an open cycle constant pressure gas turbine is 6. The temperature range of the plant is 150 C and 8000 C. Calculate (i) th of the plant, (ii) Power developed by the plant for an air circulation of 5 kg/s, (iii) Air fuel ratio, (iv) specific fuel consumption. Neglect losses in the system. Use the following data: for both air and gases: CP 1. 005 k. J/kg 0 K and = 1. 4. Calorific value of the fuel is 42000 k. J/kg, C = 0. 85, t = 0. 9 and combustion of 0. 95. 10. In a G. T. unit with two stage compression and two stage expansion the gas temperature at entry to both the turbines are same. The compressors have an intercooler with an effectiveness of 83%. The working temperature limits are 250 C and 10000 C, while the pressure limits are 1. 02 bar and 7 bar respectively. Assuming that the compression and expansion processes in the compressors and turbine are adiabatic with C of 84% and t of 89% for both the stages. Calculate (i) the air-fuel ratio at the combustion chambers if the calorific value of the fuel is 38500 k. J/kg, (ii) Power output in k. W for an air flow rate of 1 kg/s and (iii) overall cycle .
11. In a reheat gas turbine cycle, comprising one compressor and two turbine, air is compressed from 1 bar, 270 C to 6 bar. The highest temperature in the cycle is 9000 C. The expansion in the 1 st stage turbine is such that the work from it just equals the work required by the compressor. Air is reheated between the two stages of expansion to 8500 C. Assume that the isentropic s of the compressor, the 1 st stage and the 2 nd stage turbines are 85% each and that the working fluid is air and calculate the cycle . Solution: P 1 = 1 bar T 3 = 1173 K WT 1 = WC t 1 = t 2 = 0. 85 T 1 = 300 K P 2 = 6 bar T 5 = 1123 K C = 0. 85
We have process 1 2 is isentropic i. e. , Compressor work, WC = CP (T 2 – T 1) = 1. 005 (536 – 300) = 237 k. J/kg From data, WT 1 = WC = 237 k. J/kg = CP (T 3 – T 4) T 4 = 937 k. J/kg
Process 3 4 is isentropic i. e. , From T-S diagram, intermediate pressure, P 4 = P 5 = 2. 328 bar Process 5 -6 s is isentropic in the 2 nd stage turbine
WT 2 = CP (T 5 – T 6) = 1. 005 (1123 – 918) = 206 k. J/kg Net work output = WT – WC = (WT 1 + WT 2) – WC = 206 k. J/kg Net heat transfer or heat supplied, Q = QH + QR Cycle efficiency, = CP (T 3 – T 2) + CP (T 5 – T 4) = 640 + 187 = 827 k. J/kg
12. In a simple gas turbine unit, the isentropic discharge temperature of air flowing out of compressor is 1950 C, while the actual discharge temperature is 2400 C. Conditions of air at the beginning of compression are 1 bar and 170 C. If the air-fuel ratio is 75 and net power output from the unit is 650 k. W. Compute (i) isentropic of the compressor and the turbine and (ii) overall . Calorific value of the fuel used is 46110 k. J/kg and the unit consumes 312 kg/hr of fuel. Assume for gases CP = 1. 09 k. J/kg-K and = 1. 32 and for air CP = 1. 005 k. J/kg-K and = 1. 4.
Solution: T 2 S = 195+273 = 468 K T 2 = 240+273 = 513 K T 1 = 290 K P 1=1 bar A/F = 75, Power output = Wnet = WT – WC = 650 k. W C = ? T = ? cycle = ? CV = 46110 k. J/kg, CPg = 1. 09 k. J/kg k, g = 1. 30, CPa = 1. 005 k. J/kg K, a = 1. 4 We have, Compressor Efficiency, Also, = 75 (0. 0867) = 6. 503 kg/s
Applying SFEE to the constant pressure heating process 2 -3, 0. 0867 (46110) = (6. 503 + 0. 0867) 1. 09 (T 3 – 513) T 3 = 1069. 6 K Also, T 4 S = 712. 6 K. Further, i. e. , 650 = (6. 503 + 0. 0867) 1. 09 (1069. 6 – T 4) – 6. 503 (1. 005) (513 – 290) T 4 = 776 K
Now, Turbine Efficiency, And, Or
- Slides: 86