AP CALC CHAPTER 5 THE BEGINNING OF INTEGRAL
AP CALC: CHAPTER 5 THE BEGINNING OF INTEGRAL FUN…
SECTION 5. 1 – WARM UP • Complete the Quick Review on page 1 of your packets
SECTION 5. 1 - ESTIMATING WITH FINITE SUMS • Objective: Estimating distance traveled, using the Rectangular Approximation Method (RAM), and Finding the volume of a sphere.
DISTANCE TRAVELED • Explore the problem: A train moves along a track at a constant rate of 75 miles per hour from 7: 00 am to 9: 00 am. What is the total distance traveled by the train? • Recall: distance = rate * time • Graph: What shape is the graph? How do you find the area of such a shape?
DISTANCE TRAVELED • Example 1: • If you travel for 3. 5 hours at a constant speed of 50 mph, how far did you travel? Remember that the formula d = rt gives the total distance traveled.
EXAMPLE 2: • A particle starts at x = 0 and moves along the x-axis with velocity v(t) = t 2 for time. Where is the particle at t = 3? • Methods to approximate?
RECTANGULAR APPROXIMATION METHOD (RAM) • NOTE: RAM is the same thing as finding Riemann Sums like we did last year (and our Michigan Maps!). • We can distinguish between the 3 types (left endpoint, right endpoint, and midpoint) by the following abbreviations: LRAM (left), MRAM (midpoint), RRAM (right).
Example 3: A car accelerates from 0 to 88 feet per second with a speed of g(x) = -. 88(x – 10)2 + 88 feet per second after x seconds. Estimate the distance that the car travels in 8 seconds by dividing the graph into 4 sub-intervals.
EXAMPLE 4: • The graph of y = x 2 sin x on the interval [0, 3] is crazy. Lets Graph it and then estimate the area under the curve from x = 0 to x = 3.
SUMMARY • Sigma notation lets us express large sums (like Riemann Sums) in a compact form: • When we break up a function into sub-intervals, we say that we have a partition on the interval [a, b]. The norm of a partition is the length of the partition.
TODAY’S AGENDA • Complete the 5. 2 quick review in your packets • Start 5. 2 notes
SECTION 5. 2 DEFINITE INTEGRALS Riemann Sums • Sigma notation lets us express large sums (like Riemann Sums) in a compact form: • When we break up a function into sub-intervals, we say that we have a partition on the interval [a, b]. The norm of a partition is the length of the partition.
ANATOMY OF AN INTEGRAL Stop Function Integral Start Change in x
INTEGRATION NOTATION
EXAMPLE 1: • Express the area of the shaded region below with an integral.
EX. 2: What does 4/n say? • The interval [-1, 3] is partitioned into n subintervals of equal length (4/n). Let denote the midpoint of the kth subinterval. Express the limit as an integral.
DEFINITE INTEGRALS AND AREA Example 3: • Evaluate by drawing a picture
: . EXAMPLE 4 Find the exact area of
EXAMPLE 5 Evaluate the integral .
: FINDING AN “ANTI-DERIVATIVE”: Power Rule
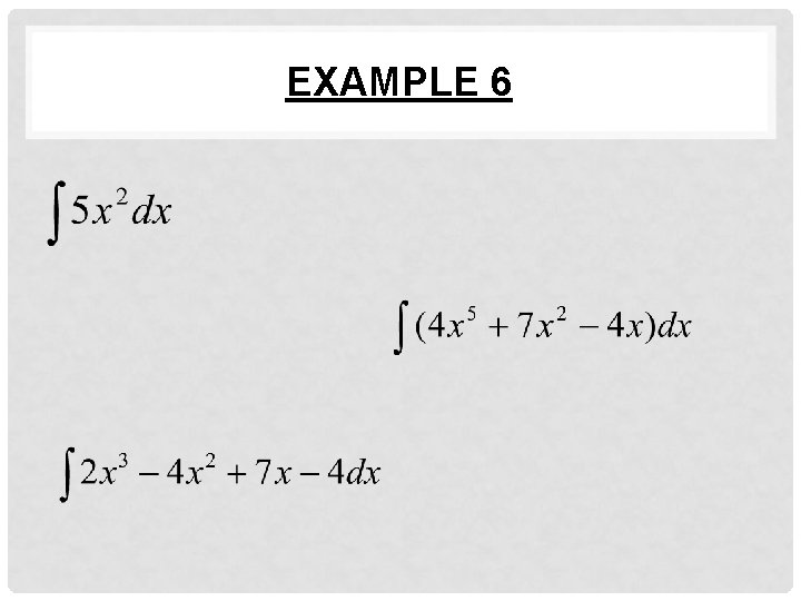
EXAMPLE 6
SECTION 5. 3
SECTION 5. 3: DEFINITE INTEGRALS AND ANTIDERIVATIVES • Objectives: Using properties of definite integrals, Finding average/mean values of functions, and connecting differential and integral calculus
WARM UP (ON SCRAP PAPER) Calculate LRAM and RRAM using the table below: Time Velocity 0 1 5 1. 2 10 1. 7 15 2. 0 20 1. 8 25 1. 6 30 1. 4
DEFINITION: • For any integrable function, x-axis) – (area below the x-axis) = (area above the
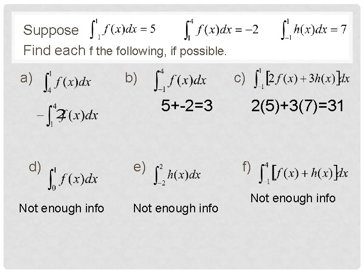
EVALUATE THE FOLLOWING INTEGRALS WITHOUT A CALCULATOR GIVEN THAT 1. 2. 5. 6. 3. 4. 7. 8.
THEOREM: • If f(x) = c, where c is a constant, on the interval [a, b], then.
INTEGRALS ON A CALCULATOR!!! • Evaluate the following integrals numerically on your calculators: a) b) c) Fn int (function, x, upper, lower)
INTEGRATING DISCONTINUOUS FUNCTIONS: Ex. 5: • Use area to find . 2 - (-1)= 3 units 2 2 1
PROPERTIES OF DEFINITE INTEGRALS Rules for Definite Integrals: • Order of Integration: • Zero: • Constant Multiple: • Sum and Difference:
PROPERTIES OF DEFINITE INTEGRALS Rules for Definite Integrals: • Additivity: + = • Max – Min Inequality: SKIP • Domination: on [a, b]
Suppose Find each f the following, if possible. a) b) c) 5+-2=3 d) Not enough info e) Not enough info 2(5)+3(7)=31 f) Not enough info
EX. 2 (SKIP) • Using Rule 6, show that the value of than 3/2. is less
AVERAGE VALUE OF A FUNCTION • Definition: If f is integrable on [a, b], its average (mean) value on [a, b] is:
EX. 3: • Find the average value of f(x) = 4 – x 2 on [0, 3]. Does f actually take on this value at some point in the given interval? • Does function take on value? YES! At
DIFFERENCE BTW AVERAGE AND AVERAGE RATE OF CHANGE • Average Rate of change • Average of Function
MEAN VALUE THEOREM FOR DEFINITE INTEGRALS: • If f is continuous on [a, b], then at some point c in [a, b]:
EXPLORATION AND EXAMPLE 4 (SKIP) • Complete the exploration, “Finding the Derivative of an Integral” with your table partner!
- Slides: 40