ANTIMICROBIAL AGENTS Fundamental principle of chemotherapy is the
ANTIMICROBIAL AGENTS • Fundamental principle of chemotherapy is the use of chemicals to treat disease. • Antimicrobials are chemotherapeutic agents with selective toxicity to the pathogen; these substances must be harmful to microbial parasites (virus, bacterium, fungus, protist or helminth “worm”) but not host cells • We must distinguish antimicrobials from disinfectants or antiseptics which can harm both parasite & host cells; • Disinfectants and antiseptics are used to inactivate microbes on inanimate environment and skin surface, respectively. • Antibiotics are antimicrobials produced naturally by bacteria or fungi. • Others are manmade (synthetic): sulfonamides, isoniazid, quinolones.
Antibiotics • Sources of natural antimicrobial agents: – spore-forming bacillus - produce polypeptide antibiotic – sporulating fungi - produce penicillins & cephalosporins – spore-forming Streptomyces - produce other major classes of antibiotics • In nature antibiotics are: – 1. produced only by microorganisms that are forming spores – 2. produced only after most cellular growth has occurred. – 3. excreted in very small amount. • Antibiotics have one of two effects on the growth and viability of microorgansms: – bacteriostatic - slows growth or prevents multiplication; not the cure per se; cure results from combined action of drug and host's defense mechanisms, like phagocytosis – bacteriocidal - usually effective only for growing microbes; ineffective dormant cells
Major Classes of Antibiotics Penicillins produced by mold Penicillium Cephalosporins - produced by mold Cephalosporium Bacitracin - produced by Bacillus licheniformis Polymyxins - produced by Bacillus polymyxa Aminoglycosides - produced by Streptomyces griseus Tetracyclines produced by Streptomyces Chloramphenicol - produced by Streptomyces venezuelae Macrolides - (Erythromycin) produced by Streptomyces erythreus Rifamycins - produced by Streptomyces mediterrani
MECHANISMS OF ANTIBIOTIC ACTIVITY 1. inhibit cell wall synthesis 2. inhibit cell membrane function 3. inhibit protein synthesis 4. inhibit nucleic acid synthesis 5. competitive inhibition of enzyme activity What is meant by narrow versus broad spectrum?
Inhibition of Cell Wall Synthesis • Penicillins: * Penicillin prevents formation of final peptide bond on sidechains of PDG; penicillins react irreversibly with crosslinking enzymes. * Kill growing bacterial cells; high internal osmotic pressure causes cell lysis at defective wall sites. * Toxicity to humans - has least of any antimicrobial drug for host cells most serious side-effect is allergic reactions. * Both natural and semi-synthetic forms. Common β-lactam ring nucleus for all penicillins; side groups vary.
Natural Penicillin Structures Naturals are very narrow spectrum and susceptible to penicillinases, which cleave the β-lactam ring rendering the drug inactive. Penicillin V is preferred for oral administration as it is resistant to acid hydrolysis.
Semi-synthetic penicillin’s are designed to: * increase range of action to include effectiveness against Gramnegative bacteria (e. g. ampicillin); or * resistance to penicillinases (e. g. methicillin).
Inhibition of Cell Wall Synthesis • Cephalosporins: 1. Considered the second generation of ß-lactams; i. e. works like pennicillin 2. Possess moderate-spectrum activity against gram positive & gram negative bacteria; 3. Resistant to penicillinases, sensitive to cephalosporinases; 4. No allergic reactions in most penicillin-allergic people. • Bacitracin: 1. Blocks dephosphorylation of lipid carrier which transports new wall components thru membrane; prevents peptidoglycan polymer synthesis. 2. Toxic effect on kidney when given internally; it is used mostly as a topical application.
Cell Membrane Injury • Polymyxin B: * Act as cationic detergents; integrate within & disrupt outer membrane. * Causes loss of osmotic function & selective membrane permeability. * Unique in being bacteriocidal in absence of cell growth. * More effective against gram negatives than gram positives (due to more LPS in gram negatives) * Toxicity - damages kidneys; little clinical use except topically (neomycin is the combination with bacitracin).
Protein Synthesis Inhibition: Macrolides Aminoglycosides
Aminoglycosides (streptomycin): • Binds to the 30 S subunit causing a conformation change. • Broad-spectrum; Bactericidal; • Results in a misreading of the m. RNA; - Wrong amino acids are inserted in peptide chain & faulty proteins are produced; - Faulty membrane proteins may create membrane channels that permit influx of more antibiotic. Tetracyclines: • Binds to 30 S; blocks binding of t. RNA to m. RNA-30 S complex. • New amino acids cannot be added to peptide so protein synthesis stops. • Broad-spectrum; inhibits only rapidly multiplying bacteria (bacteristatic). • Problems with tetracyclines are: 1. inhibition of normal flora leads to "superinfection" 2. deposition in calcified tissues (bones & teeth) causing staining, 3. weakening of bone structure (esp. true in growing children); 4. photosensitivity in some hosts.
Chloramphenicol: • Attaches to 50 S; inhibits the enzyme that catalyzes peptide bond formation. New amino acids cannot be added and protein synthesis stops. • Broad-spectrum; Bacteristatic • Toxicity - high doses tend to cause abnormalities of early RBC development leading to anemia. Macrolides (Erythromycin): • Attaches to 50 S; Blocks release of uncharged t. RNA from P site preventing ribosome movement (= translocation) • Primarily bacteristatic; • Less effective than penicillins, yet good alternative in cases of penicillin allergy. • Problem - numbers of resistant mutants arise with use.
Inhibition of Nucleic Acid Synthesis Rifamycins: • Inhibit transcription; binds to prokaryote RNA polymerase. Rifampin blocks RNA chain elongation. Inactive on RNA polymerase from eucaryotes. • Toxicity - occasional rashes, platelet decrease & some decline in liver function may occur. • Imparts an orange color to urine and sweat. Quinolones: • Binds and inhibits activity of DNA gyrase (enzyme that nicks, untwists & reseals ds. DNA at the replication fork) • Quinolones prevent resealing of nicked DNA allowing degradation by DNAses. • Quinolones are used primarily for urinary tract infections.
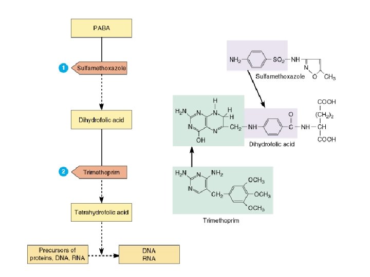
Competitive Inhibitors of Enzymes “Metabolic Antagonists” Sulfonamides: • p-aminobenzoic acid (PABA) is the substrate in the essential synthesis of folic acid in most bacteria. • Sulfonamides are structural analogs of PABA; act as competitive inhibitors. • No effect on human cells; we cannot synthesize folic acid, but rather obtain folic acid in diet.
ANTIMICROBIAL RESISTANCE Natural Resistance: • Many bacteria will be naturally resistant to certain narrow spectrum antimicrobials: – They simply do not possess the target, or – the drug does not have access to the target of its action. • For unknown infections it may be a good initial strategy to use a broad spectrum drug. – However, this will also cause death of normal microbiota. – This could lead to secondary infection by another naturally resistant microbe. • E. g. : fungal yeast infections (e. g. Candida albicans). A drug that may be broad spectrum for bacteria my have no effect on fungal yeast, hence the yeast is considered naturally resistant.
Acquired Resistance Mechanisms: 1. Acquire an enzyme that destroys the drug (e. g. β-lactamase a penicillinase). 2. Changing the target compound the drug acts on so that no longer happens (e. g. Streptococcus pnuemoniae mutated penicillin binding protein) 3. Actively eliminating the drug so it does not accumulate, via membrane pumps or change in the drugs permeability through a porin. (e. g. Neisseria gonorrhoeae porin change prevents penicillin entry). Genetics: • Slowly, mutations that increase resistance are selected and the numbers of these strains becomes greater than sensitive strains in the presence of antibiotic. • Rapid transfer via a conjugative plasmid or transduction of a transposon carrying resistance genes.
Slowing Resistance: • cut unnecessary use in medicine and agriculture. • use high dose for long duration to prevent re-growth of resistant mutants. • combined therapy (two is better than one).
Testing for Resistance/Sensitivity • Kirby Bauer Assay (KBA); easy and rapid. • KBA interpretation is based on the Minimal Inhibitory Concentration (MIC).
- Slides: 22