ANTIHISTAMNICOS H 1 Ph D Randolph Alonso Antihistamnicos














































![Metabolismo de Loratadina Metabolismo vía procesos oxidativos y no hidrólisis directa. No [ ] Metabolismo de Loratadina Metabolismo vía procesos oxidativos y no hidrólisis directa. No [ ]](https://slidetodoc.com/presentation_image_h/dd1e67ffd023a374483b4fc9c6b21d19/image-47.jpg)



















- Slides: 66
ANTIHISTAMÍNICOS H 1 Ph. D. Randolph Alonso
Antihistamínicos • Son fármacos que se usan para contrarrestar o bloquear los efectos causados en el organismo por la liberación de histamina.
Antihistamínicos tipo H 1. • Efectos de los antihistamínicos tipo H 1. • 1. -Acción antihistamínica. -inhiben los efectos de la histamina. • 2. -Efectos sobre el SNC. • Depresor. • Algunos son eficaces para prevenir mareos (pero no son útiles si el mareo ya esta presente). • 3. Acción anticolinérgica • Los derivados de etanolamina y etilendiamina pueden antagonizar a la acetilcolina en los nervios periféricos, es decir producen efectos semejantes a los de la atropina.
Efectos de los antihistamínicos tipo H 1. • 4. -Acción antiadrenérgica. • Los derivados de la fenotiacina ejercen ligero efecto de bloqueo de los receptores alfa adrenérgicos.
Efectos de los antihistamínicos tipo H 1. • 5. -Acción anestésica local. • La difenhidramina y la prometacina principalmente, pero en realidad la mayoría de los antihistamínicos pueden producir anestesia local debido a que bloquean los canales del Na en la célula.
Efectos de los antihistamínicos tipo H 1. • 6. -Acción antiserotoninérgica. Algunos antihistamínicos, por ejemplo la ciproheptidina pueden bloquear a los receptores de la serotonina.
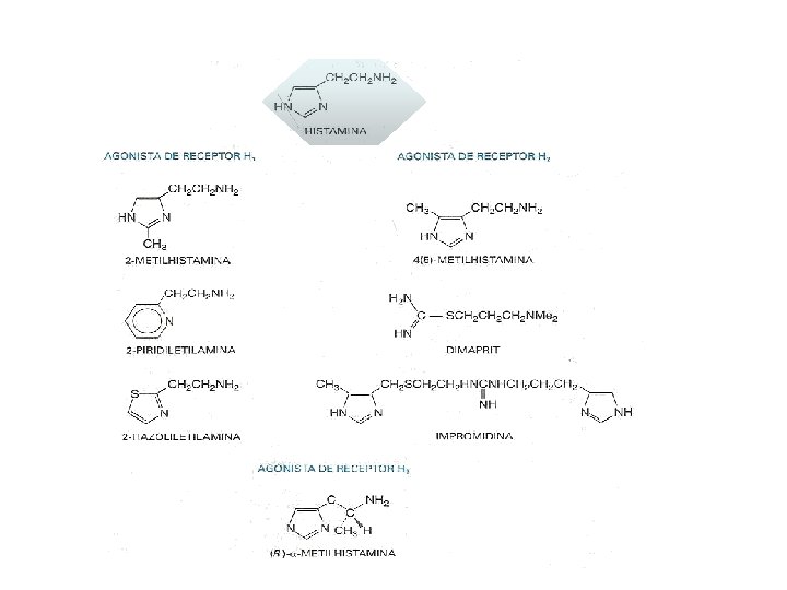
Antihistamínicos • • La histamina es una amina primaria derivada del imidazol. La mayor fuente de histamina en el cuerpo humano son los mastocitos. Esta se almacena en forma inactiva dentro de los gránulos basófilos de los mastocitos tisulares y leucocitos circulantes.
Tautómeros de la Histamina El mono y el dicatión son considerados formas biológicamente activas, la especie no protonada, es la que atraviesa las membranas.
4 -Cloroimidazol, tiazole, 1, 2, 4 -triazol y piridina análogos agonista de la histamina. Monocatión alílico es suficiente para actividad agonista. Grupo-Me en posición alfa reduce el tautomerismo, aumenta la selectividad por el receptor H 3
Conformación Gauche, o eclipsada, inducido por el grupo α-metil → H 3. Conformación anti o trans → H 1 y H 2
La Histamina se sintetiza en el aparato de Golgi en las células mastocitos y basófilos por descarboxilación enzimática. Alergeno - Antígeno → Ig. E (interviene en el proceso de hipersensibilidad) → Fc RI receptor ( superficie de la célula Mastocito) → dimerización Ig. E-Fc (alergeno) → exocitosis de granulositos (histamina y citoquinas).
• Tipos de receptores histamínicos
Receptores H 1 • Están en el músculo liso bronquial, gastrointestinal y en el cerebro.
Receptores H 2 • Presentes en la mucosa gástrica, útero y cerebro. • Aumentan también la permeabilidad vascular y estimulan la secreción ácida gástrica.
Receptores H 3 • Están en el cerebro y en el músculo liso bronquial. Son responsables de vasodilatación cerebral y podrían estar implicados en un sistema de retroalimentación o feedback negativo, por el cual la histamina inhibe su propia síntesis y liberación desde las terminaciones nerviosas
QUÍMICA DE LOS ANTIHISTAMÍNICOS • Los antihistamínicos típicos poseen una cadena lateral de etilamina (similar a la de la propia histamina) unida a uno o más grupos cíclicos.
Clasificación ANTIHISTAMÍNICOS H 1 • 1ª GENERACIÓN • 2ª GENERACIÓN
• Seguimos la próxima Clase • Recuerden que este tema requiere 10 horas de estudio independiente • Las horas de consulta son los Jueves de 9: 00 a 10: 00 am.
1ª GENERACIÓN O SEDATIVOS • DIFENHIDRAMINA • DIMENHIDRINATO • CLORFENIRAMINA • HIDROXICINA • PROMETAZINA • KETOTIFENO
Características Estructurales • Las características estructurales de los antagonistas de receptores H 1 se han empleado históricamente para clasificarlos en seis grupos químicos: » » » etilendiaminas etanolaminas alquilaminas fenotiazinas piperidinas
Etilendiaminas primera generación H 1. Sedante a nivel del SNC
Etanolaminas o aminoalquiléter → difenhidramina, vida ½ , Efecto anticolinérgico → taquicardia Sedante a nivel del SNC → sueño
Actividad antihistamínica del esteroisómero de clemastina RR>SS >R, S > S, R enantiómeros
Alcanos y alquenos antihistamínicos ampliamente utilizados →
Piperazinas están relacionadas con etilenediaminas y las etanolaminas benziléter → Vértigo, mareos, supresión de las nauseas y vómitos. Ciclizina y meclizina → Efecto Teratogénico ratones, en humano ( ) Hidroxizina ansiedad y estrés emocional, Metabolito ácido Cetirizina II Generación, Sedante a nivel del SNC
Antihistamínicos tricíclicos Fenotiazina cadena lateral 2 átomo C máximo, 3 o mas átomos de C efecto antipsicótico
Antihistamínicos tricíclicos
Nuevos Antagonistas • Varios de los nuevos antagonistas de los receptores H 1 son piperidinas o al menos poseen anillos piperidínicos
Antihistamínicos • Los antihistamínicos de primera generación contienen anillos aromáticos y sustituyentes alquil que los hacen lipofílicos, lo que explica su capacidad para cruzar la barrera hematoencefálica (BHE) Difenilhidramina
Antihistamínicos • Esto ha intentado evitarse suprimiendo o añadiendo radicales en la estructura molecular. Así, terfenadina precisa su estructura t-butil-fenilbutanol para no cruzar la BHE. Terfenadina
Antihistamínicos • El grupo etilamina, común a los antihistamínicos, también es compartido por muchos anticolinérgicos y bloqueantes adrenérgicos, por lo que estos compuestos tienen efectos antidopaminérgicos, antiserotoninérgicos y antimuscarínicos, que en muchos pacientes resultan indeseables, aunque también se han utilizado con fines terapéuticos
• Antihistamínicos La acción antiemética de muchos antihistamínicos (difenhidramina, dimenhidrinato, fenotiacinas) se deben en gran parte a sus propiedades sedantes y anticolinérgicas centrales difenhidramina dimenhidrinato
Antihistamínicos • Con algunos antihistamínicos, tales como ciproheptadina, ketotifeno, astemizol y cetirizina, se produce, además, un incremento del apetito, que se ha atribuido a una acción anti-serotoninérgica. cetirizina ciproheptadina astemizol
Antihistamínicos • Este efecto indeseable, que está bien establecido para ciproheptadina, sobre todo, se ha utilizado a menudo en "reconstituyentes" ciproheptadina
2ª GENERACIÓN O NO SEDATIVOS • LORATADINA • CETIRIZINA • EBASTINA • EPINASTINA • TERFENADINA • ASTEMIZOL
Segunda generación
Loratadina • La loratadina y su metabolito descarboetoxiloratadina inhiben la liberación de triptasa y α 2 -macroglobulina, interleucina 6 (IL-6) e IL-8, leucotrienos y prostaglandina D 2 (PGD 2) y la expresión de ICAM-1 y de antígenos HLA-II en la superficie de células epiteliales. Loratadina
Loratadina LORATADINE
Síntesis Loratadina Reactivos: (a) diethyl 3 -chlorobenzylphosphonate, Na. OMe, DMF, 35°, then 0. 5 h at rt; (b) 5% Pd-C, Et. OAc; (c) HOAc, H 2 O 2, 20 h, 60°; (d) DMS, 80°, 3 h; (e) H 2 O, Na. CN, 20 h, rt;
Síntesis Loratadina Reactivos: (f) Na. OH, Et. OH, reflux; (g) SOCI 2, Ph. H, reflux, 1. 5 h; (h) CS 2, AICl 3, 19 h, rt; (i) Et 20, Mg, N-methyl-4 -chloropiperidine, reflux 6 h; (j) c. H 2 SO 4, 2 h, rt;
Síntesis Loratadina Reactivos: (k) ethyl chloroformato Ph. H, reflux, 2 h
Metabolismo de Loratadina Metabolismo vía procesos oxidativos y no hidrólisis directa. No [ ] SNC metabolito No afecta canal K células cardíacas
• Antihistamínicos Loratadina tiene un radical éster carboxietil para limitar su distribución en el SNC Loratadina
Cetirizina • La cetirizina reduce la atracción de las células inflamatorias tras la provocación con antígeno e inhibe la expresión de la molécula de adhesión intercelular-1 (ICAM-1) en la superficie de células epiteliales. También podría bloquear la producción de leucotrienos (LTC 4) inducida por antígeno. cetirizina
Cetirizina Zyrtec Interacciona con Fármacos Anticolinergico y depresores del sistema nervioso central CETIRIZINE
Síntesis Cetirizina
Metabolismo del Hidroxizina a Cetirizina Altamente selectivo H 1, no cardiotóxico, Sedante a nivel del SNC (II generación)
Terfenadina • La terfenadina inhibe los productos de activación de eosinófilo, así como la expresión de ICAM-1 de superficie, y puede inhibir la liberación de leucotrienos, basófilos y eosinófilos. Terfenadina
Terfenadina TERFENADINE
Síntesis Terfenadina Reacctivos: (a) Ph. Mg. Br, Et 20, -20°, 45 min then reflux 1 h; (b) Pt. O 2, Me. OH, H 2, 3 -4 atm. ; (c) AICla; (d) KHCOa, KI, Ph. Me, reflux, 60 h:
Síntesis Terfenadina TERFENADINE Reacctivos: (e) KOH, Me. OH, KBH 4, 0°, 1 h.
Terfenadina metabolito Terfenadina → Fexofenadina→ No arritmias
Astemizol (HISMANAL) • Retirado del Mercado US por producir prolongación de las arritmias ventriculares, debido a sus metabolitos, además el rango de seguridad es muy estrecho. • El astemizol no se ha relacionado con somnolencia, aunque sí con ganancias de peso
Astemizol ASTEMIZOLE
Síntesis Astemizol Reacctivos: (a) Na. OH, H 2 O, CS 2, CICO 2 Et, 10° then 60°, 2 h; (b) Et. OH, rt, 16 h;
Síntesis Astemizol Reacctivos: (c) Mel, Et. OH, reflux 8 h; (d) p-F- C 6 H 4 CH 2 Br, Na 2 COS, DMF, 70°.
Síntesis Astemizol Reacctivo: (e) 48% HBr, reflux 3 h; (f) p-Me. O-C 6 H 4(CH 2)20 Ms, Na 2 COS, DMF, 16 h, 70°.
Metabolismo del Astemizol 4 -aminopiperidina, tóxico cardiovascular Norastemizol es el metabolito activo seguro.
• Azelastina La azelastina tópica, inicialmente estudiada como un antihistamínico "de acción dual" de perfil clínico similar a ketotifeno u oxatomida, también parece disminuir el infiltrado eosinófilo y la expresión de ICAM-1 de superficie en células epiteliales nasales. AstelinÃ? Nasal Spray contains 0. 1% azelastine hydrochloride in an aqueous solution at p. H 6. 8 ± 0. 3. It also contains benzalkonium chloride (125 mcg/m. L), edetate disodium, hypromellose, citric acid, dibasic sodium phosphate, sodium chloride, and purified water. azelastina
Azelastina • Clinical interaction studies with the known CYP 3 A 4 inhibitor erythromycin failed to demonstrate a pharmacokinetic interaction. • Cimetidine (400 mg twice daily), a nonspecific P 450 inhibitor, raised orally administered mean azelastine (4 mg twice daily) concentrations by approximately 65%. • Ketoconazole (200 mg twice daily for seven days) interfered with the measurement of azelastine plasma concentrations; however, no effects on QTc were observed.
Ebastina • La ebastina podría tener un efecto antagonista sobre la liberación inducida por Ig. E de prostaglandina D 2 y leucotrieno C 4/D 422. ebastina