Antidifferentiation by Substitution Slide 6 2 Indefinite Integrals
Antidifferentiation by Substitution
Slide 6 - 2
� Indefinite Integrals � Substitution in Definite Integrals � Separable Differential Equations … and why Antidifferentiation techniques were historically crucial for applying the results of calculus. Slide 6 - 3
Slide 6 - 4
Slide 6 - 5
Slide 6 - 6
The chain rule allows us to differentiate a wide variety of functions, but we are able to find antiderivatives for only a limited range of functions. We can sometimes use substitution to rewrite functions in a form that we can integrate.
Example 1: The variable of integration must match the variable in the expression. Don’t forget to substitute the value for u back into the problem!
Example: (Exploration 1 in the book) One of the clues that we look for is if we can find a function and its derivative in the integrand. Note that this only worked because of the 2 x in the original. Many integrals can not be done by substitution.
Example 2: Solve for dx.
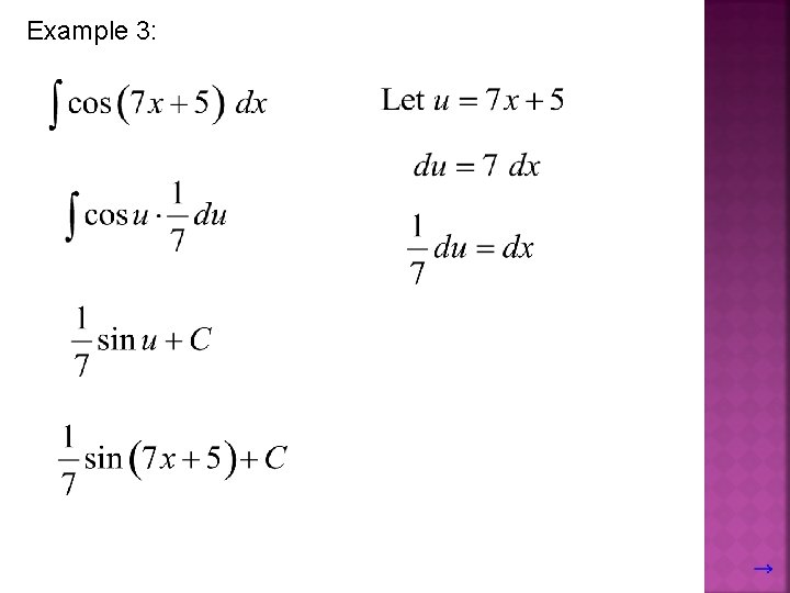
Example 3:
Example: (Not in book) We solve for because we can find it in the integrand.
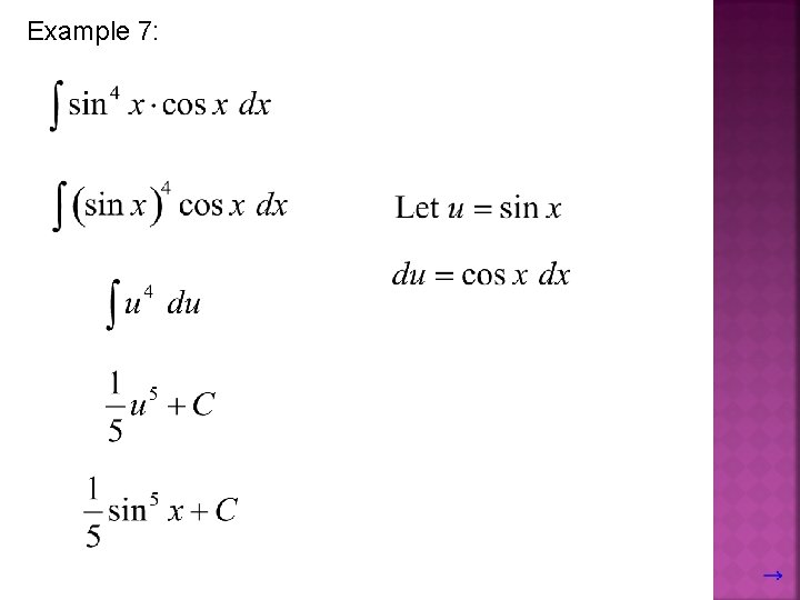
Example 7:
Example 8: The technique is a little different for definite integrals. new limit We can find new limits, and then we don’t have to substitute back. We could have substituted back and used the original limits.
Example 8: Using the original limits: Leave the limits out until you substitute back. Wrong! The limits don’t match! This is usually more work than finding new limits
Separable Differential Equations A separable differential equation can be expressed as the product of a function of x and a function of y. Example: Multiply both sides by dx and divide both sides by y 2 to separate the variables. (Assume y 2 is never zero. )
Separable Differential Equations A separable differential equation can be expressed as the product of a function of x and a function of y. Example: Combined constants of integration
Example: Separable differential equation Combined constants of integration
Example: We now have y as an implicit function of x. We can find y as an explicit function of x by taking the tangent of both sides. Notice that we can not factor out the constant C, because the distributive property does not work with tangent.
I know you may not LOVE this section as much as I do… BUT GET OVER IT!!! Remember that half the AP exam and half the nation’s college professors do not allow calculators. You must practice finding integrals by hand until you are good at it!
- Slides: 20