Antenna Terminology Antenna is a connecting link between
Antenna Terminology • Antenna is a connecting link between Tx and free space or free space and Rx • Operational Characteristics of system are designed around directional properties of the antenna. • Can be used in Ø Omnidirectional Applications Ø Directional Applications Ø Point to Point communication
ISOTROPIC RADIATOR • An Isotropic Radiator is a fictitious radiator which radiates uniformly in all the directions. It is also called omnidirectional radiator. • It is a hypothetical lossless radiator with which practical radiators are compared. • It is used as a reference antenna. • A Point source of sound is an example of isotropic radiator.
RADIATION PATTERN • Radiated Energy from an antenna is not uniform in all the directions. It can be more in one direction and less or zero in other. • Energy radiated in a particular direction is measured in terms of field strength at a particular point which is at a particular distance from antenna. • R P of a short diploe is shown
DEFINITION OF RADIATION PATTERN • Radiation Pattern is a graph which shows the variation in actual field strength of electromagnetic field at all points which are at equal distance from the antenna. • The graph of radiation pattern will be three dimensional and can’t be represented on a plain paper. • Alternatively, The graphical representation of radiation of an antenna as a function of direction is given the name Radiation Pattern of an antenna.
• Field Strength Pattern : If the radiation from an antenna is expressed in terms of field strength E (Volt/Meter) the R. P is called “Field Strength Pattern”. • Power Pattern : If the radiation from an antenna is expressed in terms of Power per unit solid angle the R. P is called “Power Pattern”. • FIGURES 6. 2, 6. 3 SHOWING TWO & THREE DIMENSIONAL R. Ps OF A SHORT DIPOLE
PRINCIPAL PATTERNS E-PLANE PATTERN: The plane containing the electric field vector and the direction of maximum radiation. H-PLANE PATTERN : The plane containing the magnetic field vector and the direction of maximum radiation.
RADIATION PATTERN LOBES • Different parts of radiation pattern are called as LOBES. • A RADIATION LOBE is a portion of the radiation pattern bounded by regions of relatively weak radiation intensity.
CLASSIFICATION OF LOBES • Major Lobe : It is also called as main beam. It is defined as “The radiation lobe containing the direction of maximum radiation”. • Minor Lobe : Any Lobe except a major lobe is a minor lobe. • Side Lobe : Radiation lobe in any direction other than the intended lobe. • Back Lobe : Radiation Lobe in a direction opposite to the major lobe.
POLAR AND RECTANGULAR PLOT OF LOBES • Minor Lobes represent radiation in undesired directions and they should be minimised. Side Lobes are usually the largest of minor lobes.
RADIAN AND STERADIAN A radian is defined with the aid of Figure a). It is the angle subtended by an arc along the perimeter of the circle with length equal to the radius. A steradian may be defined using Figure (b). Here, one steradian (sr) is subtended by an area r 2 at the surface of a sphere of radius r.
RADIATION INTENSITY( ) • Radiation Intensity is defined as “Power per unit solid angle”. • Unit of Radiation intensity is Watts/Steradian. • = Differential Power(d. Wr) Differential Element of Solid Angle
• Also for an isotropic radiator, total solid angle contains 4π steradians. Therefore, • Where φav is radiation intensity produced by an isotropic radiator radiating the same total power Wr
GAIN • The ability of an antenna to concentrate the radiated power in a given direction or conversely to absorb effectively the incident power from that direction is specified by various antenna terms like Gain, Directivity, Power Gain etc.
DEFINITION OF ANTENNA GAIN • Gain (G) of an antenna is defined as: Max Radiation intensity from subject or test antenna Max Radiation Intensity from reference antenna with same power input. When the reference antenna is isotropic, it will be lossless. • Gain (G 0) of an antenna is defined as: Max Radiation intensity from subject or test antenna Radiation Intensity from Isotropic antenna with same power input. Go = Φ’m Φo
• When antenna efficiency is 100 % Gain = Directivity In terms of signal power received by a rx-er at a distant point in the direction of max radiation, Gain (G) of an antenna is defined as: Max Power Received from subject or test antenna(P 1) Max Power Received from reference antenna(P 2) For the same input power in both the cases of test & reference antenna
In terms of field strength produced at a given distance Gain (G) of an antenna is defined as: Field Strength at a given distance from the practical antenna in most favoured direction(E 1) Field Strength at the same distance from the isotropic antenna(E 2) db gain= 10 Log 10 G
DIRECTIVE GAIN • The extent to which a practical antenna concentrates its radiated energy relative to that of some standard antenna is termed as directive gain (Gd). It is expressed as Radiation Intensity in a particular direction Average Radiated Power
Directive Gain (Gd)=Radiation intensity in a particular direction Average radiated power Gd (θ, φ)= Φ(θ, φ) = 4πΦ(θ, φ) Φav Wr Wr 4π Gd (θ, φ)= 4πΦ(θ, φ) ∫ΦdΩ Φ(θ, φ) = Radiation intensity in a particular direction Φav = Average radiation intensity in that direction Wr 4π Directive gain is expressed in decibels then : db. Gd (θ, φ) = 10 log 10{ 4πΦ(θ, φ) } ∫ΦdΩ
2) Directive gain of an is defined, in a particular direction as : Gd = Power density radiated in a particular direction by subject antenna Power density radiated in a particular direction by an isotropic antenna Assuming both are radiating the same total power
Power Gain The antenna power gain is defined as : Gp = Power density radiated in a particular direction by the subject antenna Power density radiated in that direction by isotropic antenna. Assuming the same input power to both Directive gain & Power gain is related as: Gp = η Gd η = Efficiency factor lies between 1 & 0 If η = 1, then Gp = Gd
Power Gain(Contd. . ) 2) Gp = Radiation intensity in a given direction Average total input power Gp = Φ(θ, φ) WT 4π where WT = Wr+Wl = total input power Wl = Ohmic Loss Gp = 4π Φ(θ, φ) WT 3) Gp = Power input supplied to the subject antenna in the direction max. radiation Power antenna supplied to reference antenna
Directivity(D) • The maximum directive gain is called directivity of an antenna and is denoted by D. where D is constant. 1) Directivity(D) = Maximum radiation intensity of test antenna Average radiation intensity of test antenna Or D = Φ(θ, φ)max both of test antenna Φav
Directivity(D)(Contd. . ) 2) Directivity(D) = Maximum radiation intensity of subject test antenna Radiation intensity of an isotropic antenna radiating the same total power Or D = Φ(θ, φ)max. (test antenna) Φ 0(isotropic antenna) 3) Directivity of an antenna is in term of the radiated power is given as: Directivity(D) = Power radiated from a test antenna Power radiated from an isotropic antenna D = W’ Wn (from test antenna) (from isotropic antenna)
Directivity(D)(Contd. . ) Since the average radiation intensity()is obtained by dividing total radiated W by 4π in steradian is given as: D = Φ(θ, φ)max. W 4π D = 4π Φ(θ, φ)max. W
Directivity(D)…. . D = 4π(maximum radiation intensity) Total radiated power
Relation b/w Gain & Directivity • G = KD Where, G=Gain k=efficiency factor=1 for 100% efficiency D=Directivity In many antennas losses are extremely small and hence the value of gain is almost equal to directivity. That is why gain and directivity are interchangeably used.
Antenna Efficiency ( • Antenna Efficiency= ) Power Radiated Total Input Power • Antenna Efficiency represents the fraction of total energy supplied to the antenna which is converted into electromagnetic waves. If WT => Total Input Power Wr => Power radiated Wl =>Ohmic Losses then WT = Wr + Wl
• If current flowing in an antenna is I then Where, Rr =Radiation Resistance Rl =Ohmic Loss Resistance of antenna conductor Rr + Rl =Total Effective Resistance
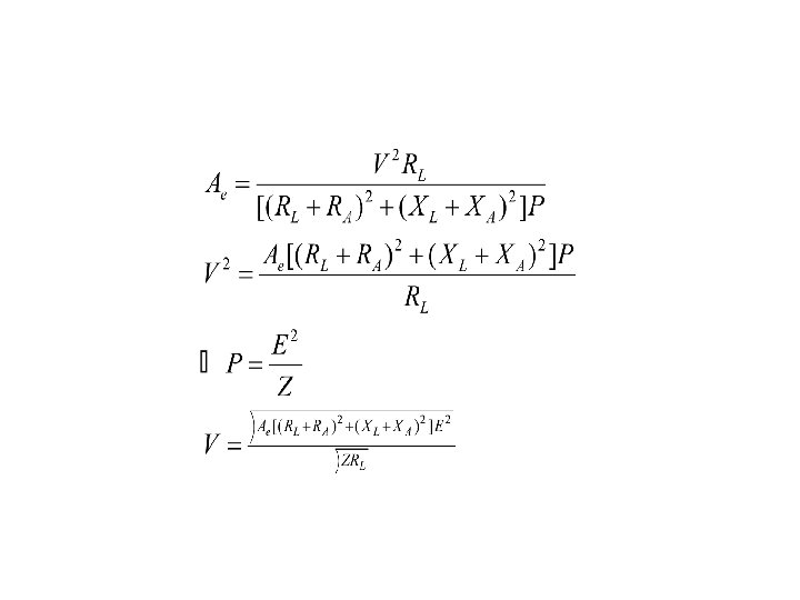
Effective Area or Effective Aperture or Capture Area • A Tx-ing antenna transmits electromagnetic waves and a rx-ing antenna receives the same. • An antenna is considered to have an effective area or aperture over which it extracts electromagnetic energy from em waves. • It is defined as the ratio of power received at the antenna load terminal to the poynting vector(or power density)in Watts/meter 2 of the incident wave. Thus Effective Area= Power Received Poynting Vector of incident wave Ae = W/P
Let a rx-ing antenna is placed in the field of plane polarised travelling waves having an effective area A and the rxing antenna is terminated at a load impedance ZL=RL+XL I Direction Of propagation of Plane polarised wave ZL Fig 1
• If I be the terminal current then Rx-ed Power is W=Irms 2 RL Where RL =>Load Resistance ZL Irms =>Terminal rms current V ZA Therefore A = W = P Irms 2 RL P Fig 2 The entire system can be replaced by an equivalent thevenin circuit as shown in Fig 2 V=>Equivalent Thevenin Voltage ZA =>Equivalent Thevenin Impedance
• Irms= Equivalent Voltage Equivalent Impedance Irms = V Z L + ZA Where ZA= RA + j. XA =>Complex Antenna Impedance RA= Rr + Rl = Rr if Rl is assumed to be 0 Where Rr =Radiation Resistance Rl =Loss Resistance Putting the values of ZA and ZL in Eq 1 we get Eq 1
Where, XL=Load Reactance XA=Antenna Reactance W=Irms 2 RL Eq 2
According to maximum power transfer theorem, maximum power will be transferred from antenna to the antenna terminating load if Eq-3 If Rl=0 Maximum Power received in antenna terminating load impedance ZL can be Obtained by putting eq 3 in eq 2
• Maximum Effective Aperture Eq 4 The ratio of effective area and max effective area is known as effectiveness Ratio and is denoted by α The value of α lies between o and 1
Scattering, Loss Aperture (AS, Al) • Scattering and Loss Aperture corresponds to considerable losses in radiation resistance and antenna loss resistance respectively Mathematically,
• Putting the conditions of maximum transfer of energy from eq 3 Eq 5 From Eq 4 and Eq 5 it is clear that under the condition of maximum transfer of energy maximum scattering aperture and maximum effective aperture are same Further the ratio of scattering aperture to effective aperture is called as Scattering ratio and is denoted by β. Thus
Collecting Aperture • Out of the power collected by antenna there are losses as heat in load resistance (RL), radiation resistance (Rr) and antenna loss resistance (Rl) and correspondingly these apertures are Effective, Scattering and Loss. By virtue of conservation of energy these three apertures are collectively known as Collecting Aperture (AC). Mathematically it is given as, AC=Ae+As+Al
PHYSICAL APERTURE : This is related to actual physical size of antenna and is denoted by Ap. In larger cross antennas like horn, parabolic reflector the physical aperture is greater than effective aperture. In an ideal size when there are no thermal losses, the physical aperture and effective aperture are equal and under these conditions maximum directivity is achieved i. e Ap=Ae when there are no losses Further the ratio of maximum effective aperture to the physical aperture is given the name absorption ratio and is denoted by γ
Relation between max aperture and gain or directivity • It is found in practice that directivity of rx-ing antenna is directly proportional to the maximum effective apertures. Let there be two antennas A and B whose directivities and maximum effective apertures are denoted by Da, Db and (Aea)max, (Aeb)max respectively. Therefore, Eq 1 Relation between gain and directivity is given by G=KD, k can be replaced by Effectiveness ratio α. i. e G= αD
Let us assume Goa, αa, Da being the gain, effectiveness ratio and directivity of Antenna A and Gob, αb, Db corresponding quantities for antenna B. Eq 2 But from definition Eq 3
Putting the values from eq 3 into eq 2 In eq 1 assume that antenna A is an isotropic antenna then its directivity Da=1 Putting this condition in eq 1 This eq indicates that if maximum effective aperture and directivity of an antenna B is known the ratio of two will give maximum effective aperture of an Isotropic antenna. Further if max effective aperture of an isotropic antenna is Calculated then directivity of any antenna can be calculated by following formula,
The above expression shows that directivity of any antenna is the ratio of its maximum effective aperture and the maximum effective aperture of an isotropic Antenna. For e. g take the case of a short dipole whose max. effective aperture and directivity If calculated will be given by (3/8π)λ 2 and 3/2 respectively Therefore
In general the relation between directivity and maximum effective aperture of An antenna is given as below
Effective Length The term effective length represents the effectiveness of an antenna as radiator or collector of electromagnetic wave energy. It indicates how far an antenna is effective in transmitting or receiving the electromagnetic wave energy. Effective Length is the ratio of induced voltage at the terminal of the receiving antenna under open circuited condition to the incident electric field intensity (or strength) E. Thus, Effective Length = Open Circuited Voltage Incident Field Strength le =V/E meter or wavelength
Under conditions for maximum effective aperture when This is the relation between maximum effective aperture and effective length
For transmitting antenna the effective length is that length of an equivalent linear antenna that has the same current I(c) (as at terminals of the actual antenna) at all the points along its length and that radiates the same field intensity E as the actual antenna. If I(c)=>Current at the terminals of actual antenna I(z)=>Current at any point Z of antenna le=>Effective Length l=>Actual Length
RECIPROCITY THEOREM STATEMENT: If an emf is applied to the terminals of an antenna no. 1 and the current measured at the terminals of another antenna no. 2 , then an equal current both in amplitude and phase will be obtained at the terminals of antenna no. 1 if the same emf is applied to the terminals of antenna no. 2 OR If a current I 1 at the terminals of antenna no. 1 induces emf E 21 at the open terminals of antenna no. 2 and a current I 2 at the terminals of antenna no. 2 induces emf E 12 at the open terminals of antenna no. 1 then E 21=E 12 PROVIDED I 1=I 2. ASSUMPTIONS: 1)emfs are of same frequency 2)Medium between two antennas are linear passive and isotropic 3)Generator producing emf and ammeter for producing current have zero impedance or if not both the generator and ammeter impedances are equal
Transfer Impedance=Z 12=E 12/I 2 Z 21 =E 21 /I 1 From Reciprocity it follows
Proof: To prove the reciprocity theorem the space between antenna 1 and antenna 2 is replaced by a network of linear , passive and bilateral impedances. Z 11, Z 22=>Self Impedance of antenna 1 and 2 respectively Zm=>Mutual Impedance between two antennas I 1 1 E 12 1 Z 11 1 Z 22 Zm 2 2 I 2 2
I 1 1 Z 11 I 1 1 1 Z 22 Zm 2 2 E 21 2
Applying kirchoff’s mesh law to loop 2 Eq 1 Applying kirchoff’s mesh law to loop 1
Eq 2 Putting value of I 1 from eq 2 in eq 1 Eq 3
Similarly the current I 1 can be obtained by symmetry Suffix 2 may be replaced by 1 And vice versa Eq 4 From Eq 3 and Eq 4 it is clear that if E 21 and E 12 are same then I 1=I 2
Radiation Resistance • The antenna is a radiating device in which power is radiated into space in the form of electromagnetic waves. Hence there must be power dissipation which may be expressed in usual manner as W=I 2 R • If it is assumed that all this power appears as electromagnetic radio waves then this power can be divided by square of current i. e Rr=W/I 2 at a point where it is fed to antenna and obtain a fictitious resistance called as radiation resistance. • It is normally denoted by Rr or Ra or Ro
• Thus Radiation Resistance can be defined as that fictitious resistance which when substituted in series with the antenna will consume the same power as is actually radiated. • Total Power loss in an antenna is sum of the two losses Total Power Loss = Ohmic Loss + Radiation Loss If R=Rr+Rl
The value of Radiation Resistance depends on ü Configuration of Antenna ü The Point where radiation resistance is considered ü Location of antenna with respect to ground and other objects ü Ratio of length of diameter of conductor used ü Corona Discharge-a luminous discharge round the surface of antenna due to ionization of air etc.
Self Impedance • Self Impedance is the impedance at a point where the transmission line carrying RF power from the transmitter is connected. • Since at this point input to the antenna is supplied so it is also called as antenna input impedance • Also at this point RF power from the transmitter is fed so this is also called as Feed Point impedance • Also at this point the transmission line operates so it is also called as driving point impedance or terminal impedance
Antenna Input impedance is very important because it is generally desired to supply maximum available power from the transmitter to the antenna or to extract maximum amount of received energy from the antenna. Transmission Line ZL Antenna Terminals Equivalent Load Antenna Terminals
If the antenna is lossless and isolated then the antenna terminal impedance is same as the self impedance of the antenna. Mathematically, For a linear half wave centre fed antenna the self impedance is calculated to be
• Thus for a lossless antenna self impedance and terminal impedance are equal which is a complex quantity the real part of which is known as self resistance or radiation resistance and imaginary part as self reactance • But if antenna is in nearby of other objects then terminal impedance gets modified because besides self impedance mutual impedance comes into existence due to current flowing in neighboring antennas • This is why self impedance of an antenna is defined as its input impedance when all other antennas are completely removed i. e away from it.
Mutual Impedance • Mutual Impedance is defined as negative ratio of the voltage induced in one circuit (by a current flowing in the second circuit) to the current in the second circuit with all the circuits open circuited except second circuit I 1 Ckt 1 P Ckt 2 S E 21
By Definition E 21=>Open Ckt Voltage across ckt no. 2 due to current I 1 in ckt no 1 E 12=>Open Ckt Voltage across ckt no. 1 due to current I 2 in ckt no 2 Mutual Impedance depends upon ØMagnitude of Induced Current ØPhase Relationship between induced and original currents ØTuning Conditions of nearby antennas
Front to Back Ratio It is defined as the ratio of power radiated in desired direction to the power radiated in opposite direction. Ø Higher the front to back ratio better it is. Ø FBR depends upon tuning conditions or electrical length of parasitic elements Ø Higher FBR can be achieved by diverting the gain in opposite direction to the desired direction by tuning the length of parasitic elements Ø For Receiving purposes adjustments are made to get maximum FBR rather than maximum gain.
Antenna Bandwidth • Antenna Bandwidth is the range of frequency over which the antenna maintains certain required characteristics like gain, front to back ratio or SWR pattern (shape or direction), polarization and impedance • It is the bandwidth within which the antenna maintains a certain set of given specifications.
fr=Centre or Resonant Frequency Q= 2π Total Energy Stored by antenna Energy Radiated or Dissipated per cycle Lower the Q of antenna higher is the bandwidth and vice versa
• In frequency independent antennas like log periodic antennas etc. which have unlimited bandwidth where lower and upper frequency limits are specified independently , the bandwidth is specified as the ratio of highest to lowest operating frequency
Antenna Beam width • Antenna Beam width is an angular width in degrees measured on the radiation pattern (major lobe) between points where the radiated power has fallen to half its maximum value. This is called as “beam width” between half power points or half power beam width (HPBW) because power at half power points is just half. • Half Power Beam width is also known as 3 db beam width because at half power points the power is 3 db down of the maximum power value of major lobe. • Further at half power points the field intensity (voltage) equals 1/21/2 or 0. 707 times its maximum value
• Sometimes radiation pattern is described in terms of angular width between first nulls or first side lobes known as beam width between first nulls (BWFN). • Directivity is given as
B= HPBW in horizontal plane x HPBW in vertical plane ……. square radians = HPBW in E plane x HPBW in H plane
• For direction finding applications a narrow beam is desirable and accuracy of direction finding is inversely proportional to beam width
Antenna Beam Efficiency • The parameter is defined as the ratio of main beam area (ΩM) to the total beam area (ΩA) Total Beam area=Main Beam Area + Minor Lobe Area = Stray Factor = Beam Efficiency
- Slides: 74