ANTENA DIPOLO FINITA Corrente no dipolo finito Corrente

  • Slides: 54
Download presentation
ANTENA DIPOLO FINITA

ANTENA DIPOLO FINITA

Corrente no dipolo finito

Corrente no dipolo finito

Corrente no dipolo finito com diferentes comprimentos

Corrente no dipolo finito com diferentes comprimentos

Corrente no dipolo finito com diferentes comprimentos

Corrente no dipolo finito com diferentes comprimentos

ABORDAGEM CLÁSSICA Considerar a contribuição das correntes ao longo do dipolo no potencial magnético

ABORDAGEM CLÁSSICA Considerar a contribuição das correntes ao longo do dipolo no potencial magnético no ponto de observação.

Vetor Potencial Magnético

Vetor Potencial Magnético

Vetor Potencial Magnético

Vetor Potencial Magnético

Vetor Potencial Magnético

Vetor Potencial Magnético

Vetor Potencial Magnético

Vetor Potencial Magnético

Vetor Potencial Magnético

Vetor Potencial Magnético

Vetor Potencial Magnético

Vetor Potencial Magnético

Campos na região distantes

Campos na região distantes

Densidade Média de Potência Padrão de Radiação Normalizado

Densidade Média de Potência Padrão de Radiação Normalizado

Padrão de Radiação Normalizado para diferentes comprimentos de antena

Padrão de Radiação Normalizado para diferentes comprimentos de antena

Padrão de Radiação Normalizado para diferentes comprimentos de antena

Padrão de Radiação Normalizado para diferentes comprimentos de antena

Padrão de Radiação Normalizado para diferentes comprimentos de antena

Padrão de Radiação Normalizado para diferentes comprimentos de antena

Padrão de Radiação Normalizado para diferentes comprimentos de antena

Padrão de Radiação Normalizado para diferentes comprimentos de antena

Padrão de Radiação Normalizado para diferentes comprimentos de antena

Padrão de Radiação Normalizado para diferentes comprimentos de antena

Padrão de Radiação Normalizado para diferentes comprimentos de antena

Padrão de Radiação Normalizado para diferentes comprimentos de antena

Padrão de Radiação Normalizado para diferentes comprimentos de antena

Padrão de Radiação Normalizado para diferentes comprimentos de antena

Padrão de Radiação Normalizado para diferentes comprimentos de antena

Padrão de Radiação Normalizado para diferentes comprimentos de antena

Padrão de Radiação Normalizado para diferentes comprimentos de antena

Padrão de Radiação Normalizado para diferentes comprimentos de antena

Padrão de Radiação Normalizado para diferentes comprimentos de antena

Padrão de Radiação Normalizado para diferentes comprimentos de antena

Padrão de Radiação Normalizado (d. B) l=1. 25 l

Padrão de Radiação Normalizado (d. B) l=1. 25 l

Potência Radiada

Potência Radiada

Potência Radiada

Potência Radiada

Euler–Mascheroni

Euler–Mascheroni

Resistência de Radiação

Resistência de Radiação

Resistência de Radiação Aproximada

Resistência de Radiação Aproximada

Diretividade

Diretividade

ABORDAGEM ALTERNATIVA Considerar a contribuição de várias antenas dipolo infinitesimais no Campo Elétrico no

ABORDAGEM ALTERNATIVA Considerar a contribuição de várias antenas dipolo infinitesimais no Campo Elétrico no ponto de observação.

ANTENA DIPOLO FINITA

ANTENA DIPOLO FINITA

Corrente no dipolo finito

Corrente no dipolo finito

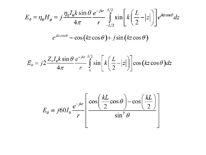
Caso Particular: Antena de meio comprimento de onda

Caso Particular: Antena de meio comprimento de onda

Antena de meio comprimento de onda

Antena de meio comprimento de onda

Campos na região distantes

Campos na região distantes

Padrão de Radiação Normalizado

Padrão de Radiação Normalizado

Padrão de Radiação Normalizado Aproximado

Padrão de Radiação Normalizado Aproximado

Densidade média de potência e Potência Radiada Resistencia de Radiação

Densidade média de potência e Potência Radiada Resistencia de Radiação

Diretividade

Diretividade

ANTENA LOOP INFINITESIMAL Para efeitos de análise será considerada uma antena Loop com geometria

ANTENA LOOP INFINITESIMAL Para efeitos de análise será considerada uma antena Loop com geometria quadrada

Vetores R desde o centro de cada dipolo infinitesimal

Vetores R desde o centro de cada dipolo infinitesimal

Cálculo de R 1

Cálculo de R 1

Cálculo de R 2

Cálculo de R 2

Cálculo de R 3

Cálculo de R 3

Cálculo de R 4

Cálculo de R 4

Vetor Potencial Magnético

Vetor Potencial Magnético

Vetor Potencial Magnético

Vetor Potencial Magnético

Vetor Potencial Magnético Campos na região distante

Vetor Potencial Magnético Campos na região distante

Campos na região distante Para uma antena loop com N espiras

Campos na região distante Para uma antena loop com N espiras

Dipolo vs Loop

Dipolo vs Loop