Angles Special Quadrilaterals Foundation GCSE Questions AQA These

  • Slides: 7
Download presentation
Angles – Special Quadrilaterals – Foundation – GCSE Questions – AQA These questions are

Angles – Special Quadrilaterals – Foundation – GCSE Questions – AQA These questions are the same format as previous GCSE exams. COPY means they use the exact same numbers as the original GCSE question. Otherwise, they are clone questions using different numbers. The worksheets are provided in 2 sizes.

Printing To print handouts from slides Select the slide from the left. Then click:

Printing To print handouts from slides Select the slide from the left. Then click: File > Print > ‘Print Current Slide’ To print multiple slides Click on a section title to highlight all those slides, or press ‘Ctrl’ at the same time as selecting slides to highlight more than one. Then click: File > Print > ‘Print Selection’ To print double-sided handouts Highlight both slides before using ‘Print Selection’. Choose ‘Print on Both Sides’ and ‘Flip on Short Edge’.

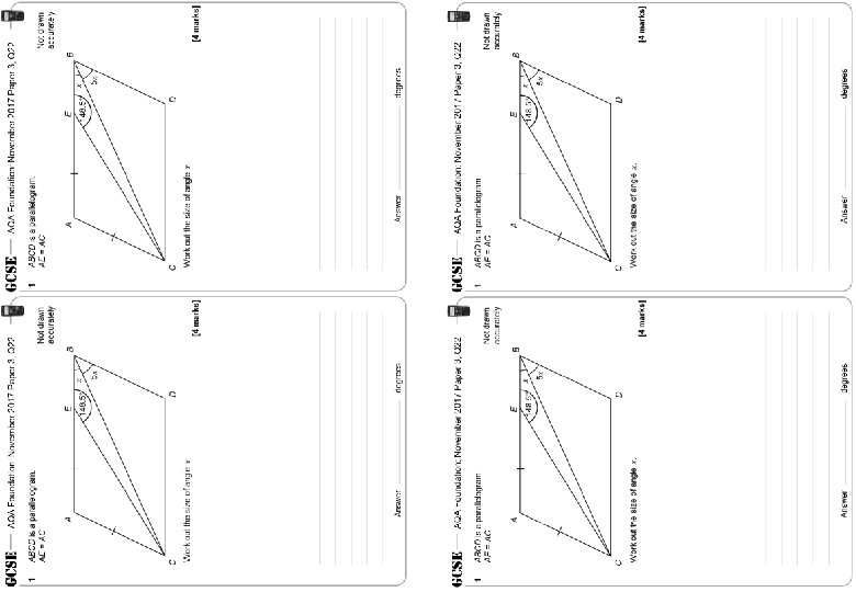
AQA Foundation: November 2017 Paper 3, Q 22 1 ABCD is a parallelogram. AE

AQA Foundation: November 2017 Paper 3, Q 22 1 ABCD is a parallelogram. AE = AC A Not drawn accurately E AQA Foundation: November 2017 Paper 3, Q 22 1 ABCD is a parallelogram. AE = AC A B 148. 5° C Not drawn accurately E B 148. 5° C D D [4 marks] Answer degrees

AQA Foundation: November 2017 Paper 3, Q 22 1 ABCD is a parallelogram. AE

AQA Foundation: November 2017 Paper 3, Q 22 1 ABCD is a parallelogram. AE = AC A Not drawn accurately E B 148. 5° C D [4 marks] Answer degrees

AQA Foundation: November 2017 Paper 3, Q 22 1 ABCD is a parallelogram. AE

AQA Foundation: November 2017 Paper 3, Q 22 1 ABCD is a parallelogram. AE = AC Not drawn accurately 31. 5° E A 117° B 148. 5° 31. 5° C D [4 marks] AEC = 180 – 148. 5 = 31. 5 ACE = 31. 5 CAE = 180 – (2 × 31. 5) = 117 CAE + ABD = 180 (co-interior angles total 180°) ABD = 180 – 117 = 63 Answer 10. 5 degrees

Questions? Comments? Suggestions? …or have you found a mistake!? Any feedback would be appreciated

Questions? Comments? Suggestions? …or have you found a mistake!? Any feedback would be appreciated . Please feel free to email: tom@goteachmaths. co. uk