Angles Polygons Mixed Foundation GCSE Questions AQA These



























- Slides: 27
Angles – Polygons – Mixed – Foundation – GCSE Questions – AQA These questions are the same format as previous GCSE exams. COPY means they use the exact same numbers as the original GCSE question. Otherwise, they are clone questions using different numbers. The worksheets are provided in 2 sizes.
Printing To print handouts from slides Select the slide from the left. Then click: File > Print > ‘Print Current Slide’ To print multiple slides Click on a section title to highlight all those slides, or press ‘Ctrl’ at the same time as selecting slides to highlight more than one. Then click: File > Print > ‘Print Selection’ To print double-sided handouts Highlight both slides before using ‘Print Selection’. Choose ‘Print on Both Sides’ and ‘Flip on Short Edge’.
AQA Foundation: November 2017 Paper 10, Q 10 1 1 One of the angles in a triangle is 60° Tick a box for each statement. Must be true AQA Foundation: November 2017 Paper 10, Q 10 Cannot be true One of the angles in a triangle is 60° Tick a box for each statement. Might be true Must be true The triangle is equilateral Cannot be true The triangle is equilateral The triangle is right-angled The triangle has at least one other acute angle The triangle is right-angled The other two angles are each less than 60° [4 marks] AQA Foundation: November 2017 Paper 10, Q 10 1 Might be true 1 One of the angles in a triangle is 60° Tick a box for each statement. Must be true AQA Foundation: November 2017 Paper 10, Q 10 Cannot be true One of the angles in a triangle is 60° Tick a box for each statement. Might be true The triangle is equilateral Must be true Cannot be true Might be true The triangle is equilateral The triangle is right-angled The triangle has at least one other acute angle The triangle is right-angled The other two angles are each less than 60° [4 marks]
AQA Foundation: June 2018 Paper 2, Q 16 1 (a) Triangle DBC is equilateral. AB = AC Not drawn accurately B D 18° A C C [4 marks] Answer degrees Answer 1 (b) Jenny is working out the size of an interior angle of a regular hexagon. Her method is Interior angle = 360 ÷ 6 Is her method correct? Give a reason for your answer. [4 marks] 1 (b) Jenny is working out the size of an interior angle of a regular hexagon. Her method is [1 mark] degrees Interior angle = 360 ÷ 6 Is her method correct? Give a reason for your answer. [1 mark]
AQA Foundation: May 2017 Paper 1, Q 23 1 A regular polygon has an exterior angle of 30° Work out the number of sides of the polygon. [2 marks] Answer 2 2 AQA Foundation: May 2017 Paper 1, Q 23 1 A regular polygon has an exterior angle of 30° Answer [2 marks] Answer 2 A regular polygon has an exterior angle of 5° Work out the number of sides of the polygon. A regular polygon has an exterior angle of 30° Work out the number of sides of the polygon. [2 marks] Answer 2 [2 marks] Answer AQA Foundation: May 2017 Paper 1, Q 23 Work out the number of sides of the polygon. A regular polygon has an exterior angle of 5° Work out the number of sides of the polygon. [2 marks] Answer 1 [2 marks] Answer A regular polygon has an exterior angle of 5° Work out the number of sides of the polygon. A regular polygon has an exterior angle of 30° [2 marks] A regular polygon has an exterior angle of 5° Work out the number of sides of the polygon. Answer [2 marks]
AQA Higher: November 2017 Paper 1, Q 14 1 AQA Higher: November 2017 Paper 1, Q 14 Two congruent regular polygons are joined together. 80° 1 Two congruent regular polygons are joined together. 80° Not drawn accurately [3 marks] Work out the number of sides on each polygon. Answer AQA Higher: November 2017 Paper 1, Q 14 1 AQA Higher: November 2017 Paper 1, Q 14 Two congruent regular polygons are joined together. 80° 1 Not drawn accurately Two congruent regular polygons are joined together. 80° Not drawn accurately [3 marks] Work out the number of sides on each polygon. Answer
AQA Foundation: November 2017 Paper 1, Q 18 1 ABCD is a quadrilateral. Sides are extended as shown. A Not drawn accurately B AQA Foundation: November 2017 Paper 1, Q 18 1 ABCD is a quadrilateral. Sides are extended as shown. 80° A 70° Not drawn accurately B 80° 70° C C D AQA Foundation: November 2017 Paper 1, Q 18 1 ABCD is a quadrilateral. Sides are extended as shown. A Not drawn accurately B D [3 marks] AQA Foundation: November 2017 Paper 1, Q 18 1 ABCD is a quadrilateral. Sides are extended as shown. 80° A 70° Not drawn accurately B 80° 70° C C D [3 marks]
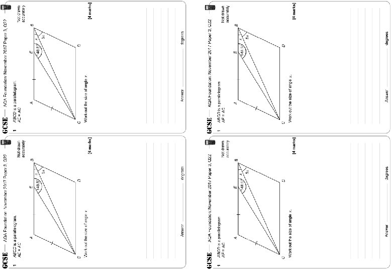
AQA Foundation: November 2017 Paper 3, Q 22 1 ABCD is a parallelogram. AE = AC A Not drawn accurately E AQA Foundation: November 2017 Paper 3, Q 22 1 ABCD is a parallelogram. AE = AC A B 148. 5° C Not drawn accurately E B 148. 5° C D D [4 marks] Answer degrees
AQA Foundation: June 2018 Paper 2, Q 16 1 (a) Triangle DBC is equilateral. AB = AC Not drawn accurately B D 18° A C [4 marks] Answer degrees 1 (b) Jenny is working out the size of an interior angle of a regular hexagon. Her method is Interior angle = 360 ÷ 6 Is her method correct? Give a reason for your answer. [1 mark]
AQA Foundation: November 2017 Paper 3, Q 22 1 ABCD is a parallelogram. AE = AC A Not drawn accurately E B 148. 5° C D [4 marks] Answer degrees
AQA Foundation: June 2018 Paper 2, Q 16 1 (a) Triangle DBC is equilateral. AB = AC Not drawn accurately B D 18° A 60° C [4 marks] 180 – 18 = 162° 162 ÷ 2 = 81° Answer 81° − 60° = 21° 21 degrees 1 (b) Jenny is working out the size of an interior angle of a regular hexagon. Her method is Interior angle = 360 ÷ 6 Is her method correct? Give a reason for your answer. It should be 180 – (360 ÷ 6) [1 mark]
AQA Foundation: November 2017 Paper 3, Q 22 1 ABCD is a parallelogram. AE = AC Not drawn accurately 31. 5° E A 117° B 148. 5° 31. 5° C D [4 marks] AEC = 180 – 148. 5 = 31. 5 ACE = 31. 5 CAE = 180 – (2 × 31. 5) = 117 CAE + ABD = 180 (co-interior angles total 180°) ABD = 180 – 117 = 63 Answer 10. 5 degrees
Questions? Comments? Suggestions? …or have you found a mistake!? Any feedback would be appreciated . Please feel free to email: tom@goteachmaths. co. uk