ANALIZA PROBLEMW ZAPASW PROF DR HAB GRAZYNA KARMOWSKA
ANALIZA PROBLEMÓW ZAPASÓW PROF. DR HAB. GRAZYNA KARMOWSKA
LITERATURA • • Badania operacyjne w przykładach i zadaniach, pr. zb. pod red. K. Kukuły, PWN 1999 Krawczyk S. , Metody ilościowe w planowaniu działalności przedsiębiorstwa, C. H. BECK, Warszawa 2001. Sadowski W. , Teoria podejmowania decyzji, PWE 1969 Wybrane metody badań operacyjnych w zarządzaniu. Problemy i zadania. , pr. zb. pod red. D. Kopańskiej. Bródki, AE Katowice 2006
Metody probabilistyczne • Model probabilistyczny – przynajmniej jeden z parametrów modelu jest zmienną losową o znanym rozkładzie. • Poszczególnym wartościom zmiennych decyzyjnych nie jest przyporządkowana jedna wartość funkcji odgrywającej rolę kryterium, lecz jednej i tej samej wartości zmiennej decyzyjnej przyporządkowanych jest na ogół wiele wartości funkcji-kryterium, funkcji-kryterium występujących z różnymi prawdopodobieństwami. • Przy wyborze optymalnej wartości zmiennej decyzyjnej kierujemy się spodziewaną
Przykład 1. • Określ optymalną wielkość zapasu dobra wiedząc, że zapotrzebowanie na nie może Zapotrzebowani wynosić: Prawdopodobieństwo e 2 3 4 0, 1 0, 6 0, 3 • Zapas większy niż zapotrzebowanie to strata 10 zł na jednostce. • Zapas zbyt mały – to dodatkowy koszt uzupełnienia – 5 zł
Przykład 1. • Funkcja kosztów Zapotrzebowanie 2 3 4 2 0 5 10 3 10 0 5 4 20 10 0 Zapas
Przykład 1. Spodziewany koszt dla zapasu równego: • 2. 0*0, 1+5*0, 6+10*0, 3=6 • 3. 10*0, 1+0*0, 6+5*0, 3=2, 5 • 4. 20*0, 1+10*0, 6+0*0, 3=8 Optymalna wielkość zapasu to 3 jedn.
Elementarne modele zapasów • Należy ustalić taką wielkość zapasu (lub rozmiaru produkcji) , aby łączna suma kosztów i strat związanych z zaspokojeniem przyszłego zapotrzebowania była możliwie najmniejsza.
Rozróżniamy dwa przypadki: 1. zapas jest większy od zapotrzebowania. • Koszty sprzedanej produkcji oraz straty związane z nadwyżką
2. zapas jest mniejszy od faktycznego zapotrzebowania. Koszty sprzedanej produkcji oraz koszt produkcji dodatkowej
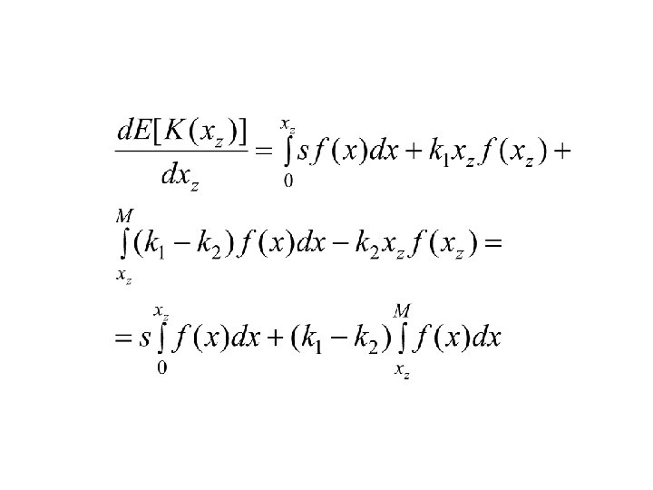
Spodziewane koszty związane z wielkością zapasów M – największa możliwa wartość zapotrzebowania
Szukamy minimum funkcji
Warunek konieczny
Należy ustalić taką wielkość produkcji (lub zapasu), aby prawdopodobieństwo sprzedania jednostek lub mniej było równe
Przykład 2. Wyznacz wielkość zapasu wiedząc, że F(x) jest dystrybuantą rozkładu normalnego N(2000, 10) Po standaryzacji
Z tablic dystrybuanty Wielkość zapasu powinna wynosić 1991, 58
• Zapas większy lub równy zapotrzebowaniu • Zapas mniejszy niż faktyczne zapotrzebowanie Spodziewana strata:
- Slides: 17