ANALISIS REGRESI DAN KORELASI LINIER 1 PENGERTIAN ANALISIS









































- Slides: 41
ANALISIS REGRESI DAN KORELASI LINIER 1
PENGERTIAN ANALISIS KORELASI Analisis Korelasi Suatu teknik statistika yang digunakan untuk mengukur keeratan hubungan atau korelasi antara dua variabel. 2
HUBUNGAN POSITIF DAN NEGATIF Gambar pertama menunjukkan hubungan antara variabel inflasi dan suku bunga. Apabila dilihat pada gambar saat inflasi rendah, maka suku bunga tinggi dan pada saat inflasi tinggi, suku bunga rendah. Gambar tersebut menunjukkan adanya hubungan antara inflasi dan suku bunga yang bersifat negatif. Gambar kedua memperlihatkan hubungan yang positif antara variabel produksi dan harga minyak goreng, yaitu apabila harga meningkat, maka produksi juga meningkat. 3
RUMUS KOEFISIEN KORELASI Rumus koefisien korelasi tersebut dinyatakan sebagai berikut: Di mana: r åX åY åXY (åX 2) (åX)2 (åY 2) (åY)2 n : Nilai koefisien korelasi : Jumlah pengamatan variabel X : Jumlah pengamatan variabel Y : Jumlah hasil perkalian variabel X dan Y : Jumlah kuadrat dari pengamatan variabel X : Jumlah kuadrat dari jumlah pengamatan variabel X : Jumlah kuadrat dari pengamatan variabel Y : Jumlah kuadrat dari jumlah pengamatan variabel Y : Jumlah pasangan pengamatan Y dan X 4
HUBUNGAN KUAT DAN LEMAHNYA SUATU KORELASI 5
CONTOH: JUMLAH NILAI INVESTASI DIPENGARUHI OLEH BUNGA KREDIT INVESTASI 6
CONTOH: PERMINTAAN DIPENGARUHI HARGA DAN PENDAPATAN Rumus koefisien korelasi 7
PENGERTIAN KOEFISIEN DETERMINASI Koefisien Determinasi Bagian dari keragaman total variabel terikat Y (variabel yang dipengaruhi atau dependen) yang dapat diterangkan atau diperhitungkan oleh keragaman variabel bebas X (variabel yang memengaruhi atau independen). Koefisien determinasi = r 2 8
OUTLINE Bagian III Statistik Induktif Metode dan Distribusi Sampling Pengertian Korelasi Sederhana Teori Pendugaan Statistik Uji Signifikansi Koefisien Korelasi Pengujian Hipotesis Sampel Besar Pengujian Hipotesis Sampel Kecil Analisis Regresi dan Korelasi Linier Analisis Regresi dan Korelasi Berganda Fungsi, Variabel, dan Masalah dalam Analisis Regresi: Metode Kuadrat Terkecil Kesalahan Baku Pendugaan Asumsi-Asumsi Metode Kuadrat Terkecil Perkiraan Interval dan Pengujian Hipotesis Hubungan Koefisien Korelasi, Koefisien Determinasi, dan Kesalahan Baku Pendugaan 9
RUMUS UJI t UNTUK UJI KORELASI atau Di mana: t : Nilai t-hitung r : Nilai koefisien korelasi n : Jumlah data pengamatan 10
CONTOH UJI t UNTUK UJI KORELASI SOAL A Ujilah apakah (a) nilai r = ‒ 0, 892 pada hubungan antara suku bunga dan investasi PMDN dan (b) r = 0, 894 pada hubungan antara harga minyak CPO dan produksi minyak mentah kelapa sawit (CPO) sama dengan nol pada taraf nyata 5%? 1. Perumusan hipotesis: Hipotesis yang diuji adalah koefisien korelasi sama dengan nol. Korelasi dalam populasi dilambangkan dengan ρ sedang pada sampel r. 2. Taraf nyata 5% untuk uji dua arah (a/2=0, 05/2=0, 025) dengan derajat bebas (df) = n ‒k = 11 ‒ 2 = 9. Nilai taraf nyata a/2= 0, 025 dan df =9 adalah = 2, 262. Ingat bahwa n adalah jumlah data pengamatan, yaitu = 11, sedangkan k adalah jumlah variabel, yaitu Y dan X, jadi k= 2. 3. Menentukan nilai uji t 11
CONTOH UJI t UNTUK UJI KORELASI 4. Menentukan daerah keputusan dengan nilai kritis 2, 262 5. Menentukan keputusan. Nilai t-hitung ternyata terletak pada daerah menolak H 0. Ini menunjukkan bahwa tidak terdapat cukup bukti untuk menolak H 0, dan menerima H 1 sehingga dapat disimpulkan bahwa korelasi dalam populasi tidak sama dengan nol, dan hubungan antara tingkat suku bunga investasi dengan nilai investasi bersifat kuat dan nyata. 12
OUTLINE Bagian III Statistik Induktif Metode dan Distribusi Sampling Pengertian Korelasi Sederhana Teori Pendugaan Statistik Uji Signifikansi Koefisien Korelasi Pengujian Hipotesis Sampel Besar Analisis Regresi: Metode Kuadrat Terkecil Pengujian Hipotesis Sampel Kecil Kesalahan Baku Pendugaan Analisis Regresi dan Korelasi Linier Analisis Regresi dan Korelasi Berganda Fungsi, Variabel, dan Masalah dalam Analisis Regresi Asumsi-Asumsi Metode Kuadrat Terkecil Perkiraan Interval dan Pengujian Hipotesis Hubungan Koefisien Korelasi, Koefisien Determinasi, dan Kesalahan Baku Pendugaan 13
DEFINISI PERSAMAAN REGRESI Persamaan Regresi Suatu persamaan matematika yang mendefinisikan hubungan antara dua variabel. 14
Analisis Regresi dan Korelasi Linier 15 SCATTER DIAGRAM UNTUK MEMBANTU MENARIK GARIS REGRESI Scatter diagram untuk hubungan antara volume ekspor dan nilai kurs USD dapat digambarkan sebagai berikut: 15
Analisis Regresi dan Korelasi Linier 15 CONTOH HUBUNGAN ANTARA PRODUKSI DENGAN HARGA MINYAK KELAPA SAWIT 16
Analisis Regresi dan Korelasi Linier 15 CONTOH HUBUNGAN ANTARA PRODUKSI DENGAN HARGA MINYAK KELAPA SAWIT 17
ANALISIS REGRESI DAN KORELASI BERGANDA
PERSAMAAN UMUM Rumus umum persamaan regresi sederhana: Ŷ = a + b. X Rumus persamaan regresi dua variabel independen: Y = a + b 1 X 1 + b 2 X 2 Rumus persamaan regresi tiga variabel independen: Y = a + b 1 X 1 + b 2 X 2 + b 3 X 3 Rumus persamaan regresi k variabel independen: Y = a + b 1 X 1 + b 2 X 2 + b 3 X 3 +. . . + bk Xk
CONTOH PENERAPAN REGRESI BERGANDA Pengaruh harga dan pendapatan terhadap permintaan minyak goreng. Responden Permintaan minyak (liter/bulan) Harga minyak (Rp ribu/liter) Jumlah pendapatan (Rp juta/bulan) Gita 3 8 10 Anna 4 7 10 Ida 5 7 8 Janti 6 7 5 Dewi 6 6 4 Henny 7 6 3 Ina 8 6 2 Farida 9 6 2 Ludi 10 5 1 Natalia 10 5 1
CONTOH PENERAPAN REGRESI BERGANDA Pengaruh harga dan pendapatan terhadap permintaan minyak goreng. ∑Y ∑X 1 ∑Y 2 ∑X 1 Y ∑X 2 Y ∑X 12 ∑X 22 ∑X 1 X 2 3 8 10 24 30 64 100 80 4 7 10 28 40 49 100 70 5 7 8 35 40 49 64 56 6 7 5 42 30 49 25 35 6 6 4 36 24 36 16 24 7 6 3 42 21 36 9 18 8 6 2 48 16 36 4 12 9 6 2 54 18 36 4 12 10 5 1 50 10 25 1 5 68 63 46 409 239 405 324 317
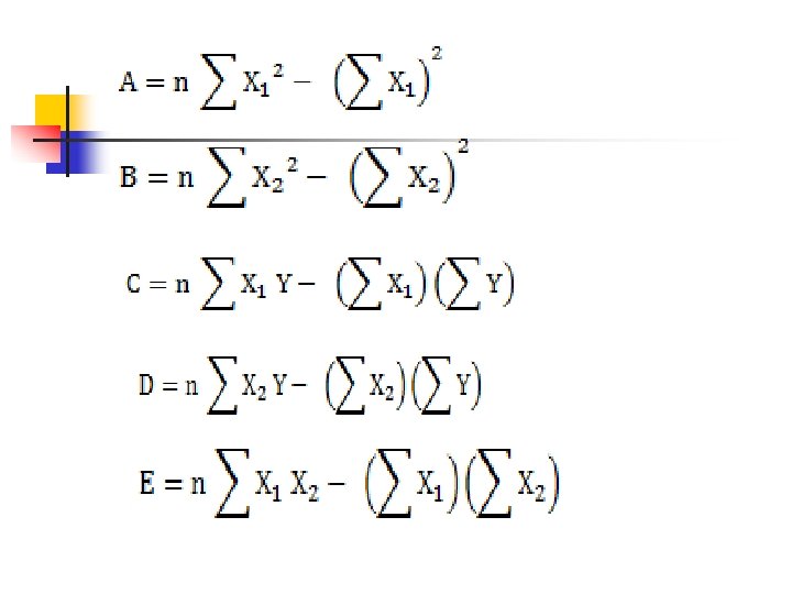
RUMUS
Analisis Regresi dan Korelasi Linier 16 CONTOH: PENERAPAN REGRESI BERGANDA Pengaruh harga dan pendapatan terhadap permintaan minyak goreng maka persamaan regresinya dapat dinyatakan sebagai berikut: Y = 15, 086 – 1, 015 X 1 – 0, 41 X 2 24
Analisis Regresi dan Korelasi Linier 16 OUTLINE Bagian III Statistik Induktif Metode dan Distribusi Sampling Pengertian Korelasi Berganda dan Kegunaannya Teori Pendugaan Statistik Analisis Regresi Berganda: Pendugaan Koefisien Regresi Pengujian Hipotesis Sampel Besar Koefisien Determinasi, Korelasi Berganda, dan Korelasi Parsial Pengujian Hipotesis Sampel Kecil Kesalahan Baku dalam Regresi Berganda Analisis Regresi dan Korelasi Linier Pengujian Hipotesis pada Regresi Berganda Analisis Regresi dan Korelasi Berganda Asumsi dan Pelanggaran Asumsi dalam Regresi Berganda Fungsi, Variabel, dan Masalah dalam Analisis Regresi Berganda dalam Ekonomi dan Keuangan 25
Analisis Regresi dan Korelasi Linier 16 KOEFISIEN DETERMINASI Koefisien Determinasi menunjukkan suatu proporsi dari varian yang dapat diterangkan oleh persamaan regresi (regression of sum squares—RSS) terhadap varian total (total sum of squares— TSS). Besarnya koefisien determinasi dirumuskan sebagai berikut: 26
Analisis Regresi dan Korelasi Linier 16 RUMUS KOEFISIEN KORELASI SEDERHANA 27
Analisis Regresi dan Korelasi Linier 16 RUMUS KOEFISIEN KORELASI PARSIAL Koefisien korelasi parsial diturunkan dari koefisien korelasi sederhana 28
Analisis Regresi dan Korelasi Linier 16 OUTLINE Bagian III Statistik Induktif Metode dan Distribusi Sampling Pengertian Korelasi Berganda dan Kegunaannya Teori Pendugaan Statistik Analisis Regresi Berganda: Pendugaan Koefisien Regresi Pengujian Hipotesis Sampel Besar Koefisien Determinasi, Korelasi Berganda, dan Korelasi Parsial Pengujian Hipotesis Sampel Kecil Kesalahan Baku dalam Regresi Berganda Analisis Regresi dan Korelasi Linier Pengujian Hipotesis pada Regresi Berganda Analisis Regresi dan Korelasi Berganda Asumsi dan Pelanggaran Asumsi dalam Regresi Berganda Fungsi, Variabel, dan Masalah dalam Analisis Regresi Berganda dalam Ekonomi dan Keuangan 29
Analisis Regresi dan Korelasi Linier 16 UJI GLOBAL ATAU UJI SIGNIFIKANSI SERENTAK (UJI F) Hipotesis yang ingin diuji adalah kemampuan variabel bebas menjelaskan tingkah laku variabel terikat, apabila variabel bebas tidak dapat memengaruhi variabel terikat dapat dianggap nilai koefisien regresinya sama dengan nol, sehingga berapa pun 1. Menyusun Hipotesis nilai variabel bebas tidak akan berpengaruh terhadap variabel terikat. Persamaan pada contoh satu, yaitu Y = 15, 086 – 1, 015 X 1 – 0, 41 X 2, variabel bebas X 1, dan X 2 dikatakan mampu memengaruhi Y apabila nilai koefisien b 1 dan b 2 tidak sama dengan nol, apabila sama dengan nol, maka dikatakan tidak mampu memengaruhi variabel bebas Y. 30
Analisis Regresi dan Korelasi Linier 16 UJI GLOBAL ATAU UJI SIGNIFIKANSI SERENTAK (UJI F) Untuk uji ini digunakan tabel F. untuk mencari nilai F-tabel perlu diketahui derajat bebas pembilang pada kolom, derajat bebas penyebut pada baris, dan 2. Menentukan daerah keputusan taraf nyata. Diketahui ada tiga variabel , yaitu Y, X 1, dan X 2, jadi k=3, sedangkan jumlah n=10. Jadi derajat pembilang k ‒ 1=3 ‒ 1 = 2, sedangkan derajat penyebut n ‒ k= 10 ‒ 3 = 7 dengan taraf nyata 5%. Nilai F-tabel dengan derajat pembilang 2, penyebut 7 dan taraf nyata 5% adalah 4, 74 Derajat bebas pembilang Derajat bebas penyebut 1 2 3 4 5 … 120 1 161 200 216 225 230 … 253 254 2 18, 5 19, 0 19, 2 19, 3 … 19, 5 3 10, 1 9, 55 9, 28 9, 12 9, 01 … 8, 55 8, 53 4 7, 71 6, 94 6, 59 6, 39 6, 26 … 5, 66 5, 63 5 6, 61 5, 79 5, 41 5, 19 5, 05 … 4, 40 4, 37 6 5, 99 5, 14 4, 76 4, 53 4, 39 … 3, 70 3, 67 7 5, 59 4, 74 4, 35 4, 12 3, 97 … 3, 27 3, 23 … … … … … 3, 84 3, 00 2, 60 2, 37 2, 21 … 1, 22 1, 00 31
Analisis Regresi dan Korelasi Linier 16 UJI SIMULTAN ATAU UJI SIGNIFIKANSI SERENTAK (UJI F) Nilai F-hitung ditentukan dengan rumus sebagai berikut: 3. Menentukan nilai F-hitung Dari soal diketahui bahwa R 2 = 0, 933 dan n = 10, sehingga nilai F-hitung adalah: 32
Analisis Regresi dan Korelasi Linier 16 UJI GLOBAL ATAU UJI SIGNIFIKANSI SERENTAK (UJI F) Terima H 1 4. Menentukan F-Hitung= 48, 74 daerah keputusan Terima Ho F-Tabel=4, 74 Skala F 33
Analisis Regresi dan Korelasi Linier 16 UJI GLOBAL ATAU UJI SIGNIFIKANSI SERENTAK (UJI F) Nilai F-hitung > dari F-tabel dan berada di daerah terima H 1. Ini menunjukkan bahwa terdapat cukup bukti untuk menolak Ho dan 5. Memutuskan Hipotesis menerima H 1. Kesimpulan dari diterimanya H 1 adalah nilai koefisien regresi tidak sama dengan nol, dengan demikian variabel bebas dapat menerangkan variabel terikat, atau dengan kata lain variabel bebas yaitu X 1 dan X 2 pengaruhnya secara bersama-sama nyata terhadap variabel terikatnya, yaitu Y. 34
Analisis Regresi dan Korelasi Linier 16 OUTLINE Bagian III Statistik Induktif Metode dan Distribusi Sampling Pengertian Korelasi Berganda dan Kegunaannya Teori Pendugaan Statistik Analisis Regresi Berganda: Pendugaan Koefisien Regresi Pengujian Hipotesis Sampel Besar Koefisien Determinasi, Korelasi Berganda, dan Korelasi Parsial Pengujian Hipotesis Sampel Kecil Kesalahan Baku dalam Regresi Berganda Analisis Regresi dan Korelasi Linier Pengujian Hipotesis pada Regresi Berganda Analisis Regresi dan Korelasi Berganda Asumsi dan Pelanggaran Asumsi dalam Regresi Berganda Fungsi, Variabel, dan Masalah dalam Analisis Regresi Berganda dalam Ekonomi dan Keuangan 35
Analisis Regresi dan Korelasi Linier 16 CONTOH KASUS: KEUNTUNGAN DIPENGARUHI ASET DAN HARGA SAHAM PERBANKAN Bersambung ke hlm selanjutnya 36
Analisis Regresi dan Korelasi Linier 16 CONTOH KASUS: KEUNTUNGAN DIPENGARUHI ASET DAN HARGA SAHAM PERBANKAN Y = a + b 1 X 1 + b 2 X 2 Di mana Y : Keuntungan perusahaan (miliar/tahun) X 1 : Total aset (miliar/tahun) X 2 : Harga saham (rupiah/lembar) 37
Analisis Regresi dan Korelasi Linier 16 CONTOH KASUS: KEUNTUNGAN DIPENGARUHI ASET DAN HARGA SAHAM PERBANKAN Hasil perhitungan dengan menggunakan komputer (Ms Excel atau SPSS) 38
Analisis Regresi dan Korelasi Linier 16 CONTOH KASUS: KEUNTUNGAN DIPENGARUHI ASET DAN HARGA SAHAM PERBANKAN 39
CONTOH KASUS: KEUNTUNGAN DIPENGARUHI ASET DAN HARGA SAHAM PERBANKAN Persamaan Y = ‒ 728, 140 + 0, 017 X 1 + 0, 4 X 2 menyatakan bahwa aset (X 1) dan (Y) berhubungan positif. Hal ini berarti jika aset (X 1) meningkat 1 miliar rupiah, maka keuntungan (Y) meningkat 0, 017 miliar rupiah, dan sebaliknya. Variabel harga saham (X 2) dan keuntungan (Y) berhubungan positif juga. Sehingga apabila harga saham (X 2) naik 1 rupiah, maka keuntungan perusahaan meningkat 0, 4 miliar. Angka -728, 140 merupakan konstanta yanng berarti apabila semua variabel bebas sama dengan nol maka variabel terikatnya = -728, 140 Nilai R 2= 0, 946 ini menunjukkan kemampuan variabel aset dan harga saham menjelaskan perilaku keuntungan perusahaan sebesar 94, 6% dan sisanya atau residu sebesar 6, 4% dijelaskan oleh variabel lain yang tidak dimasukkan diteliti dalam persamaan tersebut. Ini menunjukkan spesifikasi model yang sangat baik, karena kemampuan menjelaskannya relatif besar yaitu sebesar 94, 6% 40
TERIMA KASIH 41