ANALGETIK NARKOTIK AGONIS DAN ANTAGONIS ANALGETIK Dr Pudjono

























































- Slides: 57
ANALGETIK NARKOTIK, AGONIS DAN ANTAGONIS ANALGETIK Dr. Pudjono, SU, Apt. Oktober 2013
Analgetika adalah senyawa yang dapat menekan fungsi saraf pusat secara selektif dengan meningkatkan nilai ambang persepsi rasa sakit. Analgetika digunakan untuk mengurangi rasa sakit tanpa mempengaruhi kesadaran.
Struktur senyawa analgetik
Analgetika narkotik dapat menekan fungsi sistem saraf pusat secara selektif sehingga berguna untuk mengurangi rasa sakit karena: penyakit kanker; serangan jantung akut; sesudah operasi; kolik usus/ginjal. Efek samping : euforia; ketergantungan fisik dan mental, konstipasi, kontraksi pupil, nausea dan toleransi. Penghentian pemberian obat secara tiba-tiba menyebabkan sindrom abstinence atau gejala withdrawal. Kelebihan dosis dpt menyebabkan kematian karena terjadi depresi pernafasan.
Analgetika mempunyai karakteristik sebagai berikut : a. Mempunyai suatu atom pusat (C atau N) yang tidak mengikat atom H. b. Pada atom pusat ini langsung mengikat cincin aromatik c. Suatu basa yang terikat pada atom pusat dengan perantaraan 2 atom C.
RESEPTOR OPIAT Dua penta-peptida yang menyebabkan aktivitas senyawa opioid, yakni: Tyr-Gly-Phe-Met-OH ( Met-enkephalin) dan Tyr-Gly-Phe-Leu-OH ( Leu-enkephalin).
Umumnya , aksi opioid pada reseptor mu-, delta-, dan kappa- pada neuron CNS menghasilkan: Analgesia melaluipembebasan transmiter neural yang diturunkan. Kenaikan nilai ambang sakit sehingga menurunkan kesadaran otak dari sakit. Recepto Location r type Effects μ Brain, spinal cord Analgesia, respiratory depression, euphoria, addiction, ALL pain messages blocked κ Brain, spinal cord Analgesia, sedation, all non-thermal pain messages blocked δ Brain Analgesia, antidepression, dependence
reseptor opioid delta sebagai reseptor OP 1, reseptor opioid kappa sebagai reseptor OP 2 dan reseptor opioid mu sebagai reseptor OP 3.
Sampai sekarang morfin merupakan analgetika yang paling kuat. Morfin diperoleh dari opium yang berasal dari getah kering tan. Papaver somniferum. Opium mengandung kurang lebih 30 alkaloida, antara lain : morfin, kodein, noskapin, papaverin, tebain dan narsein. Narsein tak begitu penting dalam pengobatan.
Opium Poppy-Papaver somniferum
2 tipe yang penting dari opium yaitu tipe : a. fenantren (morfin) yang mempunyai aksi pada susunan saraf pusat b. benzil isokinolin (papaverin) yang mempunyai aksi sebagai antispasmodik otot polos.
TIPE / KERANGKA ALKALOID % ISI OPIUM Morfinan/Fenantren Morfin Kodein Tebain 2 -23 % 0, 3 – 1, 0 % Papaverin Noskapin (=Narkotin) 0, 8 – 1, 5 % Narsein 0, 1 – 0, 2 % Benzilisokinolin 2 – 12 %
Mekanisme kerja : Efek analgetika karena adanya pengikatan obat dengan sisi reseptor khas pada sel dalam otak dan spinal cord. Rangsangan ini juga menimbulkan efek euphoria dan perasaan mengantuk.
Menurut Beckett dan Casy, reseptor turunan morfin mempunyai 3 sisi untuk menimbulkan aktivitas analgetika, yaitu : a. Struktur bidang datar yang mengikat cincin aromatik obat melalui ikatan van der Waals. b. Tempat anionik yang mampu berinteraksi dengan pusat muatan positif obat c. Lubang dengan orientasi yang sesuai untuk menampung bagian –CH 2 dari proyeksi cincin piperidin yang terletak di depan bidang yang mengandung cincin aromatik dan pusat dasar.
Hubungan antara struktur dan aktivitas turunan morfin: a. Eterifikasi dan esterifikasi gugus hidroksi fenol akan menurunkan aktivitas analgetik meningkatkan aktivitas anti batuk dan meningkatkan efek kejang b. Eterifikasi, esterifikasi, oksidasi atau penggantian gugus hidroksil alcohol dengan halogen atau hidrogen dapat meningkatkan aktivitas analgetik, meningkatkan efek stimulan, tetapi juga meningkatkan toksisitasnya. c. Pengubahan gugus hidroksil alkohol dari posisi 6 ke posisi 8 menurunkan aktivitas analgetik secara drastis. d. Pengubahan konfigurasi hidroksi pada C 6 dapat meningkatkan aktivitas analgetik.
e. Hidrogenasi ikatan rangkap C 7 -C 8 dapat menghasilkan efek yang sama atau lebih tinggi dibanding morfin. f. Substitusi pada cincin aromatik akan mengurangi aktivitas analgetik. g. Pemecahan jembatan eter antara C 4 dan C 5 akan menurunkan aktivitas. h. Pembukaan cincin piperidin menyebabkan penurunan aktivitas. i. Demetilisasi pada C 17 dan perpanjangan rantai alifatik yang terikat pada atom N dapat menurunkan aktivitas. Adanya gugus alil pada atom N menyebabkan senyawa bersifat antagonis kompetitif.
Tabel : Hubungan struktur dan aktivitas turunan morfin. Gugus Modifikasi Nama obat Akt. analgetik Morfin 100 Hidroksi Fenol -OH -OCH 3 Kodein 15 (+ antibatuk) -OCH 2 CH 3 Etilmorfin 10 (Dionin) (+kemosis) Hidroksi Alkohol -OH -OCH 3 Heterokodein 500 - OC 2 H 5 240 -OCOCH 3 Asetilmorfin 420 = O Morfinon 37
Alisiklik tidak jenuh -CH = CH-CH 2 - Dihidromorfin 120 Jembatan eter = C – O – CH=C-OH H 2 C- 13 N-tersier N-CH 3 N-H Normorfin 5 N-R antagonis morfin (R= allil, propil, iso butil) N+(CH 3)3 1 (+efek kurare kuat) N-CH 2 - C 6 H 5 1400 Substitusi pada cincin -NH 2 (pada posisi 2) aktivitas turun aromatik - Cl / Br (pada posisi 1) 50 -CH 3 (pada posisi 6 ) 280
Alkaloid Isoquinolin Morfin diperoleh dari opium 1803 (Morpheus: gresk søvngud) Analog morfin, terikat pada reseptor opiopeptida (endorfin / enkefalin)
Naturally occuring and semisynth analgetic opioides Morphine Codeine also against cough slow metabol. to morphine Small amounts in opium, semisynth from morphine
Model of morphine bound to m-reseptor Total synthetic analgetic opioides SAR - morphine Petidin (Meperidin) Ketodur®, Ketorax® Fenantyl®, Leptanal® (anestetica) Moscow theatre Ketobemidon Ketodur®, Ketorax® Ketogan ®
Dekstropropoksyfen Aporex® Buprenorfin Temgesic®, Subutex® More potent than M. (pain) Partiell m-agonist: Antagonister high doses Naloxon effects (dysfori etc) (+) most active less adict. than M. Metadon m-Agonist analgetc, not euphoria, Long duration Good oral availabil.
Naturally occuring and antitussiva opioides Biosynthetic routes in Papaver somniferum Noskapin (not analgetic, not adiction) Codeine Etylmorfin Cosylan® Hydrokon® Folkodin Tuxi®
1. Morfin Alkaloida ini pertama kali diisolasi oleh Serturner dan Derasne (1803). Merupakan basa dari tanaman yang pertama kali dikenal dan diisolasi. Morfin diperoleh dari buah opium, Papaver somniferum, resin yang diperoleh dengan menusuk polong yang belum masak, atau dari jerami buah opium. Dalam opium kadar morfinnya beragam dari 5 – 20 %. Alkaloida bebas berupa kristal seperti jarum putih, levo rotatori, tidak berbau, mempunyai rasa pahit.
Hampir tidak larut dalam air (1: 5000), eter (1: 6250) atau kloroform (1: 1220). Agak larut dalam alkohol (1: 210). Karena adanya gugus fenolat, mudah larut dalam hidroksida, logam alkali atau alkali tanah. Morfin merupakan analgetik yang poten, terhadap segala penyakit, tetapi mudah menyebabkan addiksi.
Morfin dapat mengendalikan nyeri yang disebabkan luka yang serius, neoplasma, migrain, radang selaput dada, kolik pada ginjal dan empedu, dan berbagai penyebab lain. Sediaan berupa garam HCl atau sulfat. Morfin diikat oleh protein plasma 20 -35 %, dan mempunyai waktu paro eliminasi : 2, 4 - 3, 4 jam. Dosis oral 20 – 25 mg / 4 jam.
WITHDRAWAL SYMPTOMS ASSOCIATED WITH MORPHINE Anorexia Kehilangan berat badan Dilatasi pupil dingin Keluar keringat berlebihan Abdominal cramps Muscle spasms Hyperirritability Lacrimation Tremor Increased heart rate Increased blood pressure
2. Kodein diperoleh dari hasil metilasi gugus OH fenol morfin. Efek analgetik lemah tapi mempunyai efek anti batuk yang kuat. Kecenderungan kecanduan lebih rendah dibanding morfin dan tidak menimbulkan depresi pernafasan. Dalam sediaan sebagai garam HCl, fosfat dan sulfat. Obat terikat oleh protein plasma 7 -25 %. Kadar plasma tertinggi dicapai dalam 0, 5 – 1, 5 jam setelah pemberian oral, dengan waktu paro plasma 2 – 4 jam. Dosis oral analgetik : 30 mg, 4 kali sehari. Dosis oral anti batuk : 5 – 10 mg , 4 kali sehari.
3. Heroin diperoleh dengan cara asetilasi kedua gugus hidroksi dari morfin. Efek analgetik dan euforianya lebih tinggi dibanding morfin. Kecenderungan addiksinya lebih cepat dan efek sampingnya jauh lebih besar dari morfin. Heroin sering disalah gunakan sehingga dikatagorikan sebagai obat terlarang.
Heroin’s effects on the body
4. Apomorfin Hidroklorida Berupa kristal putih, atau putih keabuan, tidak berbau, berkilauan dan peka terhadap cahaya. Dapat dibuat dengan cara memanaskan morfin HCl pada suhu 140 o. C dengan HCl 35% dibawah tekanan. Apomorfin mempunyai efek stimulan yang tinggi sehingga mempunyai aksi sebagai emesis dengan mekanisme sentral murni. Untuk menghasilkan emesis diberikan secara subkutan, secara oral tidak efektif. Apomorfin merupakan emetik yang cepat (10 -15 menit) paling efektif dan aman.
Pada penyimpanan dalam larutan asam kuat, morfin akan menjadi apomorfin yang mudah teroksidasi menjadi turunan aril kinon yang berwarna hijau tua (Reaksi Pellagri)
II. Turunan Meperidin Meskipun strukturnya tidak berhubungan dengan morfin tetapi masih menunjukkan kemiripan karena mempunyai pusat atom C-kuartener, rantai etilen, gugus N-tersier dan cincin aromatik sehingga dapat berinteraksi dengan reseptor analgetik. Walaupun kedudukan fenil pada posisi ekuatorial lebih disukai namun daya analgetik meperidin lebih poten bila cincin aromatik pada posisi aksial, karena pada posisi aksial lebih cocok dengan permukaan reseptor. Contoh obat-obat turunan meperidin
R 1 R 2 R 3 R 4 Nama obat Aktivitas analgetik H H COOC 2 H 5 CH 3 Meperidin 1 H COOCH(CH 3)2 CH 3 Pro peridin 15 H 3 -CH 3 OCOC 2 H 5 CH 3 Alfaprodin 5 H 3, 6 -di. CH 3 OCOC 2 H 5 CH 3 Trimeperidin 7, 5 H COOC 2 H 5 CH 2 -C 6 H 5 Feneridin 2, 5 H COOC 2 H 5 CH 2 -C 6 H 4 -NH 2 Anileridin 3, 5 H COOC 2 H 5 CH 2 CN-C(C 6 H 5)2 Defenoksilat konstipan CON(CH 3)2 P-Cl H COOC 2 H 5 CH 2 C (C 6 H 5)2 Loperamida konstipan C 2 H 5 – C=O H -N-C 6 H 5 CH 2 -C 6 H 5 Fentanil konstipan
Turunan Meperidin
1. Meperidin HCl = Pethidine HCl = Dolantin Aktivitas analgetiknya diantara morfin dan kodein. Meperidin digunakan untuk mengurangi rasa sakit pada kasus obsetri dan untuk premedikasi pada anestesi. Sering digunakan sebagai obat pengganti morfin untuk pengobatan penderita kecanduan turunan morfin karena mempunyai efek analgetik seperti morfin tetapi kecenderungan ketagihannya rendah.
Mempunyai efek spasmolitik, karena penekanan langsung menyerupai papaverin pada otot polos. Pemakaian lain adalah mengurangi nyeri keguguran yang berat, dan dengan barbiturat atau obat penenang lain menghasilkan amnesia/kelupaan pada keguguran. Absorpsi obat dalam saluran cerna cukup baik, obat diikat oleh protein plasma sekitar 40 – 50%. Kadar plasma tertinggi obat dicapai dalam 1 – 2 jam, dengan waktu paro plasma sekitar 5 jam. Dosis oral, IM dan SC : 50 – 100 mg, dapat diulang setiap 3 – 4 jam.
2. Difenoksilat (Lomotil) Strukturnya berhubungan erat dengan meperidin, tetapi efek analgetiknya lemah karena adanya gugus yang besar pada atom nitrogen. Mempunyai efek penghambatan pergerakan saluran cerna sehingga digunakan sebagai konstipan pada diare. Pada dosis normal obat tidak menimbulkan adiksi. Digunakan untuk pengobatan diarrhae dengan pelbagai sebab. Dosis lazim dewasa untuk permulaan 5 mg, 3 – 4 x sehari, dengan dosis perawatan sangat rendah dan ditentukan secara individu. Obat ini mempertinggi toksisitas barbiturat.
3. Loperamid HCl (Imodium) Strukturnya mirip dengan difenoksilat, tetapi efeknya lebih spesifik, lebih kuat dan lebih lama. Loperamid mempunyai efek langsung pada otot longitudinal dan sirkular usus dan menyebabkan konstipasi, sehingga dapat digunakan sebagai konstipan pada kasus diare akut dan kronik. Efek lebih kuat dibandingkan lomotil. Dosis awal dewasa 4 mg, diikuti dengan dosis pemeliharaan 2 mg, sampai diare berhenti.
4. Fentanil Merupakan analgetik narkotik yang sangat kuat, yang digunakan sebagai premedikasi pada anestesi sistemik sebelum operasi. Aktivitasnya 100 x morfin, dengan masa kerja yang pendek (0, 5 jam). Umumnya pemakaiannya dikombinasi dengan droperidol. Dosis IM atau IV : 100 mcg, untuk premedikasi dikombinasi dengan droperidol ( 2, 5 – 5 mg), dosis IV 50 – 100 mcg.
Turunan Metadon: *
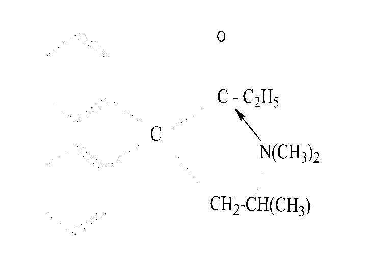
Struktur dan Aktivitas Turunan Metadon
Pada tahun 1945 Ehrhart, Bockmuhl dan Schaumann telah mensintesis analgetika metadon dan mengujinya secara farmakologik. Kerja analgetik ini ditemukan secara kebetulan. Metadon bersifat optis-aktif dan biasanya digunakan dalam bentuk garam HCl. Meskipun tidak mempunyai cincin piperidin, tetapi turunan metadon dapat membentuk cincin bila dalam larutan atau cairan tubuh karena ada daya tarik menarik antara basa N dengan gugus karbonil
Contoh obat : 1. Metadon Efek analgetika, 2 x morfin, 10 x meperidin tapi toksisitasnya 3 – 10 kali morfin. Turunan metadon digunakan sebagai obat pengganti morfin untuk pengobatan kecanduan turunan morfin, karena dapat menimbulkan efek analgetik seperti morfin, tetapi efek addiksinya lebih rendah.
2. Propoksifen Dalam sediaan biasanya dalam bentuk garam HCl atau nafsilat. Yang aktif sebagai analgetik adalah bentuk isomer (+). Bentuk isomer (-) dan diastereoisomer mempunyai aktivitas analgetik rendah. Propoksifen praktis tidak menunjukkan bahaya Addiksi dan dibanyak negara termasuk senyawa analgetika yang paling banyak digunakan.
2. Butorfanol Tartrat ( Stadol NS) Merupakan turunan morfinan dengan efek analgetik kuat. Digunakan dalam bentuk semprot untuk mengatasi nyeri yang sedang dan kuat. Sediaan semprot hidung : 10 mg / m. L Dosis : 1 mg
1. Tramadol ( Tramal , Seminac ) Merupakan analgetik kuat dengan aktivitas 0, 1 – 0, 2 kali dari morfin. Meskipun efeknya melalui reseptor opiat, tetapi efek depresi pernafasan dan kemungkinan resiko addiksi relatif kecil. Senyawa ini diabsorbsi dalam saluran cerna 90 % dengan masa kerja 4 – 6 jam. Dosis : 50 mg , 1 kali sehari