AMNOAST METABOLZMASI UZM DR OKHAN AKIN Protein Dngs
AMİNOASİT METABOLİZMASI UZM. DR. OKHAN AKIN
Protein Döngüsü • Sağlıklı kişilerde yapım, yıkım hızı birbirine eşittir. Turnover hızı proteinin cinsine göre değişir. Sindirim enzimleri ve plazma proteinleri gibi hücre dışı alanda görev yapan proteinler çabuk yıkılırken (t ½ = saat, gün), kollajen gibi yapısal proteinler dayanıklıdır (t ½ = ay, yıl). • Kimyasal yapısı okside olmuş olan veya ubikitin (ısıya dirençli küçük protein) ile birleşmiş olan bazı proteinler daha önce ykılırlar. Ubikitin yıkılacak proteinleri işaretlemekte kullanılamktadır. Ayrıca prolin, glutamat, serin, treonin dizesi (PETS dizesi) bakımından zengin proteinler daha çabuk yıkılırlar.
Besinsel proteinlerin biolojik değeri: • Diyetsel proteinin biyolojik değerinin olabilmesi için, tüm esansiyel aminoasitleri içermesi gerekir. Herhangi bir aminoasit olmadığında protein sentezi sona erer. • Genelde hayvansal proteinler yüksek biyolojik değere sahiptir. Bunun en belirgin istisnası esansiyel aminoasit olan triptofanı içermeyen jelatindir. Jelatinin biyolojik değeri yoktur. Bitkisel proteinlerde düşük biyolojik değere sahiptir.
Serbest aa’ler Polipeptidler Oligopeptidler Pepsin (mide) fenilalanin-tirozin -triptofan (C) Tripsin (lys-arg-C-) Kimotripsin (phe -tyr-trp-C-) Elastaz (nötral aa-C-) Karboksipeptidaz A-B Katepsin (alanin v. b küçük aa’ler) (pankreas) Dipeptidler tripeptidler Dipeptidaz tripeptidaz endopeptidaz aminopeptidaz (enterosit)
• Mideden salınan diğer aspartat proteinazlar katepsin D ve katepsin E’dir. Katepsinler aynı zamanda lizozomlarda da yer alır ve glikoproteinlerin yıkımına katılır. • Rennin bebeklerde sindirimde önemlidir. Rennin Ca+2 varlığında sütün kazeinini parakazeine çevirir ve sonra buna pepsin etki eder.
ENZİMLERİN ETKİLEDİKLERİ PEPTİD BAĞLARI Tripsin Lisin, arjinin ( C ) Kimotripsin Fenilalanin, tirozin, triptofan ( C ) Pepsin Fenilalanin, tirozin, triptofan ( N ) Elastaz Nötral aminoasidlerin (C) Katepsin D ve E Alanin gibi küçük yan zincirli aminoasidlerin yaptığı peptid bağları Karboksipeptidaz Karboksilik uçtan peptid bağını yıkar A ve B Aminopeptidaz Prolidaz Dipeptidaz, tripeptidaz ve Amino ucundan peptid bağını yıkar Proline bağlı terminal peptid bağını koparır. Entrosit kökenlidir, ekzopeptidazdır
• Pankreas kendini bu proteolitik enzimlerden korumak amacı ile zimojen formda salgılama yapmaktadır. Ayrıca kendini korumak amacı ile ek olarak “pankreatik tripsin inhibitör” denilen bir maddede salgılamaktadır. • Endopeptidazlar: Tripsin, Kimotripsin, Pepsin, Katepsin, Elastaz • Ekzopeptidazlar: Karboksipeptidaz A, B ve aminopeptidaz
• Karboksipeptidaz A-B pankreas kaynaklı, Zn taşıyan enzimlerdir. Peptid zincirinin karboksiterminalinden koparma yapar. • Aminopeptidazlar aminoterminalinden koparma yapar ve enterosit kökenlidir. • Diğer enterosit kökenli ekzopeptidaz prolidazdır. Proline bağlı terminal peptid bağını koparır. • Aminopeptidazlar, dipeptidazlar, tripeptidazlar ve endopeptidazlar entrosit kökenlidir. Bu enzimlerin etsikisiyle serbestleşen aminoasidler ince barsak epitel hücrelerince absorbe edilirler ve viluslardaki kapillerlere geçip karaciğere taşınırlar.
Serin proteazlar: • Peptid bağlarını parçalamakta substrat bağlama bölgelerinde bulunan aktif serin rezidülerini kullanan enzimlere verilen isimdir. • Peptid bağlarını parçalamakta sisteinleri kullananlara (sistein proteaz), aspartatı kullananlara (aspartat proteaz) veya metal iyonlarını kullananlara (meyallo proteaz) denilir. • Serin proteazlar inaktif “zimojen” formunda salınırlar ve serin proteazlarla aktiflenirler.
Bazı serin proteazlar ve görevleri Proteaz Görevi Plazma kallikrein Koagülasyon Faktör XII a Koagülasyon Faktör XI a Koagülasyon Faktör IX a Koagülasyon Faktör VII a Koagülasyon Faktör X a Koagülasyon Faktör IIa (trombin) Koagülasyon Aktive protein C Koagülasyon Faktör C 1 r Kompleman Faktör C 1 s Kompleman Faktör. D Kompleman Faktör B Kompleman C 3 kovartaz Kompleman
Tripsin Sindirim Kimotripsin Sindirim Elastaz Sindirim Enteropeptidaz Sindirim Urokinaz plaminojen aktivatör Fibrinolizis, hücre migrasyanu Doku plazminojen aktivatör Embriyogenezis, menstruasyon Plazmin Doku kallikreinleri Akrosin Hormon aktivasyonu Fertilizasyon Sinir growth faktör Granülosit elastaz Katepsin G Mast hücre triptaz Ekstarsellüler protein ve peptid yıkımı
Serin proteazlar görevlerini yaptıktan sonra çeşitli proteinler tarafından inhibe edilirler. Serin proteaz inhibitörlerine “serpin”ler adı verilir. Serin proteaz inhibitörleri İnhibitör Etki 1 -proteinaz inhibitör Nötrofil elastaz ve doku proteazlarını inhibe eder 1 -antikimotripsin Nötrofil, bazofil ve mast hücrelerine kimotripsin benzeri aktiviteleri olan katepsin G ve kimazı inhibe eder İnter- -tripsin inhibitör Plazmade serin proteazları inhibe eder 2 -antiplazmin Plazmini inhibe eder Antitrombin III Trombini inhibe eder C 1 inhibitör Kompleman reaksiyonlarını inhibe eder 2 -makroglobulin Genel proteaz inhibitörü Proteaz nexin 1 Trombin, ürokinaz ve plazmini inhibe eder Proteaz nexin II Growth faktör ilişkili serin proteazları inhibe eder Plazminojen aktivatör inhibitör I Plazminojen aktivatörü inhibe eder Plazminojen aktivatör inhibitör II Ürokinaz plazminojen aktivatörü inhibe eder
Aminoasidlerin hücre içine taşınması aktif transportla olmaktadır. • 1. 2. 3. 4. 5. 6. 7. Çünkü aminoasidlerin hücre içi konsantrasyonu hücre dışı konsantrasyonundan yüksektir. Bazı kısa di- ve tripeptidler de direkt olarak emilebilmektedir. Farklı aminoasidler için 7 ayrı transport mekanizması bilinmektedir: Nötral aminoasidler (kısa polar yan zincirli): alanin, serin, treonin Nötral aminoasidler (aromatik veya hidrofobik yan zincirli): Fenilalanin, trozin, metionin, val, lösin, izolösin İminoasidler: Prolin, hidroksiprolin -aminoasidler: -alanin, taurin Bazik aminoasidler ve sistin (lizin, arjinin, sistin) Asidik aminoasidler: Aspartik asid, glutamik asid Di- ve tripeptidler
• L-aminoasidlerin transportu konsantrasyon gradiyentine karşı olarak gerçekleştirilen aktif bir prosesdir ve Na’a bağlı kotransport sistemi ile gerçekleştirilir. • Aminoasidlerin transportunun kalıtımsal defektleri gastrointestinal sistem ve renal tübüllerde epitelial hücreleri etkilemektedir. Hartnup hastalığında nötral aminoasidlerin transportu, sistinüride ise ornitin ve sistin aminoasidlerinin transportu etkilenmiştir. • Sistinozis RES, Kİ, böbrek ve gözde lizozomal sistin içeriğinin arttığı intrasellüler transport defektidir.
-GLUTAMİL CYCLE • Aminoasidlerin hücreye girişlerinin açıklanmasında -glutamil cycle kullanılmaktadır. Bu siklusda 6 enzim (1 adet membrana bağlı, 5 adet sitozolik), glutatyon (GSH, -glutamilsisteinglisin) ve her aminoasid için 3 ATP gereklidir. Bu siklusda GSH’ın tüketimi gerçekleşmez. Membrana bağlı olan enzim GGT’dır ve temel olarak bu enzim sayesinde transport gerçekleştirilir.
-glutamil. Aminoasid Aminoasit Aminoasid -glutamil transferaz 5 -oxoprolin Sisteinilglisin Glutamat Sistein GSH ADP -glutamilsistein sentetaz Glisin -glutamilsistein GSH sentetaz ATP -Glutamil siklusu
AMİNOASİD YIKIMI: • Aminoasidlerden azotun uzaklaştırılması: • Amino gruplarının en önemli kaynağı diyetle alınan proteinlerdir. Bir çok aminoasid karaciğerde metabolize edilir. Bu yolla elde edilen amonyağın bir kısmı tekrar bazı biyosentetik reaksiyonlarda kullanılır. Fazla miktarı ise atılmak üzere üreye çevrilir ve böbrekler aracılığı ile direkt olarak atılır. Ekstrahepatik dokularda üretilen amonyakda karaciğere gelerek karaciğerde metabolize edilir. • Azot metabolizmasında glutamat ve glutaminoasidleri merkezi bir rol oynar.
H H 3 N + C R Amino grubu amonyak kaynağıdır COOH Aminoasidin karboniskeleti Veya ketoasid
Aminoasid yıkımında temel problem amino gruplarının uzaklaştırılıp yok edilmesidir. Bu amaçla insanda temel iki sistem kullanılmaktadır: 1. Direkt deaminasyon 2. Transdeaminasyon • Aminoasidlerin amino gruplarını yok edilmesinde vücutta temel kullanılan sistem transdeaminasyondur. Direk deaminasyon yöntemleri çok fazla kullanılan yöntemler değildir.
Direkt deaminasyon sistemleri: • Aminoasid katabolizmasında ilk basamak amino gruplarının yok edilmesidir. Bu olay oksidatif ve nonoksidatif olabilir. • Oksidatif (örnek glisin oksidaz) ve nonoksidatif deaminasyonu (örnek serin, treonin dehidrataz) içeren direk aminsizleştirme reaksiyonları insanda önemsiz olan reaksiyonlardır. Aminoasidlerin amino gruplarının uzaklaştırılmasında esas yol transaminasyondur.
Transdeaminasyon sistemi: • Transdeaminasyon sistemi iki temel reaksiyondan oluşmaktadır: • Transaminasyon • Deaminasyon • Karaciğerde bu sistem sitozolde gerçekleşen transaminasyon ve mitokondride gerçekleşen deaminasyonu içerir.
1. TRANSAMİNASYON: Karaciğere ulaşan L-aminoasidlerin katabolizmasında 1. Basamak aminoasidlerden amino grubunun aminotransferaz veya transaminaz olarak adlandırılan enzimlerle uzaklaştırılmasıdır. Transaminazlar (aminotransferaz) insan organizmasında yaygın olarak dağılmışlardır ve özellikle kalp kası, karaciğer, iskelet kası ve böbrekte aktiftirler. Genel reaksiyon:
Amino asit Aminotransferaz Amino asit Keto asit Piridoksal fosfat Keto asit
Ketoasid Aminoasid H H 3 N + C H COO- C R 1 COO- R 1 AMİNOTRANSFERAZ PP H C R 1 Ketoasid H COO- H 3 N + C R 2 Aminoasid COO-
Aminoasid H H 3 N + C -KETOGLUTARAT COO- H C R 1 COO- R 1 AMİNOTRANSFERAZ PP H C R 1 Ketoasid H COO- H 3 N + GLUTAMAT C R 2 COO-
• -Ketoglutarat / L-glutamat çifti tüm transaminasyon reaksiyonlarında amino grup alıcı / verici çiftini oluşturur. • Bu transaminasyon reaksiyonunda -amino grubu -ketoglutaratın -C atomuna aktarılır ve -ketoasit ve L-glutamat oluşur. Glutamatta biyosentetik reaksiyonlarda amino grubu vericisi olarak rol oynar. • Tüm aminoasidlerin amino grupları bu reaksiyon sayesinde -ketoglutaratta toplanıp glutamat oluşmaktadır. -ketoglutaratın aa metabolizmasındaki tek rolü aa’lerden amino grubu alarak glutamat haline geçmektir.
• Lizin, treonin, prolin ve hidroksiprolin aminoasidleri hariç tüm aminoasidler transaminasyona uğrar. Serin ve treonin aminoasidleri serin dehidrataz ve treonin dehidrataz enzimleri ile direkt olarak deamine edilmektedir.
Hücreler çeşitli aminotransferaz enzimleri içermektedir: • En önemli iki tanesi AST ve ALT’dir. • Tüm aminotransferazlar prostetik grup olarak piridoksal fosfata (PP) bağlıdır. PP aynı zamanda rasemizasyon ve dekarboksilasyon reaksiyonlarında da rol oynar.
ALT: Glutamat pirüvat transaminazda denir (SGPT). Bir çok dokuda yer alır. Alaninin amino grubunu -KG’a aktarır. Sonuçta pirüvat ve glutamat oluşur. Alanin + -ketoglutarat pirüvat + glutamat ALT+PP
AST: Glutamat oksaloasetat transaminazda (SGOT) denir. • Bu enzimin katalizlediği reaksiyon diğer aminotransferazlardan farklı olarak, glutamat oluşum yönünde değil, aspartat oluşum yönünde işler. • AST aminoasid katabolizması sırasında amino gruplarını glutamattan oksaloasetata transfer eder ve oluşan aspartat bir azot kaynağı olarak üre döngüsüne girer. Üre molekülünün 2 tane azotu vardır. Bunlardan biri serbest amonyaktan diğeri aspartattan sağlanmaktadır. Bu nedenle AST reaksiynu aminoasid katabolizmasında daha çok aspartat oluşum yönünde çalışmaktadır.
Aspartat + -ketoglutarat AST+PP Oksaloasetat + glutamat
2. DEAMİNASYON Aminoasidlerin çoğunun -amino grubu ketoglutarat ile transaminasyona girerek glutamatta toplanır. Hepatositte glutamat sitozolden mitokondriye glutamat taşıyıcıları ile taşınır ve mitokondride glutamat dehidrogenaz ile oksidatif deaminasyona uğrar ve -ketoglutarat ve amonyak (amonyum iyonları) oluşur. Aminotransferaz ve glutamat dehidrogenazın etkisi transdeaminasyon olarak adlandırılır. Çok az bir aminoasid transdeaminasyonu atlar ve direkt olarak oksidatif deaminasyona uğrar. Glutamatın deaminasyonu ile oluşan -ketoglutaratda TCA’da glukoz sentezinde kullanılır.
NAD(P)H+H Glutamat -KG + NH 3+ Glutamat dehidrogenaz • • Hem NAD hemde NADP’yi koenzim olarak kullanabilen nadir enzimlerdendir. Allosterik bir enzimdir. Reaksiyonun yönü glutamat, -ketoglutarat ve NH 3 konsantrasyonuna ve okside redükte koenzim oranlarına bağlıdır. Örneğin proteinli diyet sonrası enzim yönü aminoasid yıkımı yönüdür. ATP ve GTP enzimin allosterik inhibitörleri ike GDP ve ADP ise aktivatörleridir. Hücre içi alanda GDP ve ADP yüksek yani enerji düzeyi düşük ise glutamat dehidrogenaz ile aminoasid yıkımı artar ve elde edilen ketoglutarat TCA için substrat olarak kullanılır.
Karaciğer: • Aminoasid katabolizmasında major rol oynayan organdır. Lösin, izolösin ve valin hariç tüm aminoasidlerin katabolizmasına katılır. Ayrıca nonesansiyel aminoasidlerin uygun karbon zincirlerinden de sentezinden sorumludur. • Gastrointestinal sistemde ve diğer dokularda çeşitli deaminasyon reaksiyonları ile oluşan amonyak karaciğerde üreye çevrilip detoksifiye edilir ve idrarla atılır. • Üre siklusu reaksiyonlarıda sadece karaciğer mitokondrilerinde gerçekleşmektedir
İskelet kası: * Vücutta en fazla yer kaplayan dokulardan biridir ve nonhepatik aminoasid katabolizmasının önemli bir kısmını gerçekleştirir. * Kas doku, dolaşımdan aminoasidleri spesifik proteinlerinin sentezi için alır ve alanin, aspartat, glutamat ve dallı zincirli aa’lerin katabolizmasına katılır. Nitrojen oluşturan -aa’lerin %50 sini alanin ve glutamin oluşturur.
Ince barsak • Ince barsak mukoza hücreleri diyet kaynaklı glutamin, glutamat, asparajin ve aspartatı CO 2 ve H 2 O’ya kadar yıkabilir veya laktat, alanin, sitrüllin ve NH 3’e çevirebilir. Bu bileşikler ve metabolize olmayan diyet aminoasidleri daha ileri metabolizma için kan yolu ile KC’e taşınırlar.
Böbrekler: • Serin ve küçük fakat önemli miktarda alanini dolaşıma salarlar ve dolaşımdan glutamin, prolin ve glisini alırlar. Aminoasidler renal glomerülden filtre edililer ve renal tübülüslerde tekrar reabsorbe edilirler. • Glutamin amonyak sağlayarak asit baz dengesinde önemli rol oynar ve böbreklerden NH 4 halinde atılır. Glutamin böbrek tübülüs mitokondrilerinde glutaminaz ve gulatamt dehidrogenaz enzimleri ile iki mol amonyak sağlar. Glutaminin karbon iskeleti de böbreklerin kapasitesi ile orantılı olarak glukoneogenezde kullanılır.
Beyin: Önemli miktarda valin alır ve belki de dallı-zincirli aa’lerin major yıkılım yeridir. Glutamat, aspartat ve glisin nörotransmitterdir. Glutamat GABA’nın, tirozin dopamin, norepinefrin ve epinefrininnin, triptofanda seratoninin öncülleridir. Nörotransmitterlerin yıkımı ile oluşam amonyak, glutamin halinde beyinden uzaklaştırılır.
Valin Lösin İzolösin Aspartat -ketoglutarat GLUTAMAT Dallı zincirli ketoasidler Oksaloasetat Problem -ketoglutarat Glutamat dehidrogenaz NH 3 KAS
NH 3 Glutamat ALANİN -KG PİRÜVAT GLUTAMİN SENTAZ Glutamin KAS GLUKOZ GLUKOJEN 1. Barsaklara gönderilir ve enterositlerde yakıt molekülü olarak kullanılır 2. Böbreklere gönderilir ve böbreklerde glutaminaz ve glutamat dehidrogenaz ile parçalanarak 2 mol serbest amonyak elde edilir ve bu amonyaklar asit baz regülasyonunda kullanılır
Alanin Tirozin Aspartat Sistein Ornitin -ketoglutarat GLUTAMAT Pirüvat -ketoasit Oksaloasetat Pirüvat Glutamat TRANSAMİNASYON KARACİĞER-SİTOPLAZMA
Prolin Triptofan NH 3 Pirüvat NH 3 Histidin NH 3 -ketoasit Oksaloasetat Serin Treonin NH 3 Pirüvat DEAMİNASYON KARACİĞER-SİTOPLAZMA NH 3 Glutamat Metionin NH 3 Glutamat
GLUTAMAT NH 3 GLUTAMAT Glutamat dehidrogenaz NH 3 NAD(P) NH 3 NAD(P)H+H NH 3 KARACİĞER-MİTOKONDRİ NH 3 -KG
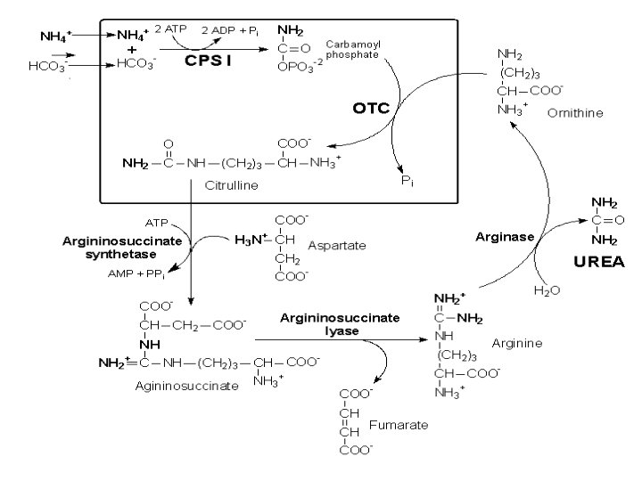
ARJİNİN NH 3 HCO 3 N-ASETİL GLUTAMAT KARBOMOİL FOSFAT SENTAZ-1 2 ATP KARACİĞER-MİTOKONDRİ 2 ADP KARBOMOİL FOSFAT
Karbamoil fosfat sentaz Sentaz II Mitokondride yer alır Sitozolik Üre sentezi hız kısıtlayıcı enzimi Pirimidin sentezi hız kısıtlayıcı enzimi CO 2, ATP’nin fosfatı ve NH 4 kullanır CO 2, ATP’nin fosfatı ve glutaminin amid azotunu kullanır Karbamoil fosfatın karbamoil grubu ornitin transkarbamoilazla ornitine aktarılır Karbamoil fosfatın karbamoil grubu aspartat transkarbamoilazla aspartata aktarılır Karbamoil grubu üreye karbon kaynağı olarak kullanılır Karbamoil grubu primidin halkasının 2. karbonunu yapar NAG allosterik aktivatördür NAG gerektirmez. PRPP ile allosterik olarak aktiflenir
Aspartat ATP Sitrüllin AMP Sitrüllin Arjininosüksinat sentaz Karbomoil fosfat Ornitin transkarbamoliaz Arjininosüksinat liyaz Fumarat Ornitin Arjinin Arjinaz Üre
• Üre, aminoasidlerden elde edilen -amino gruplarının temel atılım şeklidir ve idrarın azot içeren bileşiklerinin %90’nını oluşturur. Üre molekülünün içerdiği azotlardan birisi serbest NH 3’den diğeri aspartattan gelir. Üre karaciğerde oluşur ve böbreklerle atılır.
Üre siklusu kontrolü: • Diyet primer olarak proteinlerden oluştuğu zaman, aminoasidlerin karbon iskeletleri metabolik yakıt olarak kullanılır ve fazla miktardaki amino grubundan yüksek miktarda üre elde edilir. Uzun süreli açlıkta metabolik enerji olarak kas proteinleri kullanılmaya başlayınca da üre sentezi artmaktadır.
• Bu değişiklikler üre siklusu aktivitesini artırmaktadır. Uzun süreli düzenleme ile tüm üre siklusu enzimleri ve karbomoilfosfat sentetaz I üretimi yükseltilerek siklus aktive edilir. Proteinsiz diyet ise üre siklusu enzim miktarını azaltır. • N-asetil glutamat karbomoilfosfat sentetaz I’in temel aktivatörüdür. Bu reaksiyon üre döngüsünde hız kısıtlayıcı basamaktır. N-asetil glutamat (NAG)glutamat ve A Ko. A’dan sentezlenir. Bu bileşiğin karaciğer konsantrasyonu proteinden zengin yemek sonrası artmaktadır. • NAG sentezi de arjinin ile aktive olmaktadır.
Amonyak kaynakları: • Aminoasidler: Bir çok dokuda, özellikle de karaciğerde aminotransferaz ve glutamat dehidrogenaz reaksiyonları ile aminoasidlerden NH 3 meydana getirir. • Glutamin: Böbrekler renal glutaminaz etkisi ile glutaminden NH 3 oluşturur. Bu amonyağın çoğu idrardan serbest amonyak olarak atılır. Bu mekanizma vücudun asit baz dengesinin devamı içinde önemlidir. Barsak mukoza hücreleri glutamini hem kandan hemde diyet proteinlerinin sindirimiyle elde eder. Amonyak aynı zamanda glutaminin intestinal glutaminazla sindirimi ile de oluşur.
• Barsak bakterileri: Amonyak barsak lümenindeki ürenin bakteriyel yıkımı ile elde edilir. Portal vene geçen amonyak karaciğerce tutulup üreye çevrilir. • Aminler: Besinlerden veya hormon ve nörotransmitterler gibi monoaminlerden elde edilen aminler, MAO ile amonyağa çevrilir. • Pürin ve pirimidinler: Pürin ve pirimidin katabolizmasında halkalardaki amin grupları amonyak olarak serbestleşir.
METABOLİZMA Glutamat -ketoasitler NAD(P)+ Glutamat dehidrogenaz DİYET ve VÜCUT PROTEİNLERİ -aminoasitler NAD(P)H+H+ -ketoglutarat Pürin ve pirimidinler ADP Biosentez Reaksiyonlarına Verilen Amid azotu İDRAR ATP Glutamat Glutamin sentetaz GLUTAMİN NH 3 Glutaminaz H 2 O Glutamat ÜRE Çeşitli Azot İçeren bileşikler Bakteriyel üreaz ÜRE DÖNGÜSÜ AMONYAK METABOLİZMASI İDRAR
Yüksek amonyağın oluşturduğu toksisite iki reaksiyona bağlıdır: NH 4 + -keroglutarat Glutamat dehidrogenaz NAD(P)H -KG tükenir ve Hücresel oksidasyon ve ATP üretimi azalır. Özellikle beyin gibi yüksek enerji gereksinimi olan dokular zarar görür. Glutamat + NH 4 NAD(P) Glutamin sentaz ATP Glutamin ADP Glutamat beyinde inhibitör etkili nörotransmitter olan GABA’nın öncülüdür. Glutamatın azalması ile GABA oluşumu azalır ve eksitasyon ortaya çıkar.
Hiperamonyemi: • Tremor, konuşmanın peltekleşmesi ve bulanık görme gibi semptomları vardır. • Kazanılmış: Alkolizm, hepatit ve bilier obstrüksiyon sonucu oluşmuş siroz karaciğer çevresinde kollaterallere yol açar. Portal kan şantlar aracılığı ile karaciğere uğramadan sistemik dolaşıma katılır ve kan amonyak konsantrasyonları artar. • Herediter: Üre siklusu enzim eksiklikleri ile oluşur. Yaşamın ilk haftasında hiperamonyemi oluşur. Mental retardasyon kaçınılmazdır.
Üre siklus defekti olanlara çeşitli tedaviler uygulanabilir. • Aromatik aminler olan benzoat ve fenilasetatın kontrollü uygulanması kanda amonyağı azaltır. • Bezoat benzoil Ko. A’ya çevrilir ve glisin ile birleşerek hippürik asit oluşturur. Fenilasetat glutaminle birleşir ve fenilasetil glutamin oluşturur.
• Diğer tedaviler enzim eksikliği için oldukça spesifiktir. N-asetil glutamat sentaz eksikliğinde karbomoilfosfat sentetaz I aktivatörü ortamda bulunmaz. Tedavide karbomoil glutamat uygulanır. Karbamoil glutamat, N-asetilglutamatın analoğudur ve karbomoil fosfat sentetaz I’i aktive eder. • Arjininle desteklenmiş diyet ornitin transkarbomoilaz, arjininosüksinat sentetaz ve arjininosüksinat liyaz eksikliklerinin tedavisinde yaralıdır. Arjinin NAG sentezinide artırmaktadır. Bu tedavile ciddi diyet ve esansiyel aminoasiddesteği ile kombine edilmelidir.
Aminoasitlerin karbon iskeletlerinin uzaklaştırılması: • Aminoasidlerin katabolik yolları normalde insan enerji gereksiniminin %10 -15’ini sağlamaktadır. Bu yollar glikoliz ve yağ asidi oksidasyonu sırasında aktif değildir. Yaklaşık olarak 20 katabolik yol vardır fakat sadece hepsi TCA’ya katılan 5 ürün oluşur. Karbon iskeletleri glukoneogenez ve ketogenezde kullanılır veya tamamen CO 2 ve H 2 O’ya kadar parçalanır. Enzim kofaktörleri: • Transaminasyon reaksiyonlarında piridoksal fosfat koenzim olarak gereklidir. • Aminoasid katabolizmasında diğer önemli reaksiyon grubu 1 C’lu grupların transferidir. Bu reaksiyonlarda da biotin, THF ve S-adenozilmetionin koenzim olarak kullanılır.
Tetrahidrofolat (THF): • Folik asit veya genel ismi ile Pteroilglutamikasit 3 bileşenden oluşur: – Heterosiklik pteridin – p-Aminobenzoikasit – Glutamikasit • İnsanda paba sentezi için gerekli olan enzimler ve pteroik asiti glutamata bağlayan enzimler yoktur. Bu nedenle folik asid sentezi yapılamaz.
• Folik asitin aktif şekli olan tetrahidrofolik asit (THF), iki molekül NADP’ın kullanıldığı iki aşamalı reaksiyon ile dihidrofolat redüktazla sentezlenir.
Histidin Folik asid Pürin halkası H 2 folat N 5, N 10 Methenil. H 4 folat N 5, N 10 Metilen. H 4 folat N 10 formil H 4 folat Pürin halkası N 5 metil H 4 folat Metionin Vitamin B 12 Homosistein d. TMP Serin Glisin
Folattan bir karbon derivelerinin oluşumu: • Folattan elde edilen 1 C’lu birimlerin görevi, farklı metabolik işlevlere bu birimlerin taşınması ve aktarımıdır. Folattan elde edilen 1 C’lu birim taşıyıcıları: – – – N 5 -metil. THF N 5 -N 10 metilen. THF N 10 formil. THF N 5 formil. THF (citrovorum faktör) N 5 -N 10 methenil. THF N 5 -formimino. THF’dır. • Folinikasit, N 5 formil. THF (citrovorum faktör) veya lökoverin olarak adlandırılır. Kimyasal olarak stabil bir moleküldür ve folat antimetabolitlerinin toksik etkisinden korunmada kullanılır (metotreksat ve trimetoprim gibi).
• Tek C’lu birimler metan, metanol, formaldehit, formikasit ve karbonik asittir. Bu tek C birimleri tetrahidrofolik asit (N-5 veya N-10 THF) ve SAM (S-adenozilmetionin) gibi taşıyıcı bileşiklerden sentezlenen veya modifiye edilen yapılara aktarılabilir. • THF ayrıca N-5’de metil grubu taşımasına rağmen bu metil grubu biyosentetik reaksiyonlar için kullanışsızdır. S-adenozilmetionin biyolojik reaksiyonlar için tercih edilen metil grubu taşıyıcısıdır. • CO 2’in hidrate şekli olan karbonik asit biyotinle taşınır. Biyotin karboksilasyon reaksiyonlarında görev alır. • Tetrahidrobiopterin aminoasid katabolizmasındaki diğer önemli kofaktördür. Tek C’lu birim transferinde değil, oksidasyon reaksiyonlarında rol oynar.
Alanin Sistein Glisin Serin Treonin Triptofan Isolösin Lösin Triptofan Pirüvat Asetil Ko. A Aspartat Asparajin Lösin Lizin Fenilalanin Triptofan Tirozin Asetoasetil Ko. A OAA Aspartat Fenilalanin tirozin Izolösin Metionin Treonin Valin Sitrat Fumarat Süksinil Ko. A -KG Şekil: Aminoasitlerin karbon iskeletlerinin yıkımı. Gri aminoasitler. Beyaz renkli kareler glukojenik aminoasitler. Arjinin Glutamat Glutamin Histidin Prolin renkliler ketojenik
Sık rastalanılan L- -aminoasitlerin karbon iskeletlerinin kaderi Glikojenik Saf ketojenik Alanin Arjinin Asparajin Sistein Glutamin Glisin Histidin Hidroksiprolin Metionin Prolin Serin Treonin Valin Lösin Lizin Hem glikojenik hem ketojenik İzolösin Fenilalanin Triptofan Tirozin
C 5 ailesi bir çok aa glutamat üzerinden -KG’a çevrilir. Glutamin Prolin Arjinin Glutamat -ketoglutarat Histidin
• Glutamin glutamata glutaminaz ile çevrilir. • Histidinin glutamata çevriminde ara ürün olarak Figlu (N-formiminoglutamat) oluşur. Figlu formimino grubunu THF’a aktararak glutamata çevrilir. Eğer folat eksikliği varsa histidin yıkımında figlu birikimi ortaya çıkar ve idrarla atılır. Folat eksikliğinin saptanmasında kullanılmaktadır. Histidin Figlu THF Glutamat N 5 -formimino THF
• Yüksek serum folat düzeyleri ve yüksek figlu atılımıda beraber görülebilir. Vitamin B 12 eksikliğinde THF oluşturulamaz ve figlu’dan formimino grubu transferi gerçekleştirilemez. N 5 -metiltetrahidrofolat Homosistein metil transferaz (metilkobalamin) Homosistein Metionin THF
Arjinin yıkımı sırasında oluşan ornitin spermidin ve spermin sentezinde kullanlır. Arjinin Prolin Ornitin Glutamat -semialdehit Glutamat
Treonin, glisin, serin, sistein ve alanin pirüvata döner: Alanin direkt olarak pirüvata çevrilir: Alanin + -ketoglutarat Diğer basit reaksiyon pirüvata çevrimidir. ALT+PP serinin Serin dehidrataz pirüvat + glutamat serin dehidratazla Pirüvat + NH 4 Serinin çoğu serin hidroksimetil transferazla glisine çevrilir ve bu reaksiyonda N 5 -N 10 -metilen THF oluşur
Triptofan Alanin Glisin Serin Pirüvat Sistein Treonin Aminoaseton
Süksinil Ko. A çeşitli nonpolar aa’lerin metabolizmaya katılma noktasıdır: Metionin Valin İsolösin Propionil Ko. A Metilmalonil Ko. A Süksinil Ko. A
12 aminoasit asetil Ko. A oluşturur: • Pirüvat oluşturan aminoasitlerin tümü ( alanin, sistein, sistin, glisin, hidroksiprolin, serin ve treonin) pirüvat dehidrogenazla asetil Ko. A’ya çevrilir.
Fenilalanin ve tirozin • Fenilalanin esansiyel bir aminoasit’dir. Tirozin fenilalaninden sentezlendiği için esansiyel değildir. Bu amino asitler önemli bileşiklerin sentezinde kullanılırlar. Tirozin katabolizması: • Tirozin fumarat veya asetil Ko. A üzerinden metabolize edilir.
Tiroid hormonları Katekolaminler Fenilalanin hidroksilaz Melanin Fenillaktat Fenilasetikasit Tirozin transaminaz (PP) Hidroksifenillaktat p-hidroksifenilpirüvat Hidroksifenil asetikasit p-hidroksifenilpirüvat hidroksilaz (askorbat, Cu) Transaminaz PP Fenilpirüvat Tirozin Fenol, krezol ve tiramin Homojentisat oksidaz (Fe+2) Maleilasetoasetat Glutatyon Fumarilasetoasetat Hidrolaz Asetoasetat Kalıtsal hastalıklar Fenilketonüri Tirozinemi Tip II Neonatal tirozinemi Alkaptonüri Tirozinemi Tip-I Albinizm Asetil Ko. A + Asetat Fumarat
Alkaptonüri: • En tipik bulgusu hastaların idrarı açık havada bekletince koyulaşır. • Hastığın geç evrelerinde bağ dokuda da genel bir pigmentasyon (okronozis) ve artrit gelişir. • Metabolik kusur homojentisik asid oksidaz eksikliğidir.
Fenialanin katabolizması: • Fenilalanin ilk basamakta tirozin hidroksilazla tirozine çevrilir ve tirozin üzerinden metabolze edilir. • Fenilalanin yıkımı dikkate değer bir yoldur çünkü bu yolda oluşacak enzim eksiklikleri çeşitli kalıtımsal hastalıklara yol açmaktadır. • Fenilalaninden fenilalanin hidroksilaz reaksiyonu ile oluşan tirozin iki fragmana bölünür: bunlar asetoasetil Ko. A ve fumarattır. Her iki üründe TCA’ya aktarılır. Tirozin aynı zamanda dopaminin ve melaninin prekürsörüdür.
Tirozin Fenilalanin Protein sentezi Dopamin NE ve E Tiroksin Melanin
Fenilalanin tirozine çevrimindeki bozukluklar üç ana sınıfa ayrılır: 1. Fenilalanin hidroksilaz kusurları: Hiperfenilalaninemi Tip-I veya Klasik fenilketonüri 2. Dihidrobiopterin redüktaz kusurları: Tip II ve III 3. Dihidrobiopterin sentez kusurları: Tip IV ve V
Fenilalanin Hidroksilaz O 2 Tetrahidrobiopterin (THB) dihidrobiopterin (DHB) H 2 O NADP+ Dihidrobiopterin redüktaz Dihidrobiopterin sentetaz Tirozin GTP Tirozin sentezi NADPH+H+
Tirozin Hidroksilaz H 2 O DOPA O 2 Tetrahidrobiopterin (THB) NADP+ Dihidrobiopterin redüktaz dihidrobiopterin (DHB) Dihidrobiopterin sentetaz Katekolaminler GTP Katekolamin sentezi NADPH+H+
• PKU’de normalde inaktif olan fenilalaninden fenilpirüvat oluştuğu aminotransferaz yolu aktif hale geçer. Fenilalanin ve fenilpirüvat kanda birikir ve idrarla atılır. • Fenilpirüvatın fazlası ise fenilasetat ve fenillaktata çevrilir. Fenilasetat ter ve idrarın karakteristik kokusunu verir. • Fenilalanin ve metabolitlerinin birikimi normal beyin gelişimini bozar ve mental retardasyon meydana gelir. PKU’de myelinizasyon defekti oluşur. Epileptik ataklar ve anormal EEG sıktır. Bunların temel biyokimyasal mekanizması anlaşılamamıştır. Fakat glutamatın GABA’ya dönüşümünü katalizleyen glutamat dekarboksilazın fenilpirüvat ve fenillaktatla inhibe olduğu bilinmektedir
• PKU aynı zamanda tetrahidrobiopterinin rejenerasyonunu sağlayan enzim olan dihidrobiopterin redüktaz eksikliğinde de oluşur (tüm fenilalaninemi vakalrının %2’si). Bu tipin tedavisi daha karmaşıktır çünkü tetrahidrobiopterin aynı zamanda L-Dopa, 5 -hidroksitriptofan ve seratonin oluşumu içinde gereklidir. Bu nedenle bu tip hastalıkta bu maddelerde diyetle karşılanmak zorundadır. Bu hastalarda kan seratonin düzeyleri düşüktür ve zeka geriliğinin nedeni seratonin düşüklüğü olabilir.
Fenilketonüri olgularının plazma ve idrarında biiken fenilalanin metabolitleri Plazma mg/dl Metabolit Fenilalanin Fenilpirüvat İdrar mg/dl Normal Fenilketon üri 1 -2 15 -63 0. 3 -1. 8 30 30 -1000 30 -200 Fenillaktat 290 -550 Fenilasetat Artmış Fenilasetilglut amin 200 -300 2400
Triptofan yıkımı kompleks bir yoldur. • Triptofan birincisi pirüvat üzerinden ikinci ise asetoasetil Ko. A üzerinden olmak üzere iki yolla Asetil Ko. A oluşturabilir. • Vitamin B 6 eksikliğinde fazla tripotofan verilmesi idrarda ksantürenat atılımını artırır. Hartnup Hastalığı: • Triptofan dahil nötral aminoasitlerin barsak ve renal taşınımındaki bozukluklar sonucu oluşur. • Hastalarda nötral aminoasitüri ve indol türevlerinin atılımda artış vardır. • Hastalarda niasin azalmasına bağlı olarak pellegra benzeri tabloda oluşur.
Dallı zincirli aa’ler KC’de yıkılmaz: Bir çok aa’in katabolizması KC’de olmasına rağmen, dallı yan zincire sahip lösin, izolösin ve valin aa’lerinin yakıt olarak yıkımı kas, yağ, böbrek ve beyin dokularında olmaktadır. • Bu dokular KC’de bulunmayan branched-chain aminotransferaz enzimini içerir. Daha sonra oluşan -Ketoasitler, branched-chain ketoasit dehidrogenaz kompleksi ile açil-Ko. A deriveleri oluştururlar. Tiaminpirofosfat, FAD, NAD, lipoat ve Ko. A dahil 5 kofaktör bu reaksiyonlar için gereklidir. Bu enzim kompleksinin eksikliğinde maple syrup urine disease (MSUD) hastalığı oluşmaktadır.
Valin Lösin İzolösin -KG Transaminasyon (dallı zincirli aminoasit dehidrogenaz) -ketoizokaproik asit -ketoizovalerik asit Glutamat -keto- -metilvalerik asit Oksidatif dekarboksilasyon (dallı zincirli -keto asit dehidrogenaz) TPP, Co. A, lipoik asit, NAD, FAD İzovaleril Ko. A İzobütiril Ko. A -Metilbütiril Ko. A Dehidrogenasyon Asetoasetil Ko. A Propionil Ko. A Asetil Ko. A Metilmalonil Ko. A 5’-deoksiadenozilkobalamin Süksinil Ko. A
Bazı özellikli aa’lerin metabolizmaları: Glisin: Glisin ve serinin birbirlerine dönüşüm reaksiyonu serin hidroksimetiltransferaz enzimi ile sağlanır ve bu reaksiyon sırasında 1 karbon taşıyıcısı N 5, N 10 metilentetrahidrofolat elde edilir.
FH 4 + Serin PP N 5 -N 10 metilen. THF Serin hidroksimetiltransferaz Glisin Pürin Proteinler Glutatyon NH 4 ve üre Safra asidi konjugasyonu Hippürat Porfirin Kreatin Glioksalat ve oksalat Serin + Glisin + H 2 O
Kreatin sentezi: Arjinin + Glisin Guanidinoasetat + SAM Guanidinoasetat + Ornitin Kreatin + S-adenozilhomosistein Kretin sentezi için gerekli olan bu reaksiyonlar KC, böbrek ve pankreasda oluşur. daha sonra kreatin kas ve beyine gönderilir. Kas, beyin ve kanda hem kreatin hem de bunun enerji yedeği olan fosfokreatin bulunur. Kreatinin (Kreatin anhidir) kasda kreatin fosfattan geri dönüşümsüz, enzimatik olmayan dehidrasyon ve fosfat kaybı ile oluşur. Normalde idrarda çok düşük oranlarda kreatin bulunur.
Löhmann reaksiyonu CK Kreatin~P Kreatin ADP ATP ATP-kreatin transfosforilaz
Glutatyon sentezi • Glutatyonda insanlarda bol olarak buluna bir antioksidan maddedir. Glutatyon glisin, glutamat ve sisteinden sentezlenir.
GSH’un (Glutatyon) görevleri: • Hemoglobin, membran proteinleri ve enzimler (ALA dehidraz, ferroşelataz) gibi moleküllerin –SH gruplarının sürdürülmesi için gerekli olan indirgeyici ekivalanları sağlar. • Hidrojen peroksit gibi peroksitlerin ve diğer serbest radikallerin inaktivasyonuna katılır. • Lökotrien sentezi benzeri patwaylere katılır.
• Bazı yabancı bileşiklerin inaktivasyonuna katılır. Bu konjugasyıon reaksiyonları spesifik glutatyon S-transferaz enzimleri ile sağlanır. Oluşan ürün sonunda merkapturik asite çevrilir ve atılımı gerçekleştirilir. • Aminoasidlerin hücreye taşınmasını sağlar. • KC’de yer alan ve insülinin yıkımını yapan enzim glutatyon-insülin transhidrogenaz enziminin koenzimidir ve insülin yıkımına katılır. • Formaldehit dehidrogenaz enziminin koenzimidir. • Melanin sentez reaksiyonlarına katılır • Metioninin SAM’e çevriminde koenzimdir
Sülfür taşıyan aa’ler: • Metionin ve sistein insanda organik sülfür kaynaklarıdır. Metionin esansiyeldir fakat sistein metionin olduğu sürece esansiyel değildir. • Metionin insanda protein sentezinde ve sistein sentezinde kullanılır. En önemli özelliği insandaki en önemli metil vericisi olmasıdır. İnsanda en önemli metil grubu vericisi (SAM) S-adenozilmetionindir.
Metionin + ATP SAM + PP S-adenozilhomosistein Homosistein Adenozin Metil grubu alıcısı 1. Guanidinoasetat 2. Nikotinamid 3. Norepinefrin 4. Fosfatidil Etanolamin 5. N-asetil-seratonin 6. Lizin Alıcı-CH 3 1. Kreatinin 2. N-Metilnikotinamid 3. Epinefrin 4. Fosfatidil kolin 5. Melatonin 6. Karnitin Sistation sentaz Serin Sistationaz NH 3 -ketobütirat + Sistein
Hiperhomosisteinemi ve aterogenezis • Sistation sentetaz eksikliğinde homosistein birikir ve yüksek düzeylerde metionin oluşur. Homosistein birikimi mekanizması bilinmeyen bir yolla çeşitli patolojilere yol açmaktadır: • Homosistein kollajende lizinin aldehit türevlerine çevrimini inhibe eder • Lens subluksasyonu ve çeşitli göz anomalileri ortaya çıkar • Çocukluk çağında osteoporozis ortaya çıkar • Zeka geriliği görülür • Tedavide metionin kısıtlanır ve hastalara betain verilir • Fazla homosistein ateroskleroza da neden olmaktadır. Homosistein fazlalığında homosistein tiolakton ortaya çıkar ve LDL’nin apolipoproteinlerinde değişikliğe yol açar. Değişikliğe uğramış LDL’ler makrofajlarca fagosite edilirler ve köpük hücreleri ortaya çıkar. • Homosistein ayrıca lipid oksidasyonunu ve platelet agregasyonunuda artırmaktadır.
Sistein: • Sistein, Ko. A ve glutatyon sentezi için gereklidir. N-asetilsisteinin sentetik deriveleri KC glutatyon düzeylerinin devamlılığı ve yüksek doz asetaminofen kullanımında KC’I korumak amacı ile kullanılabilir. • Sisteinin pirüvata çevrimi sırasında taurin oluşur. – Taurin KC’de safra asitlerinin konjugasyonunda kullanılır. – SSS’de major serbest aa’dir (eksitasyonda rol oynayan nörotransmitter olabilir). – Ayrıca retinada en fazla bulunan aa’dir.
Tirozin: • • • Tiroid hormonlarının sentezinde, Katekolamin sentezinde, Melanin sentezinde Tiramin sentezinde Fenol ve krezol sentezinde kullanılmaktadır.
Melanin sentezi NADPH, THF, O 2, Fe++ Tirozin DOPA Tirozinaz (Cu) DOPA Quinon Tirozinaz (Cu) Glutatyon Mikst tip melanin Eumelanin Feomelanin Dopakrom Tricromes
Triptofan • Triptofan yıkımı kompleks bir yoldur. Triptofan birincisi pirüvat üzerinden ikinci ise asetoasetil Ko. A üzerinden olmak üzere iki yolla ACo. A oluşturabilir. • Triptofan katabolizmasının bazı ara ürünleri ayrıca diğer bazı biyomoleküllerin sentezi içinde prekürsördür. Örneğin: • nikotinat (niasin) NAD ve NADP • seratonin nörotransmitter
• Vit B 6 eksikliğinde nikotinik asit sentezi azalır. • Seratonin enterokromaffin hücrelerde, beyinde ve PLT’lerde yer alır. Seratonin güçlü bir vazokonstrüktördür ve düz kas kontraksiyonunu uyarır. • Beyinde nörotransmitter olarak görev yapan seratonin, pineal bezde de melatoninin öncülü olarak görev yapmaktadır.
Triptofan O 2 Triptofan Hidroksilaz H 2 O 5 -OH-triptamin Tetrahidrobiopterin (THB) NADP+ Dihidrobiopterin redüktaz dihidrobiopterin (DHB) Dihidrobiopterin sentetaz Seratonin GTP Seratonin sentezi NADPH+H+
Aa’ler dekarboksilasyonla biyolojik aminlere çevrilebilir: • Glutamat PP varlığında tek basamaklı reaksiyon glutamat dehidrogenaz ile GABA’ya çevrilir. GABA inhibitör bir nörotransmitterdir ve eksikliğinde epileptik hastalıklar oluşur. GABA analogları epilepsi ve hipertansiyon tedavisinde kullanılır.
• Histidin PP varlığında tek basamaklı reaksiyon histidin dekarboksilaz ile histamine çevrilir. Histamin allerjik reaksiyonlarda önemli bir mediatördür ve mide asit salgısını artırır.
Aminoasit Tirozin Triptofan Biolojik amin ve fonksiyonları Amin Biolojik önem Tiramin Kan basıncı, vazokonstruksiyon uterus kontraksiyonu 5 -OH Triptamin (seratonin) Kan basıncı, 5 -metoksitriptamin (melatonin) vazokonstruksiyon Histidin Histamin Vazodilatasyon Kan basıncı HCl, pepsin Serin Etanolamin Fosfolipid sentezi Treonin Propanolamin Sistein -merkaptoetanolamin Vit B 12’nin yapısal bileşeni Ko. A’nın yapısal bileşeni
Aspartat -alanin Pantotenik asit, karnozin ve anserinin bileşeni Glutamat GABA Beyinde presinaptik inhibisyon DOPA Dopamin E ve NE’nin öncülü Sistein Taurin Safra konjugasyonu Exitasyon Lizin Kadaverin Ornitin Putresin Katyonik molekül, DNA’ya bağlanır Arjinin Agmantin Antihipertansif
• Spermin ve sperimidin gibi poliaminler metionin ve ornitinden sentezlenebilir. • Poliaminler hücre büyümesi ve üremesinde önemli moleküllerdir. Bunlar memeli ve bakteri hücre kültürleri için büyüme faktörüdür ve tüm hücrenin, subsellüler organellerin ve zarların kararlı hale getirilmesinde rol oynar. • Poliaminlerin farmakolojik dozları hipotansif ve hipotermiktir.
• Ornitin “putresin”in öncülüdür. • Putresin katyonik bir moleküldür ve DNA ile etkileşir. Hücre proliferasyonunun en iyi göstergesidir. • Sperimidin tümör hücresi yıkımının en iyi göstergesidir. • Arjininden insanda nitrik oksid ve beyinde agmatin’i oluşturur. Agmatin antihipertansif özelliktedir.
• Memeli dokularındaki -alaninin çoğu koenzim A ve -alanin dipeptid halinde yer alır. • Karnozin -alanin ve histidinden oluşan bir dipeptiddir. İnsan iskelet kasında yer alır. • Anserin karnozine SAM’den 1 metil grubu aktarılması ile elde edilir. Anserin hızlı kas kalımasında etkindir. • Anserin ve karnozin her ikiside Cu ile şelasyon yapar ve Cu’ın yakalanmasını ve miyozinin ATPaz etkinliğini artırırlar.
• Homokarnozin ise yapı olarak karnozine benzesede beyinde çok bol miktarda yer almaktadır. Homokarnozin GABA ve histidinden sentezlenen bir dipeptiddir. • Ergotiyonein, karnozin ve besinsel anserin insanda bulunan histidin bileşikleridir.
• Histidin – Histamin – Karnozin histidin + -alanin – Anserin karnosin + SAM – Ergotiyonein – Homokarnozin GABA + histidin • -alanin – Karnozin – Anserin – Ko. A
• İdrarda atılan sülfatların temel kaynağı sistein aminoasididir. Sistein ayrıca insanda taurin ve koenzim A’nın yapısal bileşeni olan tiyoetanolamin’in öncülü olarak rol oynar.
Akut intermittant porfiriada hangi enzim eksiktir? (88, 92) A. B. C. D. E. Üroporfirinojen I sentaz Delta aminolevülinik asit Porfoblinojen oksidaz Delta aminolevülinik asit dehidraz Ferroşelataz
Hemoproteinler AA’ler tekrar kullanılır HEM Kİ, KC ve dalak mononükleer fagositer hücrelerinde yapılır. Gerekli olduğunda Renal tübüler epitelial hücreler, hepatositler ve makrofajlarda katılır CO Fe HEM OKSİJENAZ BİLİVERDİN O 2 ve NADPH gerektirir. Hücrenin mikrozomal fraksiyonunda yer alır. Sn-protoporfirinle inhibe olur.
Biliverdin NADPH Biliverdin Redüktaz NADP KC’e alınım aşaması, taşıyısı aracılı, doyrulabilir ve reversible bir aşamadır. Bu basamaksülfobromfitalein, indosiyanin green, kolesistografik maddeler ve çeşitli ilaçlarla inhibe edilebilir. Bilirubin 250 -300 mg/dl Albumine Bilirubin bağlanmasını sülfanamidler, salisilatlar ve kolanjiografik kontras maddeler yarışmalı olarak azaltmaktadır. Bilirubinin albumine bağlanmasını orta zincirli yağ asitleri artırmakta ve kısa zincirli yağ asitleri azaltmaktadır. Albumin bilirubin bağlanması p. H’dan bağımsızdır. Albuminle taşınım Bilirubin Hepatosite alımı
• Z proteini (yağ asidi bağlayıcı protein) ve ligandin (Y proteini) Bilirubin ve organik anyonları bağlayan iki sitozolik proteindir. Ligandin Z proteinine göre bilirubine daha fazla ilgi gösteren fakat daha az bağlama kapasitesi olan bir proteindir. • Ligandinde aynı zamanda sunünitelerine de bağlı olarak glutatyon S-transferaz, glutatyon peroksidaz ve ketosteroid isomeraz aktiviteleride vardır. glutatyon S -transferaz çeşitli maddelerin detoksifikasyonuna katılır.
• Normal koşullarda ligandin temel sitozolik bilirubin bağlayıcı proteindir ve albumin benzeri hücrede transporta katılır ve toksik etkilerden koruyucu rol oynar. Albumine göre bilirubine afinetisi yaklaşık 5 kat daha fazla olduğu içinde bilirubinin geri dolaşıma kaçmasına engel olur. Z proteini özellikle yüksek bilirubin konsantrasyonlarında etkili olan bir hücre içi taşıyıcı proteindir. Ligandin erişkin düzeylerine ancak doğumdan bir kaç hafta sonra ulaşırken, Z proteinin neonatal ve adult düzeyleri aynıdır. Ligandinin doğumda bulunmaması ve buna bağlı olarak da hepatik glukronil S-transferaz aktivitesinin düşük olması fizyolojik, nonhemolitik neonatal sarılığın olası nedenidir.
Bilirubin UDP-Glukronikasid UDP Bilirubin UDPGlukronil transferaz Bilirubin monoglukronid UDP-Glukronikasid UDP Bilirubin UDPGlukronil transferaz Bilirubin diglukronid
Bilirubin diglukronid Bilirubin katabolizması hız kısıtlayıcı basamağı, oluşan bilirubin diglukronidlerin safraya atıldığı basamaktır Safra kesesinde Bilirubin diglukronid İnce barsakta Bilirubin diglukronid kolonda Fekal flora ile metabolize Ürobilinojen ve diğer bileşikler
Ürobilinojen ve diğer bileşikler Günlük 50 -250 mg UBG fecesle atılır Sistemik dolaşım Böbrek Karaciğer İnce barsak İdrar ürobilinojen (günlük 4 mg/dl’nin üzerinde)
HİPERBİLİRUBİNEMİLER: • Ankonjuge hiperbilirubinemiler a. Hemden unkonjuge bilirubin sentezinin artması • Hemoliz (kalıtsal veya edinsel) • Inefektif eritropoez • Yeni doğanda artmış eritrosit kütlesi dönüşümü
b. Plazmada unkonjuge bilirubinin hepatosite taşınmasının azalması • Konjestif sağ kalp yetmezliği • Portakaval şant • Albumine Bilirubin bağlanmasını bozan sülfanamidler, salisilatlar ve kolanjiografik kontras maddeler.
c. Unkonjuge bilirubinin hepatosit zarından geçişinin azalması • Yarışmalı inhibisyon – – • İlaçlar Bromsülfofitalein İndosiyanin green Kolesistografik maddeler Gilbert sendromu
d. Unkonjuge bilirubinin sitoplazmada depolanmasının azalması (Z ve Y protein defektleri) • • • Ateş Yarışmalı inhibisyon Yeni doğan fizyolojik sarılığı
e. Konjugasyon azalması • • • Yeni doğan fizyolojik sarılığı İnhibisyon (ilaçlar) Kalıtsal: Crigler-Najar – – • Tip 1: Tam enzim eksikliği Tip 2: Kısmi enzim eksikliği Hepatosellüler fonksiyon bozukluğu
Konjugehiperbilirubinemiler Konjuge bilirubinin safraya atılımının azalması • Hepatosellüler hastalıklar – – • • • Hepatit İntrahepatik kolestaz Dubin-Johnson sendromu Rotor sendromu İlaçlar (östradiol)
Atılımın azalması • Ekstrahepatik tıkanma – – Taş Karsinom Striktür Atrezi • Sklerozan kolanjit • İntrahepatik tıkanma – – İlaçlar Granüloma Primer bilier siroz Safra kanalı daralması – Siroz
Barbitürat, sülfanamid ve hekzoklorobenzen porfriada hem sentezini hangi enzim üzerinden etkiler? a. b. c. d. e. Pirüvat dekarboksilaz Ferroşelataz Delta aminolevülinik asit sentaz Glukronil transferaz Üroporfirinojen I sentaz
İndirekt bilirubinin direkt bilirubine çevrilebilmesi için hangisine bağlanması gerekir? a. b. c. d. e. Prealbumin Serüloplazmin Glukronik asit Albumin Hematin
Delta-aminolevülinik asit dehidraz enzimini inhibe ederek eritrositlerde protoporfirin birikimine yol açan madde aşağıdakilerden hangisidir? a. b. c. d. e. Kurşun Bakır Çinko Arsenik Kobalt
Bilirubin diglukronid üroblinojene nerede dönüştürülür? a. b. c. d. e. Retiküloentotelyal sistem Karaciğer Barsaklar Safra yolları Dolaşım
Hemoprotein yıkımı sonucunda oluşan “hem” grubundan demirin serbestleşmesini ve böylece tekrar kullanımını sağlayan enzim aşağıdakilerden hangisidir? a. b. c. d. e. Ferroşelataz Hem oksijenaz Ferroksidaz Glukronil transferaz Biliverdin redüktaz
Beyinde yüksek derişimde bulunan ve histidin ile GABA’dan oluşan dipeptid hangisidir? a. b. c. d. e. Homokarnozin Karnozin Anserin Ergotiyonin histamin
Aşağıdaki moleküllerden hangisi kendi öncülü olan aminoasitten dekarboksilasyonla oluşur? a. b. c. d. e. Histamin Asetil kolin S-adenozil metionin Ornitin Sitrüllin
Üre siklusunda yer almayan ve NH 3 taşıyıcısı veya vericisi olmayan aminoasit hangisidir? a. b. c. d. e. Glutamin Arjinin Histidin Aspartat Ornitin
Aşağıdakilerden hangisi karaciğerin primer fonksiyonlarından birisi değildir? a. Vücuda alınan ilaçların detoksifikasyonu b. Vücutta asit baz dengesinin düzenlenmesi c. Pıhtılaşma proteinlerinin sentezi d. Glikojen halinde karbonhidrat depolanması e. Amonyağın üreye çevrilmesi
Üre sentezi hangisinde azalır? a. b. c. d. e. Dehidratasyon Karaciğer sirozu Böbrek yetmezliği Kronik pyelonefrit Barsaktan protein emilimi artması
Doğduğunda normal olan üç gün sonra kusma ensefalopati, beslenememe ve konvulsiyon geçirme şikayetleri olan çocukta aşağıdakilerden hangisi düşünülmelidir? a- üre siklus defekti b- kistik fibrozistozemi c- galaktozemi d- glikojen depo hastalığı e- fenil ketonüri
Akraba evliliğinden olan, kardeşi daha önceden ölmüş 15 günlük erkek bebekte kusma, letarji ve kusma gelişiyor. Laboratuvar bulgularında kanda amonyak, kanda orotik asit düzeyleri yükselmiş bulunuyor. Hastada asidoz saptanmıyor. En olası tanı aşağıdakilerden hangisidir? a. b. c. d. e. Sitrüllinemi Ornitin karbomoil transferaz eksikliği Orotik asidüri Galaktozemi Feninalanin hidroksilaz eksikliği
Hangi enzim serbest amonyağı bir organik bileşiğe dönüştüren reaksiyonda yer almaz? a. b. c. d. e. Glutamin sentetaz Alanin transaminaz Arjinino süksinaz Karbamoil fosfat sentetaz Ornitin transkabomoilaz
Aşağıdakilerden hangisi beyinde sentezlenmez? a. b. c. d. e. Üre Glukoz Glutamat Asetilkolin Glikojen
Hangisi üre siklusunda yer almaz? a. b. c. d. e. Ornitin Sitrüllin Arjinin Treonin Arjininosüksinat
Aşağıdaki reaksiyonlardan hangisinin sonunda biyolojik aminler oluşur? a. b. c. d. e. Transaminasyon Demetilasyon Dekarboksilasyon Deaminasyon Translokasyon
ATP adenozin kısmını hangi aminoaside aktarabilir? a. b. c. d. e. Sistein Alanin Lizin Glisin Metionin
Fenilketonüride kesin tanıyı nasıl koyarsınız? a. Kan fenilalanin düzeyi b. Fenilalanin hidroksilaz enzim düzeyi c. Ferrik klorür testi d. Fenilalanin alımının kontrolü e. Zeka geriliğinin tesbiti
Hiperoksalüride oksalatın endojen kaynağı hangisidir? a. b. c. d. e. Serin Histidin Lösin Valin Glisin
Yani doğanda kalıtsal metabolizma bozukluğunu düşündürmeyen hangisidir? a. b. c. d. e. Kusma İdrar koku bozukluğu Gaitada gizli kan Metabolik asidoz İdrar redüktan madde varlığı
Mental gerilik, mikrosefali, seboraik cilt lezyonları, konvülsiyon geçirme, açık saç rengi ve mavi göz aşağıdaki metabolik bozuklukların hangisinde görülür? a. b. c. d. e. Kistik fibrozis Hurler sendromu Fenilketonüri Mukolipidozis Albinizim
Uzun ince ekstremite, araknodaktili, lens subluksasyonu ve tekrarlayan tromboembolik ataklarla giden bozukluk aşağıdakilerden hangisidir? a. b. c. d. e. Homosistinüri Hartnup hastalığı Sistinozis Fankoni sendromu İzovalerik asidemi
Melatonin hangi bezden salınır ve hangi aminoasitten sentezlenir? a. b. c. d. e. Hipofiz-fenilalanin Hipofiz-tirozin Pinealbez-fenilalanin Pineal bez-tirozin Pineal bez-triptofan
Aşağıdakilerden hangisi fenilketonüride idrarda görülmeyen maddedir? a. b. c. d. e. Fenilasetil glutamin Fenilasetat Fenillaktat Fenilpirüvat Fenilizotiyosiyonat
Aşağıdakilerden hangisinde karaciğerde patoloji izlenmez? a. b. c. d. e. Tirozinemi Fenilketonüri Galaktozemi alfa-1 -antitripsin eksikliği Glikojen depo hastalığı
Alkaptonüride oksidasyona uğramayan hangisidir? a. b. c. d. e. Tirozin Homogentisik asit Metionin Homosistein Sistein
Bazı aminoasitlerin hücreye taşınmasında görevli olan bileşik hangisidir? a. b. c. d. e. Ko A Malonik asid Glutatyon Folat Karnitin
Bazı aminoasitlerin hücre zarını geçerek, hücreye taşınmasında görevli olan enzim hangisidir? a. b. c. d. e. Transaminazlar Gamaglutamil transferaz Transpeptidaz Alkalen fosfataz Kretin kinaz
Aşağıdakilerden hangisi esansiyel bir aminoasitten sentezlenir? a. b. c. d. e. Alanin Glisin Arjinin Prolin Tirozin
Glisin aşağıdakilerden hangisinin sentezinde kullanılmaz? a. b. c. d. e. Porfirin Pürin Melanin Asetil Ko. A Safra asidi konjugasyonu
Vücut sıvılarında glisin düzeyi artışı ile giden konjenital hastalıkta aşağıdaki maddelerden hangisi ile glisin düzeyi düşürülür? A. B. C. D. E. Bütirik asit Benzen Sodyum benzoat Glutamin Sodyum asetat
Aşağıdakilerden hangisi diyetle alınan proteinlerin biyolojik değerini belirleyici olma açısından en önemlidir? a. b. c. d. e. Enerji ve nitrojen içeriği Esansiyel aminoasit Sudaki çözünürlüğü Molekül ağırlığı Sindirim hızı
Albinizimde melanin sentezi bozukluğuna yol açan temel defekt hangisidir? a. b. c. d. e. Tirozinaz eksikliği Tetrahidrobiopterin eksikliği Tirozin hidroksilaz eksikliği Dekarboksilaz eksikliği Metiltransferaz eksikliği
- Slides: 162