AMD 2017 Esercitazione 4 Giulio Costantini 1 Moderazione






























































- Slides: 62
AMD 2017 - Esercitazione 4 Giulio Costantini 1
Moderazione 2
Moderazione / Interazione • Un modello di regressione multipla NON lineare, in cui un predittore è dato dal prodotto di due predittori. • Con variabili non standardizzate abbiamo un’intercetta • Con variabili standardizzate l’intercetta è zero (ma vedi dopo per una discussione sulla standardizzazione). 3
Interpretazione: Effetti delle variabili e coefficienti Qual è l’effetto di X 1 su Y? Qual è l’effetto di X 2 su Y? Lo potete vedere facilmente svolgendo l’equazione sopra e “raggruppando” X 1 o X 2. Questo significa che l’effetto di X 1 cambia al variare di X 2 e l’effetto di X 2 cambia al variare di X 1. Più è alto il coefficiente di interazione b 3, più l’effetto di un predittore cambia ai diversi livelli dell’altro (graficamente, le linee di regressione non sono parallele) 4
Alcune regole generali • I predittori possono essere uno continuo e uno dicotomico, oppure entrambi continui (con predittori categorici, è più semplice usare l’ANOVA) • Le interazioni vanno sempre stimate insieme agli effetti principali. • Prima di calcolare il termine di interazione (cioè il prodotto delle due variabili), le variabili vanno centrate, cioè bisogna sottrarre la media di ciascuna variabile da ciascun valore, per ridurre la multicollinearità con gli effetti principali. • Se il coefficiente di interazione è significativo, l’interazione è significativa. 5
Standardizzazione • Il termine Zx 1 x 2 indica che per avere i coefficienti beta dovete standardizzare il prodotto delle due variabili (dopo averle centrate), non basta standardizzare le due variabili e poi farne il prodotto. • Se standardizzate le variabili e poi ne fate il prodotto, i coefficienti si dicono «semistandardizzati» e l’intercetta non sarà nulla. • Per semplicità, useremo le marco PROCESS, che non restituiscono i coefficienti standardizzati. Potete standardizzare le variabili prima dell’analisi e ottenere i coefficienti semistandardizzati. Per ottenere i beta, dovete fare le analisi «a mano» , cioè centrare i predittori, calcolare il termine di interazione, standardizzare tutte le variabili (compreso il termine di interazione) e usare una regressione multipla. Non è difficile, ma ci vuole un po’ più di tempo. 6
Moderazione o interazione? Statisticamente sono la stessa cosa. Di solito si usa il termine “moderazione” se l’enfasi è sul fatto che l’effetto di un predittore cambia ai diversi livelli dell’altro, “interazione” se l’enfasi è sul fatto che i predittori hanno un effetto moltiplicativo. • Moderazione: I danni prodotti dalla velocità di un proiettile (X 1) sulla salute (Y) cambiano se si indossa un giubbetto antiproiettile o meno (X 2). • Interazione: l’alcol (X 1) e gli antidepressivi (X 2) hanno un effetto interattivo sulla capacità di guidare (Y). Si può vedere anche come un insieme di due moderazioni: Se si assumono antidepressivi, l’alcol ha un effetto peggiore sulla guida. Se si assume alcol, gli antidepressivi hanno un effetto peggiore sulla guida. 7
Esercizio 1, con moderatore dicotomico • Aprire il file MR 1. sav • Contiene dati su ansia, depressione, età del soggetto e genere (0 maschio, 1 femmina). • Ipotesi: l’effetto dell’ansia sulla depressione è moderato dal genere Depressione Ansia Genere (maschio = 0, femmina = 1) 8
Regressione con coefficienti non standardizzati: si fa tutto in PROCESS In PROCESS 1) Controllare che i nomi delle variabili siano di otto caratteri o meno, altrimenti process non le accetta. Se necessario, accorciare i nomi e usare le etichette. In alternativa, selezionare Long names > Allow long variable names 2) selezionare Model Number = 1 3) Inserire la variabile dipendente in Outcome Variables (Y), il predittore in Independent Variable (X) e il moderatore in M variable(s). Notate che non è sempre chiaro chi sia il predittore e chi il moderatore (statisticamente è la stessa cosa), ma in caso uno dei due predittori sia dicotomico, è meglio inserirlo come moderatore. 4) In Options selezionare: Mean center for products e Generate data for plotting. Mean center for products centrerà per voi le variabili prima di farne i prodotti, Generate data for plotting preparerà per voi i dati che potrete usare per fare il grafico dell’interazione. 9
10
Outcome: depres Model Summary R , 5550 R-sq , 3080 MSE 25, 9823 F 35, 7613 df 1 3, 0000 df 2 241, 0000 p , 0000 Model constant genere ansia int_1 coeff 11, 8405 1, 9592 , 2706 , 2991 se , 3261 , 6766 , 0324 , 0660 t 36, 3136 2, 8957 8, 3529 4, 5293 p , 0000 , 0041 , 0000 LLCI 11, 1982 , 6264 , 2068 , 1690 Product terms key: int_1 ansia X ULCI 12, 4827 3, 2920 , 3344 , 4293 Il nostro modello spiega il 30, 8% della varianza, R 2 =. 308, F(3, 241) = 35. 76, p < , 001 Tutti i coefficienti di regressione sono significativi, incluso il coefficiente di interazione (int_1), quindi la moderazione è significativa. genere R-square increase due to interaction(s): R 2 -chng F df 1 df 2 int_1 , 0589 20, 5145 1, 0000 241, 0000 p , 0000 L’equazione di regressione è quindi Attenzione, i predittori Genere ed Ansia sono centrati. Se volete calcolare I punteggi predetti Y dovete tenerne conto. 11
Domande per voi Data l’equazione di regressione appena calcolata e sapendo che il Genere centrato corrisponde a un punteggio di -, 3673 per i maschi e = , 6327 per le femmine, secondo voi l’effetto dell’Ansia sulla depressione è più forte per i maschi o per le femmine? Qual è l’equazione di regressione per i maschi? Qual è l’equazione di regressione per le femmine? Soluzione nella prossima pagina 12
Soluzione L’effetto è più forte per le femmine. Basta sostituire alla varibile “genere” i rispettivi valori per maschi e femmine e risolvere le moltiplicazioni 13
Process fa questi calcoli per voi ************************************* Conditional effect of X on Y at values of the moderator(s): genere Effect se t p -, 3673 , 1607 , 0417 3, 8564 , 0001 , 6327 , 4598 , 0512 8, 9726 , 0000 LLCI , 0786 , 3589 ULCI , 2427 , 5608 Values for quantitative moderators are the mean and plus/minus one SD from mean. Values for dichotomous moderators are the two values of the moderator. Inoltre process testa anche la significatività degli effetti del predittore ai due livelli del moderatore. In questo caso, l’ansia ha un effetto significativo sia per i maschi, sia per le femmine, ma l’effetto è più forte per le femmine (identificati da genere =. 6327) che per i maschi (identificati da genere = -. 3673). 14
Visualizzare le rette per i due gruppi (simple effect analysis) Process vi prepara una sintassi che dovete solo copia-incollare nell’editor di sintassi di SPSS ed eseguire. ************************************* Data for visualizing conditional effect of X on Y Paste text below into a SPSS syntax window and execute to produce plot. DATA LIST FREE/ansia genere depres. BEGIN DATA. -10, 1070 , 0000 10, 1070 -, 3673 , 6327 9, 4968 11, 1207 12, 7447 8, 4326 13, 0799 17, 7273 END DATA. GRAPH/SCATTERPLOT=ansia WITH depres BY genere. 15
Grafico • Process vi dà solo uno scatterplot. Per avere anche le linee, selezionare Elementi > Linea di interpolazione 16
Scrivere la procedura delle analisi e i risultati • L’Ansia (b =. 27, p <. 001), il genere (b = 1. 96, p =. 004) e la loro interazione (b =. 30, p <. 001) sono predittori significativi della gravità della depressione. I due effetti principali (Ansia e Genere) indicano che a maggior ansia corrisponde maggior depressione e che le donne soffrono più della depressione che gli uomini. • Per decomporre l’effetto d’interazione per capire il suo significato, si procede ad un analisi degli effetti semplici. Quest’analisi indica che per sia per gli uomini (b =. 16, p <. 001) che per le donne (b =. 63, p <. 001), l’Ansia predice la depressione – maggior ansia è legata a maggior depressione – ma con un maggior effetto per le donne. 17
Esercizio 1 b • Ripeterere lo stesso esercizio, ma questa volta calcolare i beta semistandardizzati. • Suggerimento: è tutto identico, ma bisogna standardizzare tutte le variabili prima di darle in pasto a PROCESS • Per standardizzare le variabili: Analizza > Statistiche descrittive > Descrittive e flaggare “Salva valori standardizzati come variabili” 18
Soluzione Model Summary R , 5550 R-sq , 3080 MSE , 7006 F 35, 7613 df 1 3, 0000 df 2 241, 0000 p , 0000 Model constant Zgenere Zansia int_1 coeff -, 0121 , 1554 , 4490 , 2398 se , 0535 , 0537 , 0538 , 0530 t -, 2264 2, 8957 8, 3529 4, 5293 p , 8211 , 0041 , 0000 LLCI -, 1176 , 0497 , 3431 , 1355 ULCI , 0933 , 2611 , 5549 , 3441 Product terms key: int_1 Zansia X Se avete fatto tutto bene, dovreste ottenere questi valori in output Zgenere R-square increase due to interaction(s): R 2 -chng F df 1 df 2 int_1 , 0589 20, 5145 1, 0000 241, 0000 p , 0000 ************************************* Conditional effect of X on Y at values of the moderator(s): Zgenere Effect se t p -, 7604 , 2667 , 0691 3, 8564 , 0001 1, 3097 , 7631 , 0851 8, 9726 , 0000 LLCI , 1304 , 5956 ULCI , 4029 , 9307 Values for quantitative moderators are the mean and plus/minus one SD from mean. Values for dichotomous moderators are the two values of the moderator. 19
Esempio con moderatore continuo Con un moderatore continuo, le cose si fanno un po’ (poco) più complesse. - mentre per il moderatore dicotomico si possono calcolare (e plottare) le due rette di regressione per I due valori del moderatore (simple effect analysis) - nel caso di un moderatore continuo il grafico rappresenta la retta di regressione quando il moderatore assume i valori M + 1 DS o M – 1 DS (simple slope analysis). 20
Esercizio 2, moderatore continuo • Aprire il file scolastico. B. sav • Testiamo la seguente ipotesi: L’effetto della motivazione sul successo scolastico è moderato dall’abilità Successo scolastico Motivazione Abilità 21
22
************************************* Outcome: successo Model Summary R , 6341 R-sq , 4021 MSE 6, 2961 F 38, 3290 df 1 3, 0000 df 2 171, 0000 p , 0000 Model constant abilità motivazi int_1 coeff 9, 6421 , 5915 , 2240 -, 1423 se , 2176 , 0724 , 1702 , 0348 t 44, 3041 8, 1730 1, 3162 -4, 0895 p , 0000 , 1899 , 0001 LLCI 9, 2125 , 4486 -, 1119 -, 2110 Product terms key: int_1 motivazi X abilità R-square increase due to interaction(s): R 2 -chng F df 1 df 2 int_1 , 0585 16, 7241 1, 0000 171, 0000 p , 0001 ULCI 10, 0717 , 7343 , 5599 -, 0736 Il nostro modello spiega il 40, 21% della varianza, R 2 =. 4021, F(3, 171) = 38. 32, p < , 001 L’effetto principale dell’abilitù è significativo. L’effetto della motivazione non è significativo. Il coefficiente di interazione è significativo, quindi l’interazione è significativa 23
************************************* Conditional effect of X on Y at values of the moderator(s): abilità Effect se t p LLCI -3, 3426 , 6997 , 2360 2, 9653 , 0035 , 2339 , 0000 , 2240 , 1702 1, 3162 , 1899 -, 1119 3, 3426 -, 2518 , 1712 -1, 4708 , 1432 -, 5896 ULCI 1, 1655 , 5599 , 0861 Values for quantitative moderators are the mean and plus/minus one SD from mean. Values for dichotomous moderators are the two values of the moderator. Interpretiamo l’interazione significativa: L’effetto della motivazione è più forte per gli individui meno abili ed è non significativo per gli individui più abili. 24
25
Riassunto dei risultati Abbiamo svolto un’analisi di moderazione/interazione per verificare se l’effetto della motivazione sul successo scolastico fosse moderato dall’abilità. I risultati indicavano un effetto principale significativo dell’abilità (b =. 59, p <. 001), ma non un effetto principale di motivazione (b =. 22, p =. 19). Vi era però un’interazione significativa tra motivazione e abilità (b = -. 14, p <. 001): La motivazione prediceva il successo in modo significativo per individui con abilità 1 ds al di sotto della media (b =. 70, p =. 003), mentre non prediceva il successo in modo significativo per individui con abilità media (b =. 22, p =. 19) e sopra la media (b = -. 25, p =. 14). Per un livello basso di abilità, a maggiore motivazione corrisponde a maggior successo scolastico. Questa relazione non esiste per gli altri livello di abilità. Il modello spiega il 40, 21% della varianza del successo scolastico, R 2 =. 4021, F(3, 171) = 38. 32, p <. 001. 26
Esercizi per casa • Di seguito trovate alcuni esercizi per allenarvi sulla moderazione • Tutti gli esercizi assumono coefficienti semistandardizzati, quindi se volete ottenere gli stessi risultati dovete standardizzare le variabili prima di darle in pasto a PROCESS. • Gli esercizi riportano nell’output anche l’IC, l’intervallo di confidenza al 95% che potete trovare nell’output di PROCESS. 27
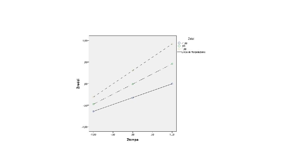
Esercizio 3 (da soli) Aprire il file “laureati. sav” Criterio: reddito annuo in Euro Predittore: tempo trascorso dal primo impiego Moderatore: situazione socio/economica della famiglia di origine Domande: A. Il reddito dei laureati cresce con il tempo? B. La crescita è la stessa a prescindere dallo status socio economico della famiglia d’origine? (lo status socio economico modera il rapporto tra tempo e reddito? ) Grafico se interazione significativa
A. Regressione semplice Il tempo trascorso dal primo impiego predice il reddito. In altre parole, il reddito cresce con il tempo
B. Modello di moderazione Tempo trascorso Reddito Status familiare
B. Analisi di moderazione con moderatore continuo 1) Standardizzare le variabili 2) Testare l’interazione con una regressione multipla spiegando i diversi effetti (significativi o no) dei tre termini presenti nella regressione (predittore, moderatore, ed interazione) con Process, Model 1 3) Se interazione significativa, analisi della pendenza semplice per capire il significato dell’interazione spiegando l’effetto del predittore ai diversi livelli del moderatore 4) Se interazione significativa, fare il grafico
Il modello spiega 35. 7% della varianza nel reddito Il tempo trascorso e il status economico hanno un effetto significativo sul reddito L’interazione è significativa quindi possiamo andare a vedere l’analisi della pendenza semplice (simple slope analysis)
L’analisi della pendenza semplice indica che il tempo trascorso dal primo impiego predice il reddito ad ogni livelli dello status economico (basso, medio ed alto) ma in modo crescente di questo status (basso Status, effetto del tempo: β =. 32, p =. 001, 95% IC: . 13, . 51; medio: β =. 47, p <. 001, 95% IC: . 34, . 60, e alto: β =. 62, p <. 001, 95% IC: . 42, . 81).
Esercizio 4 Aprire il file “Aggression. sav” Descrizione studio (N = 98) : Misurazione dell’aggressività implicita (IAT) poi lo sperimentatore provoca o no il partecipante, poi viene chiesto di valutare le competenze dello sperimentatore (misura comportamentale, valutazione più negativa indica comportamento più aggressivo). Ipotesi: La misura indiretta d’aggressività dovrebbero predire meglio il comportamento aggressivo quando il partecipante viene provocato (la provocazione modera l’effetto dell’aggressività implicita sul comportamento aggressivo). Testare l’ipotesi
1° Modello di moderazione Aggressività implicita Comportamento aggressivo Provocazione (no = 0, si = 1)
Analisi di moderazione 1) Standardizzare le variabili 2) Testare l’interazione con una regressione multipla (modello 1), interpretare i risultati per i tre termini della regressione 3) Se interazione significativa, decomposizione dell’interazione con analisi dell’effetto semplice e interpretazione: effetto del predittore ai due livelli del moderatore 4) Se significativa, grafico
2) Testare l’interazione con una regressione multipla Il modello spiega 48% della varianza nel comportamento L’aggressività implicita non predice il comportamento ma la provocazione predice L’interazione è significativa quindi possiamo andare a vedere l’analisi dell’effetto semplice (simple effect analysis)
3) Analisi della pendenza semplice In situazione di provocazione (1 o valore Zprovoc = 1. 08), l’aggressività implicita predice il comportamento aggressivo (β =. 29, p =. 015, 95% CI: . 06, . 53) – più le persone sono aggressive al livello implicito più hanno un comportamento aggressivo - ma l’aggressività implicita non predice il comportamento aggressivo in assenza di provocazione (0 o valore Zprovoc = -. 92, β = -. 16, p =. 109, 95% CI: -. 35, . 04).
4) Scrivere la procedura delle analisi e i risultati Per testare l’ipotesi di moderazione secondo la quale la provocazione modera l’effetto della misura d’aggressività implicita sul comportamento aggressivo, si procede ad un’analisi di regressione multipla nella quale la misura d’aggressività implicita, la provocazione e il termine d’interazione sono entrati come predittori della valutazione dello sperimentatore. Il modello spiega 48% della varianza nel comportamento aggressivo.
La misura d’aggressività implicita (β =. 05, p =. 506, 95% IC: -. 10, . 20) non predice il comportamento mentre, la provocazione (β =. 65, p <. 001, 95% IC: . 50, . 80) e l’interazione (β =. 22, p =. 004, 95% IC: . 07, . 38) sono predittori significativi. L’effetto significativo della provocazione indica che in situazione di provocazione, le persone si comportano in modo più aggressivo che in assenza di provocazione
Per decomporre l’interazione provocazione x aggressività implicita si procede ad un analisi della pendenza semplice. Quest’analisi indica che la misura d’aggressività implicita predice il comportamento aggressivo solo quando il partecipante viene provocato (β =. 29, p =. 015, 95% CI: . 06, . 53) e non quando non c’è una provocazione (β =. 16, p =. 109, 95% CI: -. 35, . 04). In situazione di provocazione, a maggior aggressività implicita cresce il comportamento aggressivo.
Esercizio IV riassuntivo Aprire il file “Ultimo. sav” N = 113 Diverse misure: - Atteggiamento Implicito verso prodotto X - Atteggiamento Esplicito verso prodotto X - Situazione d’acquisto (normale vs. sotto pressione) - Comportamento d’acquisto prodotto X - Intenzione acquisto prodotto X Tempo 1 - Intenzione acquisto prodotto X Tempo 2 - Consumo del prodotto X
Testare le ipotesi seguenti: H 1: Testare il modello secondo il quale la situazione d’acquisto predice il consumo del prodotto X (Qual è il consumo stimato in situazione di pressione? In situazione normale? ). L’inclusione dell’intenzione d’acquisto a Tempo 1 aggiunge qualcosa al modello? Quale sono le conclusioni? H 2: L’atteggiamento esplicito modera la validità dell’atteggiamento implicito verso il prodotto X nel predire il comportamento d’acquisto? H 3: L’Intenzione d’acquisto misurata a Tempo 2 media l’effetto dell’Intenzione d’acquisto a Tempo 1 sul consumo del prodotto X? H 4: La situazione d’acquisto modera la validità dell’atteggiamento implicito nel predire il comportamento d’acquisto?
H 1: Modello 1 / Modello 2 Situazione (pressione = 0, normale= 1) Intenzione T 1 Consumo
Il primo modello spiega 45. 1% della varianza nel consumo del prodotto. Il secondo modello spiega 48. 5% della varianza. La variazione del R 2 (. 03) è piccola ma significativamente diversa da 0, F(1, 110) = 7. 27, p <. 001. L’inclusione dell’intenzione al modello precedente aggiunge qualcosa nella varianza spiegata nel consumo.
Considerando il primo modello, la situazione d’acquisto predice il consumo: Maggior consumo del prodotto nella situazione normale che sotto pressione. Considerando il secondo modello, prima notiamo che non c’è multicollinearità tra le due VI. La situazione è ancora un predittore significativo. Inoltre, l’intenzione predice il consumo: al crescere dell’intenzione cresce il consumo.
H 2: Modello di moderazione Implicito Comportamento Esplicito
Il modello spiega 7. 4% della varianza nel comportamento L’atteggiamento implicito non predice il comportamento ma la l’atteggiamento esplicito predice L’interazione è significativa quindi possiamo andare a vedere l’analisi dell’effetto semplice (simple effect analysis)
3) Analisi della pendenza semplice L’atteggiamento implicito predice il comportamento d’acquisto per le persone che hanno un atteggiamento esplicito alto (β =. 32, p =. 023) – più le persone hanno un atteggiamento implicito positivo più comprano il prodotto - ma non per le persone che hanno un atteggiamento esplicito medio o basso (β =. 08, p =. 366 e β =. 15, p =. 279).
H 3: Modello di mediazione Consumo Intenzione T 1 Intenzione T 2
Le tre variabili sono correlate Possiamo condurre l’analisi di mediazione
Prima condizione verificata: Un effetto significativo del predittore (Intenzione Tempo 1) sul criterio (Consumo)
Seconda condizione verificata: Un effetto significativo del predittore (Intenzione Tempo 1) sul mediatore (Intenzione Tempo 2)
Terza condizione verificata: Un effetto significativo del mediatore (Intenzione Tempo 2) sul criterio (Consumo) controllando per l’effetto del predittore (Intenzione Tempo 1)
L’effetto indiretto (M =. 28) è significativamente diverso da 0 come lo mostrano il test di Sobel (z = 4. 22, p <. 001) e il metodo Bootstrap (CI 95%: . 16, . 47)
La mediazione è parziale: L’effetto del predittore sul criterio controllando per l’effetto del mediatore (direct effect) è ridotto rispetto all’effetto semplice/totale ma ancora significativo
Mediazione Intenzione T 1 . 49*** (. 21*) Consumo (. 47***) . 59*** Intenzione T 2 M indiretto =. 28, Sobel z = 4. 23, p <. 001, Bootstrap: 95% CI: . 16, . 47
H 4: Modello di moderazione Implicito Comportamento Situazione (pressione = 0, normale= 1)
Il modello spiega 8. 5% della varianza nel consumo L’atteggiamento implicito e la situazione d’acquisto predicono il consumo Interazione non significativa –La situazione d’acquisto non modera la validità predittiva dell’atteggiamento implicito per il consumo del prodotto X