Alla fine del 1991 erano stati catalogati 121








































- Slides: 40
Alla fine del 1991 erano stati catalogati 121 incidenti nel Major Accident Reporting System (MARS), una banca dati in cui sono stati raccolti i casi più rilevanti di incidenti avvenuti in Europa, individuati sulla base della Direttiva del Consiglio Europeo 82/501/CE, nota come “Direttiva Seveso”. Però, sicuramente, il più grave disastro industriale della storia del mondo avvenne il 3 dicembre 1984 a Bhopal (India). La noncuranza della sicurezza da parte della Union Carbide* provocò una fuoriuscita di 40 tonnellate di isocianato di metile (MIC), conclusasi in tragedia per gli abitanti della città e per km e km nelle aree circostanti. *Union Carbide: multinazionale americana produttrice di pesticidi, localizzata nel cuore della città di Bhopal, nello stato indiano del Madhya Pradesh.
Popolazione: stimata in circa 1, 3 miliardi di persone (17% della popolazione mondiale). Il secondo paese più popoloso del pianeta (dopo la Cina) e, secondo alcune statistiche, potrebbe divenire il primo intorno al 2030. L'aspettativa di vita: 65 anni, e il tasso di crescita della popolazione dell'1, 38% annuo.
Il 4 maggio 1980 il presidente della Union Carbide, Warren Anderson, avviò la produzione del Sevin indiano (carbaryl in campo veterinario). La Union Carbide scoprì questo composto e ne iniziò la commercializzazione nel 1958. A lungo, fu il terzo insetticida utilizzato negli USA per la disinfestazione dei giardini, delle foreste, ma usato anche in agricoltura. In seguito, l’azienda venne assorbita dalla Bayer attraverso l’acquisto della Aventis Crop. Science, che ne controllava il pacchetto azionario.
Nome IUPAC: 1 -naftil metilcarbammato Nome d’uso Sevin commerciale: Codice identificativo Numero CAS 63 -25 -2 Proprietà Formula molecolare Peso molecolare Aspetto Punto di fusione C 12 H 11 NO 2 201. 221 g/mol Solido cristallino incolore 142 °C Si stima che nel 1976 ne siano stati venduti 11 milioni di chili.
Frasi R: R 12 -23/24/25 -36/37/38 R 12: Estremamente infiammabile. R 23/24/25: Tossico per inalazione, ingestione e contatto con la pelle. R 36/37/38: Irritante per gli occhi, le vie respiratorie e la pelle. Frasi S: S 1/2 -9 -30 -43 -45 CH 3 NCO Metil isotiocianato S 1: Conservare sotto chiave. S 2: Conservare fuori portata dei bambini. S 9: Conservare il recipiente in un luogo ben ventilato. S 30: Non versare mai acqua in questo prodotto. S 43: In caso d'incendio utilizzare apparecchi estintori specificati dal produttore. S 45: In caso d'infortunio o di malore, consultare immediatamente un medico (recare possibilmente con sé l'etichetta).
CONTAMINAZIONE AMBIENTALE Già nei primi anni dell’apertura della fabbrica, la Union Carbide iniziò a inquinare il sito dove sorgeva la sua industria. Infatti nei basti, che sorgevano vicino alla “bella fabbrica”, in uno dei loro pozzi si iniziò a sentire un forte odore pestilenziale. L’acqua era di uno strano colore biancastro, quei pozzi furono i primi a “scoprirsi” inquinati. Subito dopo questo episodio, la direzione della fabbrica fece delle analisi, i risultati furono così catastrofici che la stessa direzione ne vietò la divulgazione. I campioni di terra raccolti oltre il perimetro del reparto del Sevin avevano evidenziato un’elevata presenza di mercurio, cromo, nichel, piombo. Nell’acqua dei pozzi situati a sud, sud-est dell’industria, furono rilevati cloroformio, tetracloruro di carbonio e benzene.
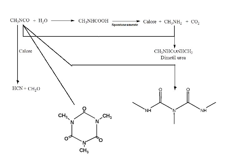
Nel 1981 la produzione del Sevin si innalzò raggiungendo le 2700 tonnellate l’anno, metà della capacità produttiva della fabbrica, grazie anche ad una «scorciatoia» . L’altra reazione non usa MIC ed è un esempio di studio in green chemistry, per quanto usi fosgene, tossico e reattivo con acqua, e metilammina, tossica e infiammabile.
L’isocianato di metile è un liquido chiaro, incolore, con un odore pungente simile al cavolo lesso e causa lacrimazione e temporanea cecità. È altamente infiammabile e solubile in acqua ma reagisce con essa se in ambiente chiuso. L’isocianato di metile deriva dalla reazione della metilammina con il fosgene. COCl 2 Fosgene + CH 3 NH 2 CH 3 NCO + HCl Isocianato di metile Simboli di rischio chimico
EFFETTI DELL'ESPOSIZIONE A BREVE TERMINE La sostanza è gravemente irritante per gli occhi, la cute e il tratto respiratorio. Corrosivo per ingestione. L’inalazione di vapore può causare edema polmonare e reazioni asmatiformi. L'esposizione può portare alla morte. Gli effetti possono essere ritardati. EFFETTI DELL'ESPOSIZIONE RIPETUTA O A LUNGO TERMINE Contatti ripetuti o prolungati possono causare sensibilizzazione cutanea. La sostanza può avere effetto sul tratto respiratorio. Causa tossicità per la riproduzione o lo sviluppo umano.
PERICOLI FISICI Il vapore è più pesante dell'aria e può spostarsi lungo il suolo; si miscela bene con l’aria, a formare miscele facilmente esplosive. Possibile una accensione a distanza. PERICOLI CHIMICI La sostanza può polimerizzare quando pura e/o per forte riscaldamento e sotto l'influenza di metalli. Si decompone al contatto con acqua, acidi e basi, producendo gas tossici quali l’acido cianidrico, ossidi di azoto e monossido di carbonio. Attacca alcuni tipi di plastica e di gomma.
TOSSICITÀ Pareri e studi molto controversi. Risulterebbe essere un inibitore della colinesterasi e potenzialmente tossico per l’uomo se sottoposto ad una prolungata esposizione. Se ingerito, l’uomo è in grado solo parzialmente di metabolizzarlo e espellerlo tramite le urine. Attualmente l’EPA lo classifica come un potenziale carcinogeno umano. È strutturalmente simile al neuroormone melatonina e quindi potrebbe impattare i ritmi circadiani e aumentare il rischio di diabete e disordini metabolici.
Anche se tossico per gli insetti, il sevin/carbaryl è eliminato rapidamente negli vertebrati. Non si accumula nei grassi né tantomeno nel latte. Ciò comporta che non venga trasmesso durante l’allattamento e che sia possibile quindi usarlo in paesi quali gli USA, ma non in altri quali Inghilterra, Austria, Danimarca, Svezia, Iran, Germania e Angola. È il principio attivo dello shampoo Carylderm usato per combattere i pidocchi. Se ne consiglia un uso limitato e comunque per breve periodi dato che risulta tossico anche per un gran numero di insetti e di crostacei, indispensabili e assolutamente non pericolosi. Ad esempio, risulta molto tossico per le api, non molto per i topi: Oral LD 50: da 250 mg/kg a 850 mg/kg
Nell’autunno del 1983 gli impianti di sicurezza vennero disattivati: sospesa la produzione, non aveva senso spendere denaro per mantenere in esercizio i sistemi d’allarme e intervento (!!!). La refrigerazione delle vasche del MIC fu interrotta, la sospensione della manutenzione ordinaria e lo spegnimento della fiamma pilota della torre di combustione, ultimo sistema di sicurezza per bloccare eventuali fughe di gas contaminante, furono sospese. Alla fine del 1983 a Bhopal non c’era più neanche un ingegnere. La “bella fabbrica” chiuse definitivamente, con 63 tonnellate di isocianato di metile in vasche non più refrigerate.
Anche la sera del 2 dicembre bisogna lavare i tubi. Il personale non specializzato di turno esegue gli ordini scritti che dicono di isolare le sezioni dei tubi e immettere acqua. Ma quella sera una delle saracinesche si è talmente incrostata che l’acqua non passa in nessun modo e la sua pressione aumenta. Per una non corretta interpretazione degli ordini, o meglio a causa del degrado dell’impianto, le tubature non bene isolate causano la fuoriuscita dell’acqua che scorre verso la cisterna piena di MIC. È mezzanotte circa quando alcuni operai di guardia sentono uno strano odore di cavolo lesso nell’aria… l’acqua è arrivata nella vasca provocando la reazione del MIC. Le 42 tonnellate di MIC si disintegrano in un’esplosione di calore che trasformerà rapidamente il liquido in un vortice gassoso con un aumento vertiginoso della pressione.
Infiltrazione di acqua nel serbatoio del MIC Reazione fortemente esotermica Ebollizione istantanea del MIC Aumento della pressione e della temperatura Apertura della valvola di sicurezza… ma la valvola era rotta da tempo! Tonnellate di MIC si riversarono direttamente nell’atmosfera
Il gas viaggia verso la torre di decontaminazione, dove dovrebbe trovare la fiamma del bruciatore pronta a incenerirlo. Ma la fiamma è spenta e il gas trova, come ostacolo, solo valvole chiuse. Quando le valvole saltano a causa della forte pressione, un geyser altissimo sprizza sopra l’impianto. Il sovrintendente di turno, pur non potendo bloccare l’eruzione della vasca 610, riesce ad isolare la vasca 611, con 21 tonnellate di MIC. La nuvola chimica si dirige verso le bidonville dei quartieri poveri che si trovano nei dintorni, abbattendosi senza rumore su centinaia di migliaia di persone. Nelle strade le persone morirono, tra spasmi, con polmoni e occhi in fiamme. Gli ospedali colmi di migliaia di agonizzanti che sono ciechi e soffocano e vomitano. I medici non sanno cosa fare.
Il primo obiettivo dell'azienda era la Sicurezza come annunciato nelle sue campagne promozionali, ossia la sicurezza del personale innanzitutto, e per questo motivo l'azienda donò all'ospedale della città l'attrezzatura necessaria per la rianimazione in caso di contaminazioni gassose e allestì un piccolo ospedale interno per eseguire tutti gli esami necessari al controllo dello stato di salute dei lavoratori e alla cura di eventuali disturbi respiratori. I medici che vi operavano non erano però stati istruiti circa patologie dovute a fughe di gas, in particolare di isocianato di metile. I tecnici della Carbide non diedero informazioni sulla composizione della nube tossica, non essendo autorizzati, e quindi non fu facile trovare un antidoto.
Impossibile stabilire con esattezza il numero dei morti, furono sterminate intere famiglie, moltissimi senzatetto. I musulmani vennero sepolti in fosse comuni, gli indù bruciati a centinaia. Persero la vita all’incirca 8. 000 persone solo nella prima notte, tra 20 e 30. 000 morirono nei mesi successivi, si ebbero più di 500. 000 intossicati…ma nessuno saprà mai il numero esatto delle persone che perirono. Nel novembre 2004 gli investigatori della BBC confermarono che la contaminazione era ancora viva.
Un controllo, un’ attenzione in più e si sarebbero salvate migliaia di vittime innocenti…
DANNI ALLA SALUTE UMANA/1 I primi organi ad essere colpiti furono gli occhi e i polmoni: molte donne non potevano accendere i fornelli per cucinare senza rischiare un’emorragia polmonare a causa del fumo. Altri organi colpiti furano il fegato (molti si ammalarono di itterizia*), i reni, l’apparato digestivo e quello genitale, oltre al sistema nervoso e a quello immunitario. Innumerevoli vittime caddero in uno stato di spossatezza tale da rendere impossibile ogni movimento e accusavano crampi ed emicranie ricorrenti. *Si definisce ittero la colorazione giallastra della pelle e delle mucose causata da livelli eccessivi di bilirubina nel sangue. La bilirubina deriva dal catabolismo dell'eme (molecola contenuta nell'emoglobina), ed è presente nel corpo umano nelle forme diretta o indiretta. In quest’ultima la bilirubina è stata glucoronoconiugata dal fegato e resa idrofila, adatta ad essere eliminata con la bile. Può essere dovuta ad un'eccessiva esposizione ai fenoli.
DANNI ALLA SALUTE UMANA/2 Molti danni neurologici si manifestavano convulsione e paralisi, che portavano al coma e alla morte. Tante anche le malattie di natura psicologica, come la sindrome da panico che faceva sprofondare i pazienti in uno stato ansioso incontrollabile. Accelerazione del ritmo cardiaco, sudori, tremori, prurito insopportabile, depressioni, crisi d’impotenza, anoressia. *La bilirubina concorre all’aumento dei livelli di bile, che transitando per l’intestino viene poi eliminata con le feci. Se l’eliminazione rallenta, i sali biliari contenuti nella bile quando vanno in circolo tendono a depositarsi a livello cutaneo, dando appunto un intenso prurito.
Il Governo indiano, nel 1985, richiede alla Carbide un risarcimento di 3 miliardi e 300 milioni di dollari, per le vittime e le loro famiglie. Solamente nel 1989 fu raggiunta una transizione in base alla quale la Union Carbide si impegnava a pagare 470 milioni di dollari (16% circa di qaunto richiesto). Tuttavia dei 470 milioni di dollari, pagate le parcelle degli avvocati che avevano lavorato per il governo indiano, e le tangenti ai funzionari corrotti, le vittime del massacro hanno avuto un obolo di 300 dollari. Quanto bastava per curarsi per 5 anni. Briciole se paragonate ai 30 miliardi di fatturato annuo della Dow Chemicals o ai 10 milioni di dollari pagati dalla Dow alla famiglia di Joshua Herbs che ebbe un danno cerebrale causato dall’esposizione ad un pesticida prodotto dall’azienda (il Dursban).
Un sopravvissuto, Champa Devi Shukla, ricorda che «Era come se qualcuno avesse cosparso il mio corpo con pepe rosso, i miei occhi lacrimavano, muco colava dal naso ed avevo la schiuma alla bocca. La tosse era così forte che la gente era preda del panico. La gente correva in tutte le direzioni, tutti erano solo preoccupati di raggiungere qualche posto sicuro e così correvano. Quelli che cadevano non erano aiutati da nessuno, ma erano calpestati dagli altri. La persone si arrampicavano e si urtavano gli uni con gli altri nel tentativo di salvarsi, anche le mucche correvano in tutte le direzioni e nella corsa travolgevano la gente» .
Bhopal conta oggi circa duecentomila persone affette da malattie croniche conseguenti alla tragedia, che ogni mese continua a mietere da dieci a quindici vittime. Migliaia sono ciechi, o hanno avuto i polmoni danneggiati in maniera tale da non poter più lavorare; in molti casi la respirazione è così limitata che non consente loro di camminare. Tuttora si manifestano casi di insufficienza respiratoria, tosse persistente, ulcerazione della cornea, cataratta giovanile, anoressia, febbri ricorrenti, ustione della pelle, depressione, stati di debolezza. Altissimi casi di cancro e di tubercolosi, numerosi disturbi ginecologici cronici, come assenza di mestruazioni o la loro comparsa 4/5 volte al mese, nonché menopausa precoce.
Un recente studio condotto a Bhopal sui modelli di crescita degli adolescenti, pubblicato dal “Journal of American Medical Association”, ha trovato un ritardo selettivo nella crescita dei bambini maschi nati da genitori esposti a quella miscela gassosa. I bambini risultano più bassi, magri, e con la testa più piccola, inoltre, hanno una crescita anormale in cui la parte superiore del corpo risulta proporzionalmente più piccola di quella inferiore. In un'inchiesta della BBC nel novembre 2004, è stato mostrato che l'area è ancora contaminata da 'migliaia' di tonnellate di sostanze chimiche tossiche tra cui esaclorobenzene e mercurio contenute in contenitori aperti o abbandonate sul terreno. Alcune aree sono così inquinate chi vi si trattiene per più di una decina di minuti rischia una perdita di conoscenza. La pioggia trascina queste sostanze nel terreno contaminando pozzi e sorgenti d'acqua.
Warren Anderson Osama bin Laden La nuvola di gas velenoso era così densa e bruciante che la gente era praticamente ridotta alla cecità. Mentre ansimavano nel tentativo di respirare, l'effetto soffocante del gas aumentava. Il gas bruciava occhi e polmoni e attaccava il loro sistema nervoso. La gente perse il controllo del proprio corpo: urina e feci scorrevano sulle gambe… Secondo Rashida Bi, un sopravvissuto, "quelli che scamparono furono gli sfortunati: i fortunati sono quelli che morirono in quella notte".
Colpì un’area talmente vasta che gli ospedali furono presi d’assalto da una moltitudine di persone avvelenate… troppe per riuscire a curarle tutte. Oltre ai sintomi immediati, ha provocato anche danni genetici permanenti, infatti dopo il disastro morirono molti più neonati a causa di malformazioni fisiche e genetiche
L’isocianato di metile deriva dalla reazione della metilammina e del fosgene. Il fosgene (o cloruro di carbonile) a temperatura ambiente è un gas incolore estremamente tossico e aggressivo, dal tipico odore di fieno ammuffito. Il suo numero CAS è 75 -44 -5. Da un punto di vista sistematico, è il dicloruro dell'acido carbonico. È un prodotto di sintesi, ma piccole quantità possono formarsi in natura dalla decomposizione e dalla combustione di composti organici contenenti cloro.
Il fosgene fu sintetizzato per la prima volta dal chimico John Davy nel 1812. Fu inizialmente usato come arma chimica da francesi e tedeschi nella prima guerra mondiale che ne aggiungevano piccole quantità al cloro per aumentarne la tossicità. Poco tempo dopo si iniziò ad usarlo tal quale e si calcola che i morti dovuti al suo uso nella prima guerra mondiale siano stati circa 100. 000. L'esercito italiano ha utilizzato il fosgene in Libia e in Etiopia durante la campagna d'Africa sia contro militari sia contro civili.
Il fosgene è un veleno particolarmente insidioso, perché non provoca effetti immediati. In genere, i sintomi si manifestano tra le 24 e le 72 ore dopo l'esposizione. Combinandosi con l'acqua contenuta nei tessuti del tratto respiratorio, il fosgene si decompone in anidride carbonica e acido cloridrico; quest'ultimo dissolve le membrane delle cellule esposte causando il riempimento delle vie respiratorie di liquido. La morte sopraggiunge per combinazione di emorragie interne, shock e insufficienza respiratoria.
Industrialmente, il fosgene viene prodotto facendo fluire ossido di carbonio e cloro gassosi su un letto di carbone ad alta porosità, che agisce da catalizzatore. La reazione che avviene è: CO + Cl 2 → COCl 2 La reazione è esotermica e quindi il reattore deve essere raffreddato continuamente. In genere la reazione viene condotta a temperature comprese tra i 50 °C ed i 150 °C; sopra i 200 °C il fosgene torna a decomporsi in cloro e ossido di carbonio.
Un'altra reazione in cui viene prodotto fosgene è quella tra tetraclorometano e acqua ad alte temperature: CCl 4 + H 2 O → COCl 2 +2 HCl Per via dei problemi di sicurezza legati al suo trasporto ed al suo stoccaggio, quasi sempre il fosgene è prodotto ed utilizzato nello stesso impianto chimico. Il fosgene è principalmente impiegato come materia prima nella produzione di polimeri, tra cui i poliuretani, i policarbonati e le poliuree. Viene usato anche per produrre isocianati e cloruri acilici, intemedi nelle produzioni di pesticidi, coloranti e molecole di interesse farmaceutico. Tramite l'uso del fosgene è possibile isolare alcuni metalli - tra cui alluminio e uranio - dai loro minerali, ma si tratta di processi poco usati per via della pericolosità della sostanza.
L'acido cianidrico (o prussico) è un acido debole i cui sali sono chiamati cianuri. A temperatura ambiente è un liquido volatile incolore i cui vapori hanno un tipico odore di mandorle amare. È un composto molto reattivo e estremamente tossico: 300 ppm di vapori di acido cianidrico nell'aria possono uccidere una persona nell'arco di pochi minuti. La dose mortale per via orale è di circa 1 -2 mg/kg p. c. , mentre una dose più alta conduce a morte pressoché istantanea. La tossicità è dovuta allo ione cianuro che combinandosi con il Cu ed il Fe presenti nel sito attivo dell'enzima citocromo c ossidasi, blocca la catena di trasporto degli elettroni e, di conseguenza, la respirazione cellulare.
Zyklon B (o Zyclon B) era il nome commerciale del pesticida utilizzato in aluni campi di concentramento tedeschi, principalmente Auschwitz e Majdanek. Il pesticida, sviluppato originariamente negli anni '20 da Fritz Haber, un ebreo tedesco (!!!). Era composto da piccole palline o dischetti, di polpa di legno o terra diatomacea che venivano impregnate con acido cianidrico, uno stabilizzatore ed una sostanza irritante d'allarme. Le palline rilasciavano l'acido cianidrico in forma di gas quando venivano rimosse dai loro contenitori sottovuoto. Lo Zyklon B fu inizialmente usato nei campi di concentramento contro i pidocchi e per il controllo del tifo.
Scatolette di Zyklon B usate dai nazisti trovate nel lager
Dai bonifici effettuati dalle SS a questa società si deduce che furono forniti al campo di concentramento di Auschwitz: 2. 211 kg di Zyklon B nel 1942 5. 000 kg di Zyklon B nel 1943 500 kg di Zyklon B nel 1944 Per uccidere un uomo erano necessari circa 70 milligrammi. L'acido cianidrico a 200 mg/m³ uccide un uomo in circa 10 minuti. Così, 5/7 chili di questo acido, fatto cadere nella camera della morte attraverso un'apertura nel soffitto, consentivano di uccidere 1. 000 - 2000 persone nel giro di pochi minuti. Laddove l'uso di tale metodo si fosse rivelato antieconomico, i nazisti preferivano utilizzare iniezioni di fenolo: ad Auschwitz veniva utilizzata una soluzione acquosa di fenolo, iniettata direttamente nel ventricolo sinistro, la quale causava la morte entro 10 -15 secondi.
L'acido cianidrico è prodotto industrialmente e impiegato come reagente intermedio nella sintesi di numerosi composti chimici quali materie plastiche, coloranti, esplosivi, farmaci. È prodotto per reazione tra un cianuro e un acido forte: Na. CN + H 2 SO 4 → Na. HSO 4 + HCN Na. CN + HCl → Na. Cl + HCN Su scala industriale si prepara dalla reazione del metano con ammoniaca e ossigeno a temperatura superiore ai 1000 ºC e raffreddando poi rapidamente la miscela gassosa ottenuta dalla reazione per evitare che l'acido cianidrico, non appena formatosi, si decomponga sotto l'azione delle alte temperature: CH 4 + NH 3 + 1/2 O 2 → HCN + 3 H 2 O