ALKOHOLY Amfotern charakter alkohol Kyselost alkohol Kyselost alkohol

  • Slides: 39
Download presentation
ALKOHOLY

ALKOHOLY

» Amfoterní charakter alkoholů

» Amfoterní charakter alkoholů

Kyselost alkoholů

Kyselost alkoholů

Kyselost alkoholů

Kyselost alkoholů

» Následující alkoholy seřaďte podle vzrůstající kyselosti ______________________________

» Následující alkoholy seřaďte podle vzrůstající kyselosti ______________________________

» Zdůvodněte, která ze sloučenin je kyselejší

» Zdůvodněte, která ze sloučenin je kyselejší

» Dehydratace alkoholů – napište mechanismus uvedené reakce

» Dehydratace alkoholů – napište mechanismus uvedené reakce

» Dehydratace alkoholů – napište mechanismus uvedené reakce

» Dehydratace alkoholů – napište mechanismus uvedené reakce

» Dehydratace alkoholů – doplňte hlavní produkt a napište mechanismus uvedené reakce

» Dehydratace alkoholů – doplňte hlavní produkt a napište mechanismus uvedené reakce

» Dehydratace alkoholů – napište mechanismus uvedené reakce a zdůvodněte vznik hlavního produktu

» Dehydratace alkoholů – napište mechanismus uvedené reakce a zdůvodněte vznik hlavního produktu

» Konverze alkoholů na alkylhalogenidy S N 1

» Konverze alkoholů na alkylhalogenidy S N 1

» Konverze alkoholů na alkylhalogenidy Příprava chlor-derivátů SN i

» Konverze alkoholů na alkylhalogenidy Příprava chlor-derivátů SN i

» Mechanismus reakce s thionylchloridem s inverzí konfigurace

» Mechanismus reakce s thionylchloridem s inverzí konfigurace

» Vzájemné přeměny alkylhalogenidů Finkelsteinova reakce

» Vzájemné přeměny alkylhalogenidů Finkelsteinova reakce

» Doplňte jednotlivé reakce

» Doplňte jednotlivé reakce

» Vysvětlete vznik hlavního produktu reakce, pomocí šipek zapište mechanismus

» Vysvětlete vznik hlavního produktu reakce, pomocí šipek zapište mechanismus

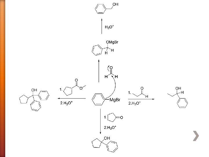
» Připravte pomocí G. č. následující sloučeninu

» Připravte pomocí G. č. následující sloučeninu

» Chránění hydroxylové skupiny

» Chránění hydroxylové skupiny

» Využití chránící skupiny

» Využití chránící skupiny

Collinsovo činidlo Cr. O 3 · 2 Py PCC pyridinium-chlorochromát Cr. O 3 ·

Collinsovo činidlo Cr. O 3 · 2 Py PCC pyridinium-chlorochromát Cr. O 3 · Py · HCl DMP Dess- Martin periodinane

» Oxidace alkoholů

» Oxidace alkoholů

» Oxidativní štěpení diolů viz oxidativní štěpení alkenů

» Oxidativní štěpení diolů viz oxidativní štěpení alkenů

» Doplňte hlavní produkty následujících reakcí

» Doplňte hlavní produkty následujících reakcí

» Identifikujte reagenty pro následující přeměny

» Identifikujte reagenty pro následující přeměny

» Identifikujte reagenty pro následující přeměny

» Identifikujte reagenty pro následující přeměny

» Identifikujte reagenty pro následující přeměnu

» Identifikujte reagenty pro následující přeměnu

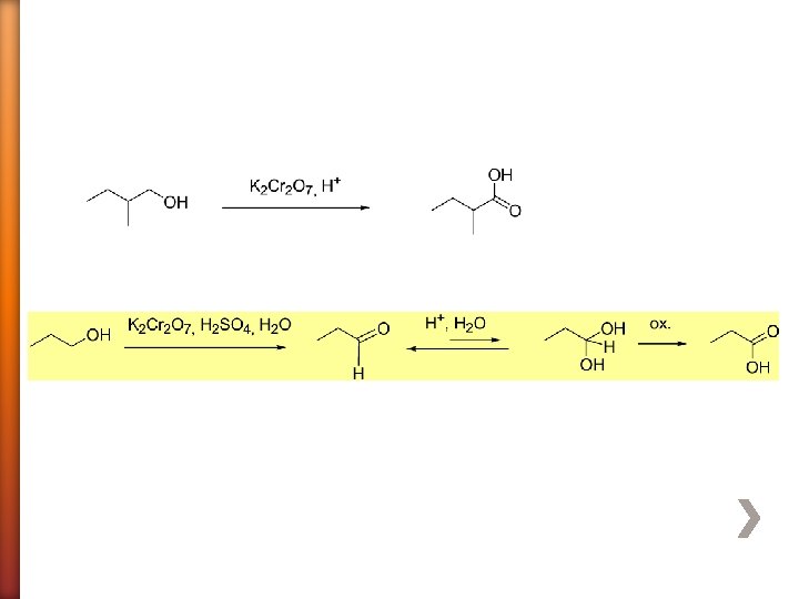
» Navrhněte reagenty pro následující přeměnu

» Navrhněte reagenty pro následující přeměnu

» Navrhněte reagenty pro následující přeměny

» Navrhněte reagenty pro následující přeměny

» Navrhněte reagenty pro následující přeměnu

» Navrhněte reagenty pro následující přeměnu

» Navrhněte reagenty pro následující přeměnu

» Navrhněte reagenty pro následující přeměnu

» Navrhněte reagenty pro následující přeměnu

» Navrhněte reagenty pro následující přeměnu

» Navrhněte reagenty pro následující přeměnu

» Navrhněte reagenty pro následující přeměnu

» Navrhněte reagenty pro následující přeměnu

» Navrhněte reagenty pro následující přeměnu

» Navrhněte reagenty pro následující přeměnu

» Navrhněte reagenty pro následující přeměnu

» Navrhněte mechanismus pro následující reakci

» Navrhněte mechanismus pro následující reakci