ALKENA Oleh Prof Dr Suyatno M Si JURUSAN
























- Slides: 24
ALKENA Oleh: Prof. Dr. Suyatno, M. Si. JURUSAN KIMIA-FMIPA UNESA 2020
TATANAMA ALKENA DAN ALKUNA ATURAN SAMA DENGAN ALKANA DENGAN BEBERAPA TAMBAHAN: • Ikatan ganda dua diberi akhiran –ena sedangkan ikatan ganda tiga diberi akhiran –una ( untuk dua ikatan ganda tiga disebut diuna). Kedua akhiran (ena dan –una) digunakan jika kedua jenis ikatan tersebut terdapat bersamaan dalam satu senyawa. • Dalam senyawa siklik yang mengandung ikatan ganda maka cara penomoran adalah karbon yang mempunyai ikatan ganda mendapatkan nomor yang rendah. • Kedudukan ikatan ganda dinyatakan menurut nomor atom karbon yang paling rendah dari setiap ikatan ganda. Nomor-nomor ini diletakkan di muka nama senyawa.
PEMBUATAN ALKENA 1. Dehidrohalogenasi alkil halida
2. Dehidrasi Alkohol
Kereaktifan alkohol tersier> alkohol sekunder > alkohol primer
3. Hidrogenasi alkuna 4. Proses Cracking (Pirolisis)
SOAL LATIHAN 1. Write the cis/trans structure of the following compounds: a. 4 -methyl-3 -hexene b. 2, 4 -dimethyl-3 -hexene c. 2 -methyl-2 -pentene d. 4 -methyl-2 -hexene e. 3 -hexene-3 -ol f. 3 -methyl-2 -pentene g. 2 -butene-2 -ol h. 3 -methyl-3 -hexene i. 2, 5 -dibromo-2, 5 -heptadiene j. 2, 5 -oktadiene k. 1, 4 -dichloro-1, 4 -hexadiene l. 2 -methyl-3 -hexene m. 2 -chloro-2 -pentene n. 3 -chloro-3 -hexene o. 1, 5 -dibromo-2, 4 -hexadiene
Berilah nama IUPAC senyawa berikut:
REAKSI-REAKSI ALKENA 1. Addisi Hidrogenasi Jumlah panas yang di keluarkan bila 1 mol senyawa tidak jenuh dihidrogenasi disebut panas hidrogenasi
2. Addisi Halogen Adisi Cl 2 dan Br 2 dapat berlangsung dengan cepat, sedangkan I 2 umumnya tidak bereaksi Adisi Br 2 dipergunakan untuk menunjukkan ikatan rangkap C=C. Ikatan Br 2 dalam CCl 4 yang berwarna merah-coklat bila terjadi reaksi adisi warna coklat segera hilang / tidak berwarna.
Aturan Markovnikov: addisi asam terhadap alkena yang tak simetri, atom H akan terikat pada atom C yang telah mengikat atom H lebih banyak.
4. Addisi asam Sulfat
5. Addisi H 2 O Hidrasi
6. Pembentukan Halohidrin
7. Dimerisasi
8. Epoksidasi 9. Hidroksilasi (Pembentukan Glikol)
10. Ozonolisis
+ Zn. O
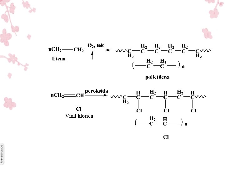
11. Polimerisasi Penggabungan beberapa molekul kecil menjadi satu besar (dipanaskan pada suhu tertentu). • Bila polimerisasi terjadi dari 2 molekul alkena dimer • Bila polimerisasi terjadi dari 3 molekul alkena trimer • Bila polimerisasi terjadi dari 4 molekul alkena tetramer • Bila polimerisasi terjadi dari banyak molekul alkena polimer • Molekul tunggalnya monomer
• Pembuatan plastik • Pembuatan karet sintetik • Untuk memperbaiki nilai oktan pada proses pengolahan minyak bumi.
Selesaikan reaksi dibawah ini: