ALKAN 1 1 Hay viet CTCT cua cac

  • Slides: 18
Download presentation
ALKAN 1

ALKAN 1

1. Haõy vieát CTCT cuûa caùc hôïp chaát vaø caùc goác sau: 4 -propyl-5

1. Haõy vieát CTCT cuûa caùc hôïp chaát vaø caùc goác sau: 4 -propyl-5 -isopropyloctan Di tert-buthylmethan 2, 3, 5 -trimethylhexan 2, 3 -dimethyl-4 -propyl-4 -isopropylheptan 2, 2, 4, 4 -tetramethyl-3, 3 -diethylpentan 2

Sec-butyl isoamyl Tert-butyl neopentyl 3

Sec-butyl isoamyl Tert-butyl neopentyl 3

2. Goïi teân theo danh phaùp IUPAC 2, 2, 4 -trimethylpentan 2, 2, 4,

2. Goïi teân theo danh phaùp IUPAC 2, 2, 4 -trimethylpentan 2, 2, 4, 4 -tetramethylhexan 3, 5 -dimethyl-4 -propylheptan 2, 2, 4, 5 -tetramethyl-4 -ethylhexan 2 -methyl-4 -ethylhexan 4

3. Goïi teân caùc hôïp chaát theo danh phaùp IUPAC b. Ethylisopropylbutylmethan a. Dimethyldipropylmethan

3. Goïi teân caùc hôïp chaát theo danh phaùp IUPAC b. Ethylisopropylbutylmethan a. Dimethyldipropylmethan 4, 4 -dimethylheptan 2 -methyl-3 -ethylheptan c. Triethyl tert-butylmethan. 2, 2 -dimethyl-3, 3 -diethylpentan 5

d. Tetraisopropylmethan 2, 4 -dimethyl-3, 3 -diisopropylpentan e. Dimethyl sec-butylisobutylmethan 2, 4, 4, 5

d. Tetraisopropylmethan 2, 4 -dimethyl-3, 3 -diisopropylpentan e. Dimethyl sec-butylisobutylmethan 2, 4, 4, 5 -tetramethylheptan 6

7. Cho bieát pp ñieàu cheá a. b. n-hexan n-butan c. 7

7. Cho bieát pp ñieàu cheá a. b. n-hexan n-butan c. 7

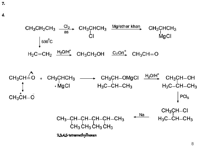
7. d. 2, 3, 4, 5 -tetramethylhexan 8

7. d. 2, 3, 4, 5 -tetramethylhexan 8

8. Nhaän xeùt vaø boå tuùc theâm sp cuûa p/öù ñieàu cheá n-pentan döïa

8. Nhaän xeùt vaø boå tuùc theâm sp cuûa p/öù ñieàu cheá n-pentan döïa treân p/öù sau: 9

9. Döïa vaøo p/öù Wurtz ñieàu cheá caùc chaát a. isopropylisobutylmetan b. 2, 3

9. Döïa vaøo p/öù Wurtz ñieàu cheá caùc chaát a. isopropylisobutylmetan b. 2, 3 -dimethylpentan c. 3, 3, 4, 4 -tetramethylhexan 10

9. d. 3 -methylpentan e. 2 -methylhexan 11

9. d. 3 -methylpentan e. 2 -methylhexan 11

10. Cho bieát soá ñoàng phaân monochloro coù ñöôïc trong p/öù cuûa chlor vôùi:

10. Cho bieát soá ñoàng phaân monochloro coù ñöôïc trong p/öù cuûa chlor vôùi: ethan n-butan n-pentan 12

10. isopentan 13

10. isopentan 13

11. Döïa vaøo p/öù Wurtz coù theå ñieàu cheá 3, 4 -dimethylhexan töø nhöõng

11. Döïa vaøo p/öù Wurtz coù theå ñieàu cheá 3, 4 -dimethylhexan töø nhöõng RX naøo? RX naøo laø thích hôïp hôn caû Sec-butylchlorid 3, 4 -dimethylhexan 14

12. Chuyeån isobutylchlorid thaønh hydrocarbon no vôùi a. Cuøng soá carbon b. Vôùi soá

12. Chuyeån isobutylchlorid thaønh hydrocarbon no vôùi a. Cuøng soá carbon b. Vôùi soá carbon gaáp ñoâi 15

12. c. Vôùi soá carbon giaûm 1 16

12. c. Vôùi soá carbon giaûm 1 16

13. Ñieàu cheá ethan töø: a. Ethylbromid b. Acid acetic c. Töø caùc chaát

13. Ñieàu cheá ethan töø: a. Ethylbromid b. Acid acetic c. Töø caùc chaát voâ cô 17

14. Xaùc ñònh taùc nhaân thích hôïp cho caùc p/öù 18

14. Xaùc ñònh taùc nhaân thích hôïp cho caùc p/öù 18