ALGORITMI Skup pravila u cilju rjeavanja odreenog tipa





























- Slides: 29
ALGORITMI Skup pravila u cilju rješavanja određenog tipa zadataka, zove se algoritam. Svako pojedinačno pravilo zove se algoritamski korak. Navesti primjere : promjene gume na automobilu, ustajanje iz kreveta, pravljenje hljeba, a onda i neki matematički primjer
• Da bi zapis algoritma bio pregledan, pogodno je koristiti njegov grafički prikaz. To se zove algoritamska šema, blok dijagram ili organigram.
Algoritamske šeme složene jednostavne linijske ciklične proste konstantne razgranate promjenljive
• Niz algoritamskih koraka, u kojem se svaki algoritamski korak može izvršiti najviše jedanput, u toku jednog izvršavanja algoritma, čini linijsku algoritamsku šemu. • Prosta linijska šema se sastoji isključivo od algoritamskih koraka ulaza, obrade i izlaza. • Na primjer: izračunati obim kruga O=2 r
Primjeri (Linijska strukura): • Napisati algoritam za računanje godina starosti. • Napisati algoritam za pretvaranje km/h u m/s. • Naći aritmetičku sredinu tri broja. • Za poznate katete naći obim i površinu pravouglog trougla. Daljnji rad: Linijska struktura - Riješeni zadaci
Napisati algoritam za računanje godina starosti .
Napisati algoritam za pretvaranje km/h u m/s .
Naći aritmetičku sredinu tri broja.
Za poznate katete naći obim i površinu pravouglog trougla.
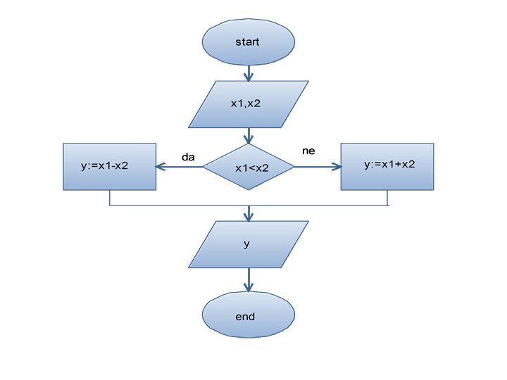
• Razgranata linijska šema je ona kod koje se svaki algoritamski korak izvršava najviše jedanput. To znači da postoje algoritamski koraci koji se ne izvrše. Ovdje mora postojati bar jedan uslovni korak koji omogućava grananje algoritma.
Primjeri (Razgranata strukura): • • Od dva broja naći veći. • Ispisati recipročnu vrijednost broja. • Učitati dva realna broja, ako je prvi veći ili jednak drugom, napisati njihov zbir inače razliku. • Učitati prirodan broj. Ako je neparan ispisati njegovu recipročnu vrijednost, a ako je paran ispisati recipročnu vrijednost njegovog sljedbenika. Razgranata struktura - Riješeni zadaci • Daljnji rad:
Od dva broja naći veći.
Ispisati recipročnu vrijednost broja.
Učitati dva realna broja, ako je prvi veći ili jednak drugom, napisati njihov zbir inače razliku.
Učitati prirodan broj. Ako je neparan ispisati njegovu recipročnu vrijednost, a ako je paran ispisati recipročnu vrijednost njegovog sljedbenika.
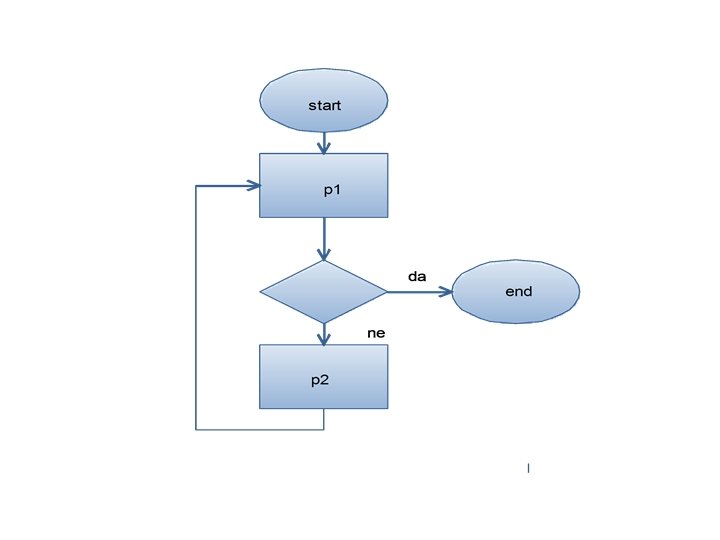
• Niz algoritamskih koraka u kojem se jedan ili više algoritamskih koraka mogu izvršiti više od jedanput čini cikličnu šemu. Svaka od ovih struktura sastoji se od dvije proste linijske šeme P 1 i P 2 i uslovnog algoritamskog koraka. Ako je uslov ispunjen vrši se izlazak iz ciklusa, a ako uslov nije ispunjen, ciklus se ponavlja. • Ciklična šema u kojoj ne dolazi do promjene zakona obrade zove se konstantna šema. • Šema u kojoj dolazi do promjene zakona obrade zove se promjenljiva. Izlazni kriteriji iz ovih šema su najčešće broj ponavljanja ciklusa ili dostignuta tačnost pri računanju.
Primjeri (Ciklična struktura): • Saberi parne prirodne brojeve do 100. • Saberi trocifrene brojeve koji završavaju sa 7. • Saberi prirodne brojeve od A do B. • Pomnoži dvocifrene brojeve djeljive sa 3. • Saberi i pomnoži prirodne brojeve do N djeljive sa 3. • Naći aritmetičku sredinu prvih N prirodnih brojeva.
Primjeri: Daljnji rad: • • • FOR petlja - Riješeni zadaci WHILE petlja - Riješeni zadaci REPEAT petlja - Riješeni zadaci Ispis prirodnih brojeva od 1 do N - u tri petlje Ispis prirodnih brojeva od K do N - u tri petlje Ispis prirodnih, parnih i neparnih od 1 do N - WHILE petlja Ispis prirodnih, parnih i neparnih od K do N - WHILE petlja Ispis prirodnih, parnih i neparnih od 1 do N - REPEAT petlja Ispis prirodnih, parnih i neparnih od K do N - REPEAT petlja Ispis brojeva i ispis unazad - REPEAT petlja
Saberi prirodne brojeve od A do B.
Saberi trocifrene brojeve koji završavaju sa 7.
Saberi prirodne brojeve od A do B.
Pomnoži dvocifrene brojeve djeljive sa 3.
Saberi i pomnoži prirodne brojeve do N djeljive sa 3.
Naći aritmetičku sredinu prvih N prirodnih brojeva.
• Različitim kompozicijama ovih elementarnih struktura grade se složene algoritamske šeme. Pripremila: Milka Džombić