AfterTax Analysis October 24 2014 Summary of Last
After-Tax Analysis October 24, 2014
Summary of Last Lecture Our business has to pay taxes. We can deal with this either by doing a pretax analysis and increasing our MARR to take account of the fact that some of our profits will go in tax Or by doing an after-tax analysis, which is more work but more realistic.
Province or territory Newfoundland Labrador Nova Scotia Prince Edward Island New Brunswick Ontario Manitoba Saskatchewan British Columbia Yukon Northwest Territories Nunavut Alberta Quebec Small bus. Higher rate 4% 14% 3. 5% 16% 4. 5% 12% 4. 5% 11. 5% 0% 12% 2. 5% 11% 4% 15% 4% 11. 5% 4% 12% 3% 10% 8% 11. 9% In BC, ``small’’ means less than $400 000 taxable annual income
Pre-Tax Analysis
After-Tax Analysis
After-Tax Analysis Same as pre-tax analysis, except we use the after-tax MARR and adjust the cash flows to take account of the effects of taxation. Taxation has two main effects: Operating costs and incomes are affected by the tax rate (simple) Capital costs are affected by the tax rate and depreciation allowances (a bit complicated) Details depend on the country we’re in.
Capital Cost Allowance When a company buys a capital asset, it can’t deduct the cost of the purchase from its income. But it can deduct the subsequent annual depreciation of the asset from its income. The rules for how and how fast things depreciate vary from one country to another.
For an after-tax analysis, we reduce the initial cost of a capital acquisition by the present value of the taxes saved by depreciating it. The government groups all possible capital acquisitions into a small number of classes, and sets rules for how fast the assets in a given class can depreciate. You begin each year with a certain amount in each asset class – the `Undepreciated Capital Cost’, or `UCC’ – and depreciate it by the Capital Cost Allowance, or `CCA’.
Algorithm for Calculating Deductions in a CCA Class 1. Start with the undepreciated capital cost UCCn-1 2. Subtract proceeds from assets sold during the year 3. Add 50% of the cost of asset additions 4. Carry forward the 50% balance from any assets added last year 5. Subtract government assistance payments or tax credits 6. Calculate the CCA for this asset class from the total at step 5: CCA = UCCn-1 * d 7. UCCn = UCCn-1 - CCA
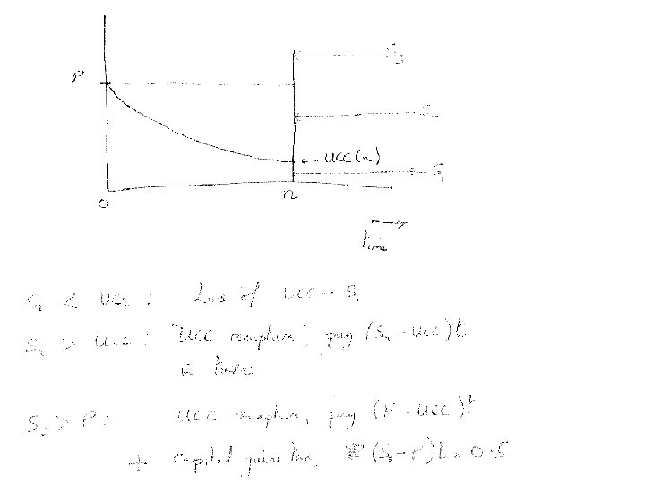
CCA Recapture You buy an asset for $P. It is the only asset in its class, and it depreciates over n years. At the beginning of year n, its book value is UCC(n) If we now sell it for $S, then: 1. If S < UCC(n), no tax is owed. 2. If P > S > UCC(n), you owe tax on S-UCC(n) 3. If S > P, you owe tax on P – UCC(n), and S-P is a capital gain. (Taxed at 50% of the corporate tax rate)
Example A start-up company buys a truck for $20, 000 After two years, it buys a second truck. The next year, it sells a truck for $16, 000 If the company makes $100, 000 a year, and the tax rate is 21%, how much tax does the company pay each year? (Trucks are in Asset Class 10, with a CCA rate of 30%)
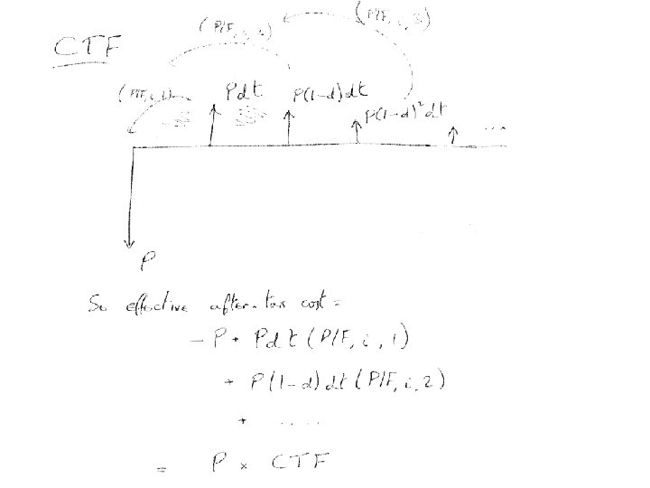
The CTF When we buy an asset for $P, we can depreciate it in future years at a rate d. Each year we subtract the depreciation amount, P(1 -d)nd, from our pre-tax cash flow. So each year we save an amount of money P(1 -d)ndt which we would otherwise have paid in taxes. This series of savings has a present worth PX that can be calculated from P, d, t, and our cost of capital, i. So the effective present cost, in an after-tax analysis, is P – PX, or P (1 -X). The factor (1 -X) is called the CTF
Suppose you are an engineer trying to persuade your boss to buy a spectrum analyser. It will be easier to make the case for its purchase if the CTF is a) Higher (closer to 1) b) Lower (closer to 0)
The CTF If we ignore the first-year rule, the CTF is: CTF = 1 – td/(i+d) Including the first-year rule, the CTF is: CTF = 1 - (On no account should you memorise these. )
The CTF As the tax rate, t, increases, does the CTF get bigger or smaller?
The CTF As the tax rate, t, increases, does the CTF get bigger or smaller? As depreciation, d, increases, does the CTF get bigger or smaller?
The CTF As the tax rate, t, increases, does the CTF get bigger or smaller? As depreciation, d, increases, does the CTF get bigger or smaller? As the MARR, i, increases, does the CTF get bigger or smaller?
Possible confusion The tax relief resulting from the depreciation of a capital asset reduces its effective purchase price by the amount P(1 -CTF) The tax relief resulting from the depreciation of a capital asset reduces its effective purchase price by the factor CTF
- Slides: 22