Aesthetics of Resilience Paul Shrivastava Outline Resilience Aesthetics








































- Slides: 40
Aesthetics of Resilience Paul Shrivastava
Outline • • Resilience Aesthetics of Resilience Improving Resilience thru the Arts
There is a paper ……… Abstract Organizational resilience is a topic of great interest to those involved in managing risk, crises, and emergencies. Current understandings of organizational resilience is shaped by scientific analysis and methods. In this paper we explore the role of art and aesthetics in understanding resilience. Arts/aesthetics based processes can help risk and crisis managers to generate qualitatively different understandings of the firm’s risk profile and more resilient ways of coping with crises. A topological approach (as opposed to algebraic) accentuates the aesthetic understanding of risks. Aesthetics offers a different awareness of risks and emotional capacities to recover from crises.
Part 1 Resilience
“Resilience” The Word • Re-sil-ience (noun) Ø 1. speedy recovery from problems, Ø 2. elasticity • Pliability, buoyancy, flexibility, elasticity, hard wearing, hardy, stretchy, suppleness, agility, limber, nimble, lithe, sprightly, alert, responsive, swift, active,
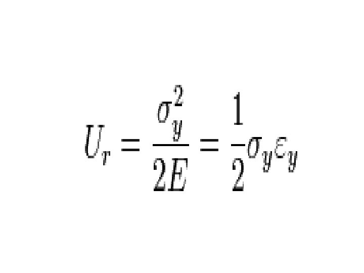
Resilience - The Physics • Resilience is the property of a material to absorb energy when stressed and then to have this energy recovered when unstressed • It is the maximum energy per unit volume that can be elastically stored • Modulus of resilience, Ur, can be calculated using: where σy is yield stress, E is Young's modulus, and e is the strain at the yield stress
Resilience – The Social Concept • the capacity of a system to continually change and adapt in adverse environments, & remain within critical thresholds, maintain integrity, even flourish • the ability of the individual to absorb pain and trauma and yet form a functional personality.
Resilience – Theories/Reasons • Individual resilience (resilience in children, salutogenesis, sense of coherence, thriving, hardiness, learned resourcefulness, selfefficacy, locus of control, potency, stamina and personal causation) • Family resilience (family stress research, models of family stress, family strengths, models of family resilience developed by Mc. Cubbin and associates - Double ABCX Model, FAAR Model, TDouble ABCX Model and Resiliency Model of Family Adjustment and Adaptation) • Community resilience (including social support systems and community recovery from disasters) • Resilience-based policy (integration of resilience theory into policy formulation, work-life or work-family policies) • Resilience in socio-technical systems and socio-ecosystems (hazard and risk modelling, Hi Reliability Organizations) • Cross-cultural perspectives on resilience (hybridity, cultural innovation)
Good Reasons for Resilience But Resilience can also come from a space of “no reason”
Resilience – A Practice Married? Secret of Success?
“No Reason” • Try to call her for no reason, take her out to lunch for no reason, bring her flowers for no reason, hug her for no reason • Women seem to do “no reason” intuitively, they have friends, men always must have reason to do things
Absence of Reason = Presence of what? • Senses • Emotions Resilience from Senses and Emotions
Part 2 Aesthetics
What is Aesthetics • Philosophical study of beauty, evaluative criteria in the arts, • Assumed universal and timeless criteria of artistic value – posited beauty as a form of truth • Embodied sensory form of knowing, awareness, presence • Emotional passionate engagement
Aesthetic Knowledge 1. Aesthetic knowing - embodied, sensory, emotive, experiential, and holistic. It embraces cognitive conflicts/contradictions and offers emotional resolutions to them 2. Art as an instinct serving evolutionary functions 3. A repository for human emotions and passion. “Aesthetic inquiry” - incorporating senses and emotions/passion to our cognition
Sense Play • • • See Hear Feel (Touch) Taste Smell Sensing Nonsense
Look what you can’t see
Listen to what you don’t hear • $Melody 1 • $Melody 2 • $Harmony
Touch that doesn’t feel Shake hands Homework: Tie your shoe lace
Sense Awareness • Weak • Taken for Granted
No Reason Space - Emotions • Japan earthquake http: //www. youtube. com/watch? v=Fz. Fw 7 Tbb l. U 8&feature=related • Resilience reponses http: //www. youtube. com/watch? v=k. S 9 Zar. O 6 _5 U&feature=related
Japan Loss & Resilience
Resiliency Lessons From Japan : 1. CALM No chest-beating or wild grief. Sorrow embodied. 2. DIGNITY Disciplined queues for water/ groceries. No fighting. 3. GRACE People bought only what they needed for the present, so everybody could get something. 4. ORDER No looting in shops. No honking, no overtaking on roads. 5. SACRIFICE 50 workers stayed - to pump sea water in the N-reactors. 6. TENDERNESS Restaurants cut prices. Unguarded ATM is left alone. The strong cared for the weak. 7. TRAINING Everyone knew exactly what to do. And they did just that. 8. RESTRAINED MEDIA Balanced bulletins. No silly reporters. Calm reportage. 9. CONSCIENCE When the power went off in a store, people put things
Part 3 Aesthetics of Resilience
Aesthetics of Resilience Algebraic Analysis of Risks Topological Perspective
Algebraic Approach • Uses algorithms to model what happens to the firm if and when certain events occur • Mathematical, Probablistic, Predictive • the enterprise itself remains relatively passive – it suffers or survives change, but the variables determining its overall shape remain the same.
Topological • what are the various and varying parameters that might be used for determining the future value of the enterprise. • the identity of the firm can change, and the parameters within which variables shift can also change – indeed, the whole enterprise must be qualitatively re-imagined in order to fit and retain its value within an ever-shifting environment.
Narrative and Sensory Roots of Resilience • resilience of a particular strategy or operation depends not only on the probability of certain events (and the measures taken to mitigate the negative impacts of such events), but also on the overall narrative of the firm that is collectively imagined by its various stakeholders. It also depends on the aggregated sense perceptions, and the qualitative and emotional judgments made regarding the value of those perceptions, by stakeholders.
Aesthetic Resilience • Questions boundaries of “the system” • Takes a holistic, big picture view • Centers senses and emotions, de-centers reason • Historically, culturally grounded
Part 4 Resilience Thru Aesthetics
Aesthetic Competencies or Skills • Keen sensory perceptions (seeing, hearing, touch, smell, taste) • Awareness acuity, depth, variety • Synthesis of diverse data • Empathy and communication with others • Emotional stability and flexibility • Awareness of physical and social environments • Calmness and reflectiveness • Sense of fit, sense of place, sense of social and cultural appropriateness • Control over emotional states, self-regulation
Learning Aesthetic Skills • Meditation and Self-Awareness …. coherent discipline of achieving physical, emotional and mental balance by stilling the mind and gaining awareness of the body in the present moment. • Art Practices (painting, music, dance, theater, etc. ) each art discipline has its own epistemology and accepted methodologies, …. creates affective development by increasing the practitioner’s interest, motivation, self-esteem and enthusiasm. • Creative Play and Sports …. … exercising and building up the executive functions of working memory, inhibitory control, cognitive flexibility, individual selfregulation and self-control. Provides an open constructive space for experimentation and innovations. Play also gives players a chance to define, refine, and test limits of rules.
Aesthetics Enables Resilience • Systems Thinking: What is the problem? Recognizing patterns and relationships across disparate information and knowledge systems. • Resolving cognitive conflicts emotionally • Feedback loops for constructive evaluation, inserting expertise and diversity. • Improvisation: Working with uncertain resources, executing real-time action, making new connections, seeing new patterns • Training for sensing and feeling
If you wanted to read three things • Dutton, Denis, The Art Instinct: Beauty, Pleasure, and Human Evolution. Oxford University Press, New York, 2009. • Lance H. Gunderson, C. S. Holling, Panarchy: Understanding Transformations in Human and Natural Systems, Washington DC: Island Press 2002 • Hopfl, H. (Ed. ), The aesthetics of organization. 2000, London: Sage.