Adding and subtracting rational expressions To add or
Adding and subtracting rational expressions: To add or subtract rational expressions use the addition property: Taken from http: //podcasts. shelbyed. k 12. al. us/sclemons/files/2011/05/add-subtraction-rationals. ppt#1
If the expressions have the same (common) denominator, add or subtract the numerators, keep the same denominator, and simplify the result. Taken from http: //podcasts. shelbyed. k 12. al. us/sclemons/files/2011/05/add-subtraction-rationals. ppt#1
Do the operations and simplify the result: Taken from http: //podcasts. shelbyed. k 12. al. us/sclemons/files/2011/05/add-subtraction-rationals. ppt#1
=1 Taken from http: //podcasts. shelbyed. k 12. al. us/sclemons/files/2011/05/add-subtraction-rationals. ppt#1
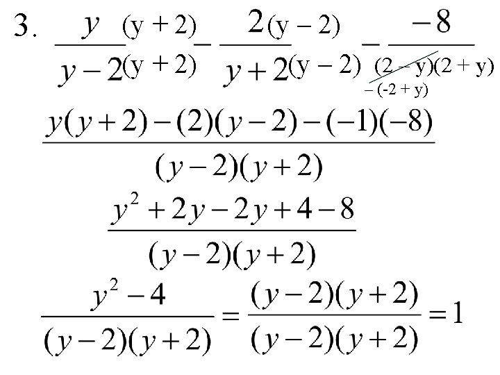
Taken from http: //podcasts. shelbyed. k 12. al. us/sclemons/files/2011/05/add-subtraction-rationals. ppt#1
=9 Taken from http: //podcasts. shelbyed. k 12. al. us/sclemons/files/2011/05/add-subtraction-rationals. ppt#1
Opposite Factors as Denominators: Multiply top and bottom by (-1) Taken from http: //podcasts. shelbyed. k 12. al. us/sclemons/files/2011/05/add-subtraction-rationals. ppt#1
To + or – with different denominators find the least common denominator (LCD), change each fraction so that it has that denominator, then + or – the numerators The LCD is your denominator. Simplify your answer. Simply stated, the LCD is the least number (expression) that all denominators will divide into evenly. Taken from http: //podcasts. shelbyed. k 12. al. us/sclemons/files/2011/05/add-subtraction-rationals. ppt#1
To find the LCD • factor each denominator • write the different factors present in each denominator • These factors make up your LCD • Ask: What does the other denominator have that this denominator needs in order to match? What is missing? Taken from http: //podcasts. shelbyed. k 12. al. us/sclemons/files/2011/05/add-subtraction-rationals. ppt#1
Find the LCD for (y² -16) & (y² - 8 y + 16) (y + 4)(y - 4) & (y - 4) In the 1 st & 2 nd Only in the 1 st Only in the 2 nd LCD: (y + 4)(y - 4) Taken from http: //podcasts. shelbyed. k 12. al. us/sclemons/files/2011/05/add-subtraction-rationals. ppt#1
Find the LCD. Then, find the answer. 1. y 2. y 1. (x – 2) (x + 2) 2. Taken from http: //podcasts. shelbyed. k 12. al. us/sclemons/files/2011/05/add-subtraction-rationals. ppt#1
Add : • LCD = • change each fraction to LCD • add/subtract numerator • Simplify with denominator Taken from http: //podcasts. shelbyed. k 12. al. us/sclemons/files/2011/05/add-subtraction-rationals. ppt#1
Add : • LCD = • change each fraction to LCD • add/subtract numerator • Simplify with denominator Taken from http: //podcasts. shelbyed. k 12. al. us/sclemons/files/2011/05/add-subtraction-rationals. ppt#1
Add : • LCD = • change each fraction to LCD • add/subtract numerator • Simplify with denominator (Top isn’t factorable) Taken from http: //podcasts. shelbyed. k 12. al. us/sclemons/files/2011/05/add-subtraction-rationals. ppt#1
1. LCD: (x – 9) Taken from http: //podcasts. shelbyed. k 12. al. us/sclemons/files/2011/05/add-subtraction-rationals. ppt#1
2. (x – 5) (x – 2) (x + 3) (x+3) (x-2) (x – 5) (x+3) (x-5) (x – 2) (x-5) (x-2)(x + 3) Taken from http: //podcasts. shelbyed. k 12. al. us/sclemons/files/2011/05/add-subtraction-rationals. ppt#1
4. (x-1) (x+1) LCM: (x-1) (x+1) Taken from http: //podcasts. shelbyed. k 12. al. us/sclemons/files/2011/05/add-subtraction-rationals. ppt#1
- Slides: 18