Acceleration in 1 D What causes acceleration What

  • Slides: 11
Download presentation
Acceleration in 1 -D

Acceleration in 1 -D

What causes acceleration? What is acceleration? Change in velocity This includes a change in

What causes acceleration? What is acceleration? Change in velocity This includes a change in magnitude or direction What causes acceleration? A Force

 → → • aav = Δv Δt → where aav = average acceleration

→ → • aav = Δv Δt → where aav = average acceleration → Δv = change in velocity Δt = time

→ → j = Δa Δt where → j = jerk (constant) → Δa

→ → j = Δa Δt where → j = jerk (constant) → Δa = change in acceleration Note: jerk is not a desired type of motion, so usually it is not analyzed.

Equations • For any accelerated motion, we use the constant acceleration equations

Equations • For any accelerated motion, we use the constant acceleration equations

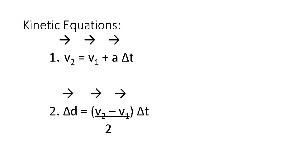
Kinetic Equations: → → → 1. v 2 = v 1 + a Δt

Kinetic Equations: → → → 1. v 2 = v 1 + a Δt → → → 2. Δd = (v 2 – v 1) Δt 2

Kinetic Equations: → → 3. Δd = v 1 + 0. 5 a Δt

Kinetic Equations: → → 3. Δd = v 1 + 0. 5 a Δt 2 → → → 2 4. Δd = v 2 – 0. 5 a Δt → → 2 2 5. v 2 = v 1 + 2 a Δd

Example #1: An SUV that goes 60 m [fwd] as it stops. The magnitude

Example #1: An SUV that goes 60 m [fwd] as it stops. The magnitude of the 2 stopping acceleration is 3. 0 m/s. a) What is the initial velocity? b) What is the stopping time?

Acceleration in 2 -D •

Acceleration in 2 -D •

Example #2: (2 D-acceleration) A car goes around a turn with a constant acceleration.

Example #2: (2 D-acceleration) A car goes around a turn with a constant acceleration. The car was going 15 m/s [N] as it entered the turn and came out at 15 m/s [W]. If the turn lasted 10 seconds, what is the acceleration around the turn?

Example # 3 Arnav travels at 34. 5 m/s [E 20 o N]. Over

Example # 3 Arnav travels at 34. 5 m/s [E 20 o N]. Over a period of 5. 00 s, he changes his velocity to 34. 5 [W 32 o N]. What is Arnav’s acceleration?