AC Nodal and Mesh Analysis Discussion D 11


























- Slides: 26
AC Nodal and Mesh Analysis Discussion D 11. 1 Chapter 4 4/10/2006 1
AC Nodal Analysis 2
How did you write nodal equations by inspection? 3
Writing the Nodal Equations by Inspection • The matrix G is symmetric, gkj = gjk and all of the off-diagonal terms are negative or zero. The gkk terms are the sum of all conductances connected to node k. The gkj terms are the negative sum of the conductances connected to BOTH node k and node j. The ik (the kth component of the vector i) = the algebraic sum of the independent currents connected to node k, with currents entering the 4 node taken as positive.
Example with resistors v 1 v 2 v 3 5
For steady-state AC circuits we can use the same method of writing nodal equations by inspection if we replace resistances with impedances and conductances with admittances. Let's look at an example. 6
Problem 4. 31 in text Change impedances to admittances 7
8
Matlab Solution 9
Nodal Analysis for Circuits Containing Voltage Sources That Can’t be Transformed to Current Sources • If a voltage source is connected between two nodes, assume temporarily that the current through the voltage source is known and write the equations by inspection. 10
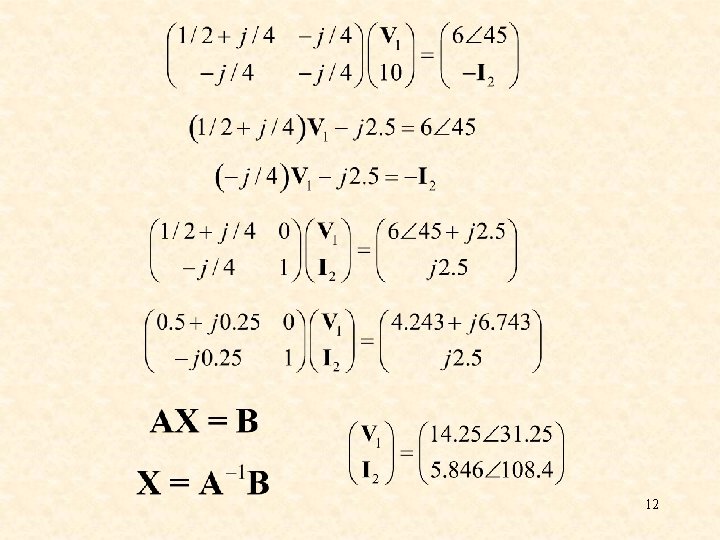
Problem 4. 33 in text Note: V 2 = 10 assume I 2 11
12
Problem 4. 33 in text Note: V 2 = 10 assume I 2 13
Matlab Solution 14
AC Mesh Analysis 15
How did you write mesh equations by inspection? 16
Writing the Mesh Equations by Inspection • The matrix R is symmetric, rkj = rjk and all of the off-diagonal terms are negative or zero. The rkk terms are the sum of all resistances in mesh k. The rkj terms are the negative sum of the resistances common to BOTH mesh k and mesh j. The vk (the kth component of the vector v) = the algebraic sum of the independent voltages in mesh k, with voltage rises taken as positive. 17
Example with resistors 18
For steady-state AC circuits we can use the same method of writing mesh equations by inspection if we replace resistances with impedances and conductances with admittances. Let's look at an example. 19
Problem 4. 38 in text: Find I 1 and I 2 20
Matlab Solution 21
What happens if we have independent current sources in the circuit? 1. Assume temporarily that the voltage across each current source is known and write the mesh equations in the same way we did for circuits with only independent voltage sources. 2. Express the current of each independent current source in terms of the mesh currents and replace one of the mesh currents in the equations. 3. Rewrite the equations with all unknown mesh currents and voltages on the left hand side of the equality and all known voltages on the r. h. s of the equality. 22
Problem 4. 40 in text: Find I 0 Assume you know V 2 Note I 2 = -2 23
24
Matlab Solution 25
Problem 4. 40 in text: Find I 0 Assume you know V 2 Note I 2 = -2 26