A students work without solutions manual 10 problemsnight
“A” students work (without solutions manual) ~ 10 problems/night. Dr. Alanah Fitch Flanner Hall 402 508 -3119 afitch@luc. edu Office Hours Th&F 2 -3: 30 pm Module #17 B: Acid Base Ionization Computations
To determine if our protein unfolds or not is it sufficient to know the Ka and Kb Values of the functional groups?
2 1 3 D structure of ALAD directs Reactants into proper orientation 3 D structure controlled by proper hydrogen and ionic bonds, p. H dependent!!!!!!!
http: //www. jenner. ac. uk/PPD/ http: //www. biology. arizona. edu/biochemistry/problem_sets/aa/aa. htm Ionization constants for proteins - Zn 2+ - - cysteine R refers to rest of protein Phosphoenolate carboxylase, human, cys Control of protein shape is due to fraction of sites charged
Protein folding due to FRACTION of sites charged Hemeglobin
% Ionized (dissociated) This seems pretty straight forward
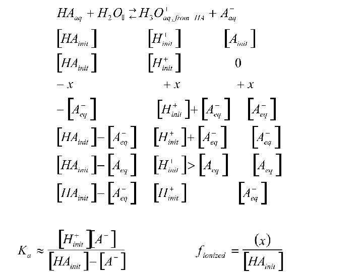
Calculating [A-] This will require knowing [H 3 Oaq+] AND a new vocabulary for comparing the solution acidity from experiment to experiment Ka and Kb tell us about the possibility Of donating protons, not what the solution Acidity is Define another comparison number: p. H
“A” students work (without solutions manual) ~ 10 problems/night. Dr. Alanah Fitch Flanner Hall 402 508 -3119 afitch@luc. edu Office Hours Th&F 2 -3: 30 pm Module #17 B: Acid Base Ionization Computations p. H, p. OH, p. Ka
LAZY Chemists are _____ To shorten calculations use log
Assumption that 55. 5 molar is relative unchanged
p. H scale runs from 0 to 14 Which is more Acidic?
acid/base ave [H+] base blood 5. 01 x 10 -8 saliva 1 x 10 -7 acid urine 2. 51 x 10 -7 cow’s milk 3. 54 x 10 -7 cheese 7. 94 x 10 -6 p. H p. OH ave [OH-] 7. 3 6. 7 7 You do the rest # is slightly larger than 10 -8, so I know it is 7…. . something 14 -7. 3=6. 7 1. 99 x 10 -7
What are the two p. Kas? - What is the Ka of a compound Whose p. Ka is 3. 7? cysteine
“A” students work (without solutions manual) ~ 10 problems/night. Dr. Alanah Fitch Flanner Hall 402 508 -3119 afitch@luc. edu Office Hours Th&F 2 -3: 30 pm Module #17 B: Acid Base Ionization Computations
Calculating [A-] This will require an equilibrium calculation
Generalized Strategy involves comparing Kas 1. Write down ALL possible reactions involving a proton 2. Excluding water, identify all the proton donors as 1. Strong acid a. Strong electrolyte: HNO 3, HCl, H 2 SO 4 (No Clean Socks) b. Give all strong acid protons to water or alpha dog c. Calculate hydronium conc. d. Calculate p. H 2. Weak Acid a. Identify strongest acid (omega dog, can not hold protons) b. Has largest Ka; smallest charge density anion c. Calculate how many protons omega gives up (equil) d. Calculate p. H e. Use to determine what alpha gets
Example Calculations 1. HCl 2. Acetic acid (vinegar) 2. HF 3. B(OH)3 (Boric acid (eye wash)) 4. Mixture (HF and phenol) 5. Mixture (H 2 SO 4, HSO 4 -) 6. Triethylamine 7. Na. Acetate 8. Our heme example Calculate the p. H of 0. 004 M HCl
Generalized Strategy involves comparing Kas 1. Write down ALL possible reactions involving a proton 2. Excluding water, identify all the proton donors as 1. Strong acid a. Strong electrolyte: HNO 3, HCl, H 2 SO 4 (No Clean Socks) Omega dog b. Give all strong acid protons to water or alpha present c. Calculate hydronium conc. d. Calculate p. H
Scientific notation allows you to quickly check if Your answer is in the right “ballpark” p. H has to be slightly less Than 3
Example Calculations 1. HCl 2. Acetic acid (vinegar) 2. HF 3. B(OH)3 (Boric acid (eye wash)) 4. Mixture (HF and phenol) 5. Mixture (H 2 SO 4, HSO 4 -) 6. Triethylamine 7. Na. Acetate 8. Our heme example
Example: What is the % ionization of commercial vinegar? The label reads 5% acidity (by weight). Vinegar is acetic acid which has the formula HC 2 H 3 O 2. (CH 3 COOH) Ka = 1. 8 x 10 -5 Density of 5% acetic acid 1. 0023 g/m. L 1. Write down ALL possible reactions involving a proton 2. Excluding water, identify all the proton donors as 1. Strong acid a. Strong electrolyte: HNO 3, HCl, H 2 SO 4 (None) 2. Weak Acid: a. Calculate how many protons omega gives up (equil)
Example: What is the % ionization of commercial vinegar? The label reads 5% acidity (by weight). Vinegar is acetic acid which has the formula HC 2 H 3 O 2. (CH 3 COOH) Ka = 1. 8 x 10 -5 Density of 5% acetic acid 1. 0023 g/m. L Know % by wt. Ka = 1. 8 x 10 -5 Don’t Know Need the initial molarity need the final dissociation
Why complicate this situation by adding in 10 -7 When we get rid off it with an assumption? Because it creates a habit necessary of multiple rx H 2 O OH 55. 5 10 -7 HC 2 H 3 O 2 stoic 1 1 conc. init 5% 0 [Init] 0. 8355 0 Change -x +x Assume 0. 8355>>x +x [Equil] 0. 8355 +x What is the % ionization of commercial vinegar? The label reads 5% acidity (by weight). Density of 5% acetic acid is 1. 0023 g/m. L. Vinegar is acetic acid which has the formula HC 2 H 3 O 2. (CH 3 COOH) Ka = 1. 8 x 10 -5 H+ 10 -7 H+ 1 10 -7 +x 10 -7 << x +x
HA 0. 8355>>x Assume A +x H+ 10 -7 << x Original sig figs were = 0. 83 So if we round to 2 sig fig, have Same answer Check: + p. H =-log(0. 003878)= 2. 41 Sig figs
What is the % ionization of commercial vinegar? The label reads 5% acidity (by weight). Density of 5% acetic acid is 1. 0023 g/m. L. Vinegar is acetic acid which has the formula HC 2 H 3 O 2. (CH 3 COOH) Ka = 1. 8 x 10 -5
How does % dissociation or ionization vary with concentration? [Acetic Acid] 1. 00 M 0. 835 M 0. 1 M % ionization 0. 42% 0. 46% 1. 3% Observations? % ionization increases with the lower molarity. Why should this be so? What is the % ionization of commercial vinegar? The label reads 5% acidity (by weight). Density of 5% acetic acid is 1. 0023 g/m. L. Vinegar is acetic acid which has the formula HC 2 H 3 O 2. (CH 3 COOH) Ka = 1. 8 x 10 -5
Dilute by 10 (make less concentrated): What does this tell us, if anything? We have too many reactants, need to shift to the right, or dissociate some more. general rule of thumb: dilution gives more dissociation.
Example Calculations 1. HCl 2. Acetic acid (vinegar) 3. HF 4. B(OH)3 (Boric acid (eye wash)) (students Do this one yourself) 5. Mixture (HF and phenol) 6. Mixture (H 2 SO 4, HSO 4 -) 7. Triethylamine 8. Na. Acetate 9. Our heme example
Calculate the F- of a solution of 1. 00 M HF. Ka= 7. 2 x 10 -4 1. Write down ALL possible reactions involving a proton 2. Excluding water, identify all the proton donors as 1. Strong acid a. Strong electrolyte: HNO 3, HCl, H 2 SO 4 (No Clean Socks) No Strong Acids (SA) 2. Weak Acid a. Identify strongest acid (omega dog, can not hold protons) b. Has largest Ka; smallest charge density anion c. Calculate how many protons omega gives up (equil)
stoic. Init Change Assum Equil H 2 O 55. 5 HF(aq) 1 1. 0 -x 1>>x 1 H+ 10 -7 H+from HF 1 10 -7 +x 10 -7 <<x x OH 10 -7 F 1 0 +x x
Init Change Assum Equil HF(aq) 1. 0 -x 1>>x 1 H+from HF F 10 -7 0 +x +x 10 -7 <<x x x Check assumptions Calculate the p. H of a solution of 1. 00 M HF. K 1 = 7. 2 x 10 -4 Sig fig is here
Init Change Assum Equil HF(aq) 1. 0 -x 1>>x 1 Calculate the F- of a solution of 1. 00 M HF. K 1 = 7. 2 x 10 -4 H+from HF F 10 -7 0 +x +x 10 -7 <<x x x
Example: Boric acid is commonly used in eyewash solutions to neutralize bases splashed in the eye. It acts as a monoprotic acid, but the dissociation reaction looks different. Calculate the p. H of a 0. 75 M solution of boric acid, and the concentration of B(OH)4 -. 1. Write down ALL possible reactions involving a proton 2. Identify proton donors 1. strong acids: No Clean Socks? 2. Weak acids: No SA Students do B(OH)3 This on your own
Set up ICAE chart stoic [Init] Change Assume Equil Students do This on your own H 2 O 55. 5 B(OH)3 + H 2 O 1 n. a. 0. 75 -x 0. 75>>x 0. 75 check? ? two assumptions. B(OH) OHH+ 10 -7 B(OH)4 - + H+ 1 1 0 10 -7 +x +x x 10 -7<<x x x + H 2 O B(OH)4 - + H+ Ka = 5. 8 x 10 -10 Calculate the p. H of a 0. 75 M solution of boric acid. 3
[Init] Change Assume Equil B(OH)3 + H 2 O 0. 75 -x 0. 75>>x 0. 75 B(OH)4 - + H+ 0 10 -7 +x +x x 10 -7<<x x x yes check? ? two assumptions. B(OH) Sig fig Students do This on your own + H 2 O B(OH)4 - + H+ Ka = 5. 8 x 10 -10 Calculate the p. H of a 0. 75 M solution of boric acid. 3
Example Calculations 1. HCl 2. Acetic acid (vinegar) 3. HF 4. B(OH)3 (Boric acid (eye wash)) (students Do this one yourself) 5. Mixture (HF and phenol) 6. Mixture (H 2 SO 4, HSO 4 -) 7. Triethylamine 8. Na. Acetate 9. Our heme example
Mixtures of Acids Calculate the p. H of a solution that contains 1. 0 M HF and 1. 0 M HOC 6 H 5. Calculate the conc. of -OC 6 H 5 at this concentration. 1. Write down ALL possible reactions involving a proton 2. Excluding water, identify all the proton donors as 1. Strong acid NONE 2. Weak Acid Identify strongest acid (omega dog, can not hold protons) Has largest Ka; smallest charge density anion Calculate how many protons omega gives up (equil) Calculate p. H (Use to determine what alpha gets)
HF will control the proton concentration, but Should include all possible sources to remind ourselves. H 2 O 55. 5 HF + H 2 O 1 n. a. 1. 0 -x 1. 0>>x 1. 0 stoic [Init] Change Assume Equil OH 10 -7 F- + 1 0 +x x x check? ? H two assumptions. +F K = 7. 2 x 10 HF HOC 6 H 5 + - H+ + -OC 6 H 5 a -4 Ka = 1. 8 x 10 -5 H+ 10 -7 H+ 1 10 -7 +x 10 -7<<x x Calculate the p. H of a solution that contains 1. 0 M HF and 1. 0 M HOC 6 H 5. Calculate the conc. of -OC 6 H 5 at this concentration.
stoic [Init] Change Assume Equil HF + H 2 O 1 n. a. 1. 0 -x 1. 0>>x 1. 0 F- + 1 0 +x x x H+ 1 10 -7 +x 10 -7<<x x Check assumptions: Sig fig = 1. 0 Sig fig = 0. 027
stoic [Init] Change Assume Equil HF + H 2 O 1 n. a. 1. 0 -x 1. 0>>x 1. 0 F- + 1 0 +x x x H+ 1 10 -7 +x 10 -7<<x x Calculate the p. H of a solution that contains 1. 0 M HF and 1. 0 M HOC 6 H 5. Calculate the conc. of -OC 6 H 5 at this concentration.
Example Calculations 1. HCl 2. Acetic acid (vinegar) 3. HF 4. B(OH)3 (Boric acid (eye wash)) (students Do this one yourself) 5. Mixture (HF and phenol) 6. Mixture (H 2 SO 4, HSO 4 -) 7. Triethylamine 8. Na. Acetate 9. Our heme example
Example: calculate the p. H of 0. 0010 M sulfuric acid 1. Write down ALL possible reactions involving a proton 2. Excluding water, identify all the proton donors as 1. Strong acid a. Strong electrolyte: HNO 3, HCl, H 2 SO 4 (No Clean Socks) b. Give all strong acid protons to water or alpha dog
1 2 3 Pure Water Control/complete stoic. [init] complete stoic. H 2 O 55. 5 H 2 SO 4 1. 001 0 [Init] Change Assume? [Equil] Example: calculate the p. H of 0. 0010 M sulfuric acid; Ka 2 = 1. 2 x 10 -2 OH 10 -7 HSO 41 0 0. 001 HSO 41 0. 0010 -x 0. 001>x 0. 001 H+ 10 -7 H+ 1 10 -7 0. 001+10 -7 H+ SO 421 1 0. 0010 0 +x +x 0. 001>x +x 0. 001 x NO!
stoic. [Init] Change Assume? [Equil] HSO 41 0. 0010 -x 0. 001>x 0. 001 -x H+ 1 0. 0010 +x 0. 001>x 0. 001+x SO 421 0 +x +x x Here is our first example in which we can not Make assumptions Example: calculate the p. H of 0. 0010 M sulfuric acid; Ka 2 = 1. 2 x 10 -2
-Solution gives a neg Number which is not allowed [SO 42 -]=x [H+]=0. 001 +0. 000865 0. 001865 p. H=-log(0. 001865)=2. 73
Successive Approximations (iterations) Alternative Strategy to going to “exact equil. Expression” ITERATIVE SOLUTIONS Why? – because the real body or real world Is much too complex to always be able to Find an exact equilibrium expression
Calculate proton concentration of 0. 100 M HNO 2 using the iterative method (Ka=6. 0 x 10 -4) Pure Water H 2 O OHH+ 1 55. 5 10 -7 HNO 2 H+ stoic. 1 1 1 0 10 -7 2 [Init] Change -x +x +x Assum 0. 1>>x x x>>10 -7 [Equil] 0. 1 x x Calc 7. 7 x 10 -3 New Equil 0. 1 -7. 7 x 10 -3 x’’ 3 New calc 7. 44 x 10 -3 -3 x’’’ New Equil 0. 1 -7. 44 x 10 x’’’ 4 New new Calc 7. 45 x 10 -3
Converging, plausible answer for iterative method: 0. 100 M HNO 2, Ka=6. 0 x 10 -4 Can Skip This for BLB
“A” students work (without solutions manual) ~ 10 problems/night. Dr. Alanah Fitch Flanner Hall 402 508 -3119 afitch@luc. edu Office Hours Th&F 2 -3: 30 pm Module #17 B: Acid Base Ionization Computations Weak Bases
Example Calculations 1. HCl 2. Acetic acid (vinegar) 3. HF 4. B(OH)3 (Boric acid (eye wash)) (students Do this one yourself) 5. Mixture (HF and phenol) 6. Mixture (H 2 SO 4, HSO 4 -) 7. Triethylamine 8. Na. Acetate 9. Our heme example
Calculation with Weak Base Calc. the [OH], [H], and p. H of 0. 20 M solns of triethylamine, Kb = 4. 0 x 10 -4 1 stoic 2 [Init] Change Assum Equil B 1 0. 20 -x 0. 20>>x 0. 20 H 2 O 55. 5 H 2 O 1 Calc. the [OH], [H], and p. H of 0. 20 M solns of triethylamine, Kb = 4. 0 x 10 -4 H+ 10 -7 BH+ 1 0 +x x x OH 10 -7 OH 1 10 -7 +x 10 -7 < x x
1 stoic 2 [Init] Change Assum Equil B 1 0. 20 -x 0. 20>>x 0. 20 H 2 O 55. 5 H 2 O 1 H+ 10 -7 BH+ 1 0 +x x x OH 10 -7 OH 1 10 -7 +x 10 -7 < x x Rounds to 0. 2 Rounds to 0. 0089 Calc. the [OH], [H], and p. H of 0. 20 M solns of triethylamine, Kb = 4. 0 x 10 -4
“A” students work (without solutions manual) ~ 10 problems/night. Dr. Alanah Fitch Flanner Hall 402 508 -3119 afitch@luc. edu Office Hours Th&F 2 -3: 30 pm Module #17 B: Acid Base Ionization Computations Salts
Example Calculations 1. HCl 2. Acetic acid (vinegar) 3. HF 4. B(OH)3 (Boric acid (eye wash)) (students Do this one yourself) 5. Mixture (HF and phenol) 6. Mixture (H 2 SO 4, HSO 4 -) 7. Triethylamine 8. Na. Acetate 9. Our heme example
Write all reactions involving protons, hydroxides Determine who is omega and will donate Hmm, a slight problem – we don’t know Kb If we place Na acetate in solution (to make a 0. 1 M solution) what are the main species present? What will be the p. H of the solution? Ka = 1. 8 x 10 -5
+ If we place Na acetate in solution (to make a 0. 1 M solution) what are the main species present? What will be the p. H of the solution? Ka = 1. 8 x 10 -5
1 2 stoich [Init] Change Sum Assume [Equil] H 2 O H+ OH 55. 5 10 -7 CH 3 COO- + H 2 O = CH 3 COOH + OH 1 1 1 0 10 -7 -x +x 10 -7 +x 0. 1 -x 0+x 10 -7 +x x<<<0. 1 x>>>10 -7 0. 1 x x If we place Na acetate in solution (to make a 0. 1 M solution) what are the main species present? What will be the p. H of the solution? Ka = 1. 8 x 10 -5
stoich [Init] Change Sum Assume [Equil] CH 3 COO- + H 2 O = CH 3 COOH + OH 1 1 1 0 10 -7 -x +x 10 -7 +x 0. 1 -x 0+x 10 -7 +x x<<<0. 1 x>>>10 -7 0. 1 x x yes X 100 rule No If we place Na acetate in solution (to make a 0. 1 M solution) what are the main species present? What will be the p. H of the solution? Ka = 1. 8 x 10 -5
CH 3 COO- + H 2 O = CH 3 COOH + OHstoich 1 1 1 [Init] 0. 1 0 10 -7 Change -x +x 10 -7 +x Sum 0. 1 -x 0+x 10 -7 +x Assume x<<<0. 1 x>>>10 -7 [Equil] 0. 1 x x Equil new 0. 1 -x x x+10 -7 If we place Na acetate in solution (to make a 0. 1 M solution) what are the main species present? What will be the p. H of the solution? Ka = 1. 8 x 10 -5
Before we got 7. 45 x 10 -6
“A” students work (without solutions manual) ~ 10 problems/night. Dr. Alanah Fitch Flanner Hall 402 508 -3119 afitch@luc. edu Office Hours Th&F 2 -3: 30 pm Module #17 B: Acid Base Ionization Computations Biological Chemistry
Example Calculations 1. HCl 2. Acetic acid (vinegar) 3. HF 4. B(OH)3 (Boric acid (eye wash)) (students Do this one yourself) 5. Mixture (HF and phenol) 6. Mixture (H 2 SO 4, HSO 4 -) 7. Triethylamine 8. Na. Acetate 9. Our heme example
Protein folding due to FRACTION of sites charged Hemeglobin
EXAMPLE Which p. H (2, 7, 11) is most favorable for the formation of a hydrogen bond between Val and tyr in hemoglobin It would be useful to be able to predict fraction ionized at all p. H values Without knowing the concentration of the protein acid sites. Skill would be useful in other equilibrium Calculations. Need to arrange equations to get Rid of equilibrium concentrations
An alternative method To this equation is on next Slide (can be skipped)
Here is an alternative way to get the equation Mass balance
Which p. H will allow best H-bonding?
“A” students work (without solutions manual) ~ 10 problems/night. Dr. Alanah Fitch Flanner Hall 402 508 -3119 afitch@luc. edu Office Hours Th&F 2 -3: 30 pm Module #17 B: Acid Base Ionization Computations When should we Be making assumptions?
Example on Using Simplifications Module 17 A If 1. 0 mol NOCl is placed in a 2. 0 L flask what are the equilibrium concentrations of NO and Cl 2 given that at 35 o. C the equilibrium constant, Kc, is 1. 6 x 10 -5 mol/L? Red herrings: 35 o. C is a red herring Clues? K is “small” compared to others (<<< 1) we have worked with !!!!! Example 2 EXAMPLE 3: Example 4: Kc is 0. 64. Kc = 0. 36 M Kp is 1 x 10 -2. We will define Small in the Next chapter!
The issue is small Ka with respect To the initial concentration!! Considering a simple system
The issue is small Ka with respect To the initial concentration!! Considering a simple system Mass balance OK this is not a nice equation Do you need to know it?
“A” students work (without solutions manual) ~ 10 problems/night. Dr. Alanah Fitch Flanner Hall 402 508 -3119 afitch@luc. edu Office Hours Th&F 2 -3: 30 pm Module #17 B: Acid Base Ionization Computations What you need To know
1. p. H, p. OH, p. Ka, p. Kb 2. Fraction Ionized 3. ICE charts for equilibrium calculation 4. Recognize a fraction ionized chart and interpret i 5. Recognize when you can make “assumptions”
“A” students work (without solutions manual) ~ 10 problems/night. Dr. Alanah Fitch Flanner Hall 402 508 -3119 afitch@luc. edu Office Hours Th&F 2 -3: 30 pm Module #17 B: Acid Base Ionization Computations END
Which p. H (2, 7, 11) is most favorable for the formation of a hydrogen bond between Val and tyr in hemoglobin Repeat procedure With tyrosine
Which p. H is best?
- Slides: 77