A Performance Comparison of MultiHop Wireless Ad Hoc





























- Slides: 29
A Performance Comparison of Multi-Hop Wireless Ad Hoc Network Routing Protocols Josh Broch David A. Maltz David B. Johnson Yih-Chun Hu Jorjeta Jetcheva http: //www. monarch. cmu. edu/ (subsequently moved to rice univ. ) Presented at Mobi. Com ‘ 98 Presented by Chris Dion
Agenda • • Introduction Simulation Environment Routing Protocols Studied Methodology Simulation Results Observations Related Work/Conclusions
Ad Hoc Networks • Each mobile node operates as a router as well as a host. • May have Multi-hop paths through the network. • Examples include students using laptops, soldiers relaying information, disaster relief personnel coordinating efforts.
What can we measure? • As of this paper (1998), little was known about performance of ad-hoc protocols • 4 protocols will be studied and compared against • Ns-2 simulator was extended to realistically simulate ad hoc networks
How do we simulate moving networks? 1. Accurately modeling radio waves • Use 1/r 2 (r = distance between antennas) and 1/r 4 for distances outside ‘reference’ 2. Medium Access Control • Use Distributed Coordination Function (DCF) 3. Address Resolution • Uses RFC 826 ARP 4. Packet Buffering • 50 Packet TX buffer, drop-tail
4 Protocols to Simulate • DSDV (Destination-Sequenced Distance Vector) • TORA (Temporally-Ordered Routing Algorithm) • DSR (Dynamic Source Routing) • AODV (Ad Hoc On-Demand Distance Vector) – Some improvements were made to all protocols
Destination-Sequenced Distance Vector (DSDV) • Presented SIGCOMM ’ 94 by Perkins and Bhagwat • Each node contains a routing table for each hop with sequence number and metric • Each node advertises a monotonically increasing even sequence number • Lowest sequence number is the more favorable route. • Guaranteed Loop-freedom
DSDV Example Updated Forwarding Table:
Temporally-Ordered Routing Algorithm (TORA) • Presented INFOCOM ’ 97 by Park and Carson • Designed to Minimize overhead and discover routes on demand • Think about it as water flowing through tubes on its way to a destination • Node broadcasts a Query packet, recipient broadcasts an Update packet • Uses IMEP as transport
Route Creation Example
Link Failure without reaction
Re-establishing routes
Dynamic Source Routing (DSR) • Published in Mobile Computing, ’ 96 by Johnson and Maltz (sound familiar? ) • Uses source rather then hop-by-hop routing, each packet contains list of nodes for packet to pass through. • No need for up-to-date routing information, more importantly eliminates need for periodic route advertisement
DSR (cont) • Route Discovery – Flood route request message – Request answered with route reply by: • Destination • Optimized if some other node that knows the way • Route Maintenance – If 2 nodes listed next to each other in route move out of range • Return route error message to sender • Sender can either use another route in its cache or invoke Route Discovery Again.
Ad Hoc On-Demand Distance Vector (AODV) • Presented as Internet-Draft (Currently on Version 12), Perkins and Royer, 1997 • Takes the basic on-demand mechanism of Route Discovery and Maintenance from DSR, plus hop-by-hop routing, etc from DSDV • Hello messages are passed between routes every second, Failure to receive 3 consecutive means link is taken down
AODV Example Route Request Route Reply
Test Methodology • All tests based on: – – 50 wireless nodes Rectangular flat place, 1500 m x 300 m 900 seconds of simulated run time 7 Different Pause Times, which is how long each node remains stationary: • 0, 30, 60, 120, 300, 600, and 900 (no motion) – 10 movement patterns for each pause time, 70 total – 20 m/s Max node speed (10 avg. ), also used 1 m/s
Packet Size/Amount/rate • Rate is equivalent to the number of sources, decided to be fixed at 4 pps at each of 3 different # of sources (10, 20, 30) • Note about Packet size: – At 1024 byte packets congestion became an issue – Used 64 byte packets to more accurately measure network performance • Had simulator measure distances between sender and destination nodes (shortest distance), and labeled packet with information
What do we measure? • Packet delivery ratio: Application layer packets originated at source to received packets – Characterizes completeness and correctness of the routing protocol • Routing overhead: Total # of packets sent during transmission – Scalability • Path optimality: Difference between number of hops a packet took and the shortest path measured – Measures the ability to efficiently use network resources.
Packet Delivery vs. Pause time (20 sessions)
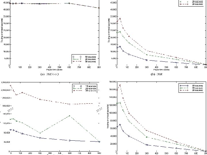
Routing OH vs. pause time (20 sessions)
Path Optimality
Change of Speed (20 m/s -> 1 ms)
Additional Observations • OH Bytes vs. Packets? – DSR clearly wins in ‘bytes for the buck’, but does it matter? • DSDV vs. DSDV-SQ – Sends triggered update for each new seq. number – DSDV requires that they only be sent when a new metric is received for a destination • Link breakages are not detected as quickly
Conclusions? • Detailed packet-level simulation of 4 recent routing protocols • DSDV performs predictably, not good when mobility increases • TORA uses large amounts of OH, delivered packets well • DSR was good at all speeds and rates! • AODV does almost as good, but more OH makes it more expensive then DSR
Some Examples of Newer Protocols since this paper • Periodic based updates (DSDV-like) – Fisheye, 1999 – GSR (Global State Routing), 1998 • On demand based updates – ABR (Associativity-Based Routing) – ZRP (Zone Routing Protocol) – PAR (Power-Aware Routing)