A Martini Specchio Generatore donda Specchio Generatore donda






























































































































- Slides: 126
A. Martini
Specchio Generatore d’onda
Specchio Generatore d’onda
Specchio Generatore d’onda
Specchio Generatore d’onda
Specchio Generatore d’onda
Specchio Generatore d’onda
Specchio Generatore d’onda
Specchio Generatore d’onda
Specchio Generatore d’onda
Specchio Generatore d’onda
Specchio Generatore d’onda
Quando l’onda raggiunge lo specchio vi si “appiattisce” contro, poi viene riflessa capovolta mentre allo specchio continua ad arrivare Specchio l’onda proveniente dal generatore. Generatore d’onda
Specchio Generatore d’onda
Specchio Generatore d’onda
Specchio Generatore d’onda
Specchio Generatore d’onda
Specchio Generatore d’onda
Specchio Generatore d’onda
Specchio Generatore d’onda
Specchio Generatore d’onda
Specchio Generatore d’onda
Specchio Generatore d’onda
Specchio Generatore d’onda
Specchio Generatore d’onda
Specchio Generatore d’onda
Specchio Generatore d’onda
Specchio Generatore d’onda
Da questo momento in poi la zona tra la sorgente e lo spechio sarà interessata da una Specchio perturbazione di questo tipo Generatore d’onda
Specchio Generatore d’onda
Specchio Generatore d’onda
Specchio Generatore d’onda
Specchio Generatore d’onda
Specchio Generatore d’onda
Specchio Generatore d’onda
Specchio Generatore d’onda
Specchio Generatore d’onda
Specchio Generatore d’onda
Specchio Generatore d’onda
Specchio Generatore d’onda
Si possono individuare delle zone particolari che chiameremo: Specchio Generatore d’onda
Si possono individuare delle zone particolari che chiameremo: NODI Specchio Generatore d’onda
Si possono individuare delle zone particolari che chiameremo: NODI Specchio Generatore d’onda
Si possono individuare delle zone particolari che chiameremo: NODI Specchio Generatore d’onda VENTRI
Si possono individuare delle zone particolari che chiameremo: NODI Specchio Generatore d’onda VENTRI
NODI in questi punti non vi è energia!!!!! Generatore d’onda VENTRI in queste zone c’è energia!!!!! Specchio
Specchio Generatore d’onda
Questa onda si chiama: STAZIONARIA Specchio Generatore d’onda
POSSIAMO SCRIVERE L’EQUAZIONE DELL’ONDA STAZIONARIA Generatore d’onda Specchio
POSSIAMO SCRIVERE L’EQUAZIONE DELL’ONDA STAZIONARIA TRADUCENDO IN FORMULE QUESTA AFFERMAZIONE: Generatore d’onda Specchio
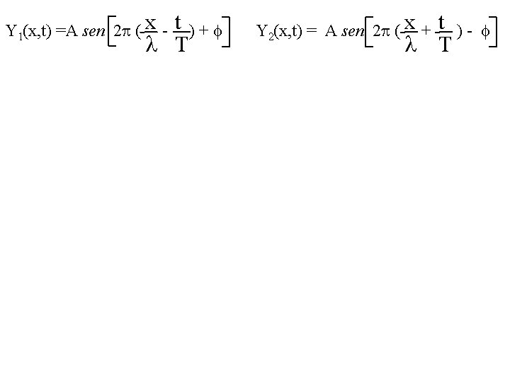
POSSIAMO SCRIVERE L’EQUAZIONE DELL’ONDA STAZIONARIA TRADUCENDO IN FORMULE QUESTA Specchio AFFERMAZIONE: Generatore d’onda L’onda stazionaria è la sovrapposizione di due onde identiche, ma aventi velocità opposte e sfasate tra loro di , dato che sono in opposizione di fase
L’onda stazionaria è la sovrapposizione di due onde identiche, ma aventi velocità opposte e sfasate tra loro di , dato che sono in opposizione di fase
L’onda stazionaria è la sovrapposizione di due onde identiche, ma aventi velocità opposte e sfasate tra loro di , dato che sono in opposizione di fase Y 1(x, t) = A sen 2 p ( x - t ) + f l T Y 2(x, t) = A sen 2 p ( x + t ) - f l T
L’onda stazionaria è la sovrapposizione di due onde identiche, ma aventi velocità opposte e sfasate tra loro di , dato che sono in opposizione di fase Y 1(x, t) = A sen 2 p ( x - t ) + f l T Stessa AMPIEZZA Y 2(x, t) = A sen 2 p ( x + t ) - f l T
L’onda stazionaria è la sovrapposizione di due onde identiche, ma aventi velocità opposte e sfasate tra loro di , dato che sono in opposizione di fase Y 1(x, t) = A sen 2 p ( x - t ) + f l T Y 2(x, t) = A sen 2 p ( x + t ) - f l T
L’onda stazionaria è la sovrapposizione di due onde identiche, ma aventi velocità opposte e sfasate tra loro di , dato che sono in opposizione di fase Y 1(x, t) = A sen 2 p ( x - t ) + f l T Stessa lunghezza d’onda Y 2(x, t) = A sen 2 p ( x + t ) - f l T
L’onda stazionaria è la sovrapposizione di due onde identiche, ma aventi velocità opposte e sfasate tra loro di , dato che sono in opposizione di fase Y 1(x, t) = A sen 2 p ( x - t ) + f l T Y 2(x, t) = A sen 2 p ( x + t ) - f l T
L’onda stazionaria è la sovrapposizione di due onde identiche, ma aventi velocità opposte e sfasate tra loro di , dato che sono in opposizione di fase Y 1(x, t) = A sen 2 p ( x - t ) + f l T Stesso periodo (quindi: stessa frequenza) Y 2(x, t) = A sen 2 p ( x + t ) - f l T Di conseguenza: stessa velocità! (V=l/T = l. f)
L’onda stazionaria è la sovrapposizione di due onde identiche, ma aventi velocità opposte e sfasate tra loro di , dato che sono in opposizione di fase Y 1(x, t) = A sen 2 p ( x - t ) + f l T Y 2(x, t) = A sen 2 p ( x + t ) - f l T
L’onda stazionaria è la sovrapposizione di due onde identiche, ma aventi velocità opposte e sfasate tra loro di , dato che sono in opposizione di fase Y 1(x, t) = A sen 2 p ( x - t ) + f l T Onda che avanza Y 2(x, t) = A sen 2 p ( x + t ) - f l T
L’onda stazionaria è la sovrapposizione di due onde identiche, ma aventi velocità opposte e sfasate tra loro di , dato che sono in opposizione di fase Y 1(x, t) = A sen 2 p ( x - t ) + f l T Onda che avanza Y 2(x, t) = A sen 2 p ( x + t ) - f l T Onda che torna indietro
L’onda stazionaria è la sovrapposizione di due onde identiche, ma aventi velocità opposte e sfasate tra loro di , dato che sono in opposizione di fase Y 1(x, t) = A sen 2 p ( x - t ) + f l T Y 2(x, t) = A sen 2 p ( x + t ) - f l T
L’onda stazionaria è la sovrapposizione di due onde identiche, ma aventi velocità opposte e sfasate tra loro di , dato che sono in opposizione di fase Y 1(x, t) = A sen 2 p ( x - t ) + f l T Y 2(x, t) = A sen 2 p ( x + t ) - f l T Le due onde hanno fase opposta
L’onda stazionaria è la sovrapposizione di due onde identiche, ma aventi velocità opposte e sfasate tra loro di , dato che sono in opposizione di fase Y 1(x, t) = A sen 2 p ( x - t ) + f l T Y 2(x, t) = A sen 2 p ( x + t ) - f l T
L’onda stazionaria è la sovrapposizione di due onde identiche, ma aventi velocità opposte e sfasate tra loro di , dato che sono in opposizione di fase Y 1(x, t) = A sen 2 p ( x - t ) + f l T Y 2(x, t) = A sen 2 p ( x + t ) - f l T
L’onda stazionaria è la sovrapposizione di due onde identiche, ma aventi velocità opposte e sfasate tra loro di , dato che sono in opposizione di fase Y 1(x, t) = A sen 2 p ( x - t ) + f l T Y 2(x, t) = A sen 2 p ( x + t ) - f l T Per scrivere l’equazione dell’onda risultante occorre SOMMARE le due equazioni precedenti
L’onda stazionaria è la sovrapposizione di due onde identiche, ma aventi velocità opposte e sfasate tra loro di , dato che sono in opposizione di fase Y 1(x, t) = A sen 2 p ( x - t ) + f l T Y 2(x, t) = A sen 2 p ( x + t ) - f l T
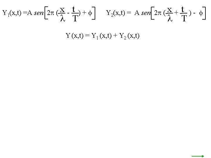
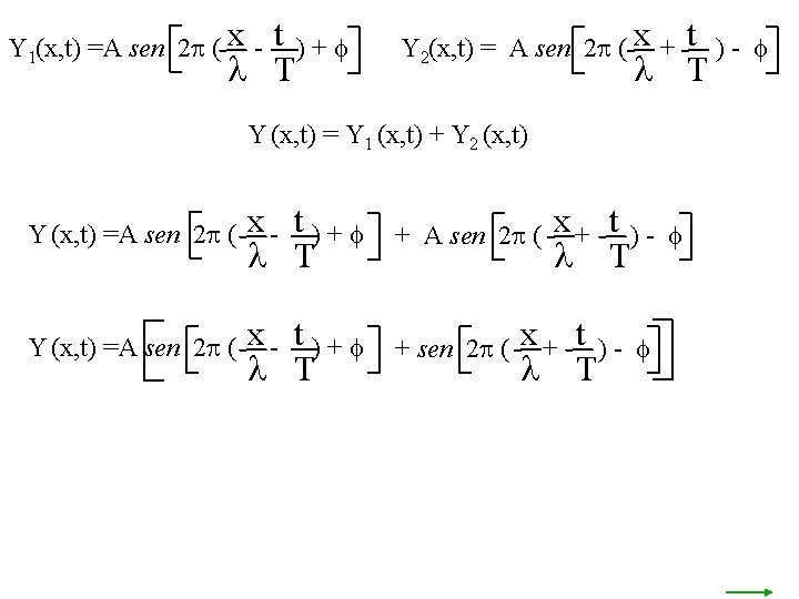
Y 1(x, t) =A sen 2 p ( x - t )+f l T Y 2(x, t) = A sen 2 p ( x + t )l T f
Y 1(x, t) =A sen 2 p ( x - t )+f l T Y 2(x, t) = A sen 2 p ( x + Y (x, t) = Y 1 (x, t) + Y 2 (x, t) t )l T f
Y 1(x, t) =A sen 2 p ( x - t )+f l T Y 2(x, t) = A sen 2 p ( x + t )l T Y (x, t) = Y 1 (x, t) + Y 2 (x, t) Y (x, t) =A sen 2 p ( x- t ) + f l T + A sen 2 p ( x+ t ) l T f f
Y 1(x, t) =A sen 2 p ( x - t )+f l T Y 2(x, t) = A sen 2 p ( x + t )l T Y (x, t) = Y 1 (x, t) + Y 2 (x, t) Y (x, t) =A sen 2 p ( x- t ) + f l T + A sen 2 p ( x+ t ) l T f f
Y 1(x, t) =A sen 2 p ( x - t )+f l T Y 2(x, t) = A sen 2 p ( x + t )l T Y (x, t) = Y 1 (x, t) + Y 2 (x, t) Y (x, t) =A sen 2 p ( x- t ) + f l T + A sen 2 p ( x+ t ) l T f f
Y 1(x, t) =A sen 2 p ( x - t )+f l T Y 2(x, t) = A sen 2 p ( x + t )l T Y (x, t) = Y 1 (x, t) + Y 2 (x, t) Y (x, t) =A sen 2 p ( x- t ) + f l T + A sen 2 p ( x+ t ) l T Raccogliamo A a fattor comune f f
Y 1(x, t) =A sen 2 p ( x - t )+f l T Y 2(x, t) = A sen 2 p ( x + t )l T Y (x, t) = Y 1 (x, t) + Y 2 (x, t) Y (x, t) =A sen 2 p ( x- t ) + f l T + A sen 2 p ( Y (x, t) =A sen 2 p ( x- t ) + f l T + sen 2 p ( x+ t ) l T f f f
Y 1(x, t) =A sen 2 p ( x - t )+f l T Y 2(x, t) = A sen 2 p ( x + t )l T Y (x, t) = Y 1 (x, t) + Y 2 (x, t) Y (x, t) =A sen 2 p ( x- t ) + f l T + A sen 2 p ( Y (x, t) =A sen 2 p ( x- t ) + f l T + sen 2 p ( x+ t ) l T Risolviamo la parentesi f f f
Y 1(x, t) =A sen 2 p ( x - t )+f l T Y 2(x, t) = A sen 2 p ( x + t )l T Y (x, t) = Y 1 (x, t) + Y 2 (x, t) Y (x, t) =A sen 2 p ( x- t ) + f l T + A sen 2 p ( Y (x, t) =A sen 2 p ( x- t ) + f l T + sen 2 p ( x+ t ) l T f f f
Y 1(x, t) =A sen 2 p ( x - t )+f l T Y 2(x, t) = A sen 2 p ( x + t )l T Y (x, t) = Y 1 (x, t) + Y 2 (x, t) Y (x, t) =A sen 2 p ( x- t ) + f l T + A sen 2 p ( Y (x, t) =A sen 2 p ( x- t ) + f l T + sen 2 p ( Y (x, t) =A sen x+ t ) l T f 2 p x - 2 p t + f + sen 2 p x + 2 p t - f l T f f
Dalla trigonometria sappiamo che:
Applichiamola alla formula appena calcolata:
Applichiamola alla formula appena calcolata: Y (x, t) =A sen 2 p x - 2 p t + f + sen 2 p x + 2 p t - f l T
Applichiamola alla formula appena calcolata: Y (x, t) =A sen 2 p x - 2 p t + f + sen 2 p x + 2 p t - f l T
Applichiamola alla formula appena calcolata: Y (x, t) =A sen 2 p x - 2 p t + f + sen 2 p x + 2 p t - f l T
2 p x l - 2 p t + f + T 2 p x l + 2 p t T Y (x, t) =2 A sen l - cos 2 Y (x, t) =A sen 2 p x -f 2 p t + f - T 2 p x l 2 2 p x - 2 p t + f + sen 2 p x + 2 p t - f l T + 2 p t T -f
2 p x l - 2 p t + f + T Y (x, t) =2 A sen 2 Y (x, t) 2 p x l + 2 p t T 2 p x -f l cos - 2 p t + f - T 2 2 p x l + 2 p t T -f
2 p x l - 2 p t + f + T Y (x, t) =2 A sen 2 Y (x, t) 2 p x l + 2 p t T 2 p x -f l cos - 2 p t + f - T 2 2 p x l + 2 p t T -f
2 p x l - 2 p t + f + T Y (x, t) =2 A sen 2 Y (x, t) 2 p x l + 2 p t T 2 p x -f l cos - 2 p t + f - T 2 2 p x l + 2 p t T -f
2 p x l - 2 p t + f + T Y (x, t) =2 A sen 2 Y (x, t) 2 p x l + 2 p t T 2 p x -f l cos - 2 p t + f - T 2 2 p x l + 2 p t T -f
2 p x l - 2 p t + f + T 2 p x l + 2 p t T Y (x, t) =2 A sen l cos 2 Y (x, t) X Y (x, t)= 2 p x -f - 2 p t + f - T 2 2 p x l + 2 p t T -f
2 p x l - 2 p t + f + T 2 p x l + 2 p t T 2 p x -f Y (x, t) =2 A sen l cos 2 - 2 p t + f - T 2 p x l 2 Y (x, t) X Y (x, t)= b g YY x(x, t)= , t 2 Asen 2 p X - 2 p t + 2 j cos T + 2 p t T -f
Y (x , t) 2 Asen 2 p X 2 p t +j cos T
Y (x , t) 2 Asen 2 p X 2 p t +j cos T Questo significa che, per qualunque valore di t,
Y (x , t) 2 Asen 2 p X 2 p t +j cos T Questo significa che, per qualunque valore di t, (Cioè: SEMPRE)
Y (x , t) 2 Asen 2 p X 2 p t +j cos T Questo significa che, per qualunque valore di t, (Cioè: SEMPRE) CI SONO DEI PUNTI CHE HANNO AMPIEZZA ZERO
Y (x , t) 2 Asen 2 p X 2 p t +j cos T Questo significa che, per qualunque valore di t, (Cioè: SEMPRE) CI SONO DEI PUNTI CHE HANNO AMPIEZZA ZERO (Cioè: ci sono dei punti che stanno SEMPRE FERMI: I NODI!)
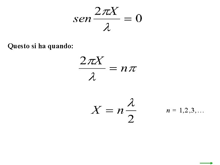
Y (x , t) 2 Asen 2 p X 2 p t +j cos T Questo significa che, per qualunque valore di t, (Cioè: SEMPRE) CI SONO DEI PUNTI CHE HANNO AMPIEZZA ZERO (Cioè: ci sono dei punti che stanno SEMPRE FERMI: I NODI!) Sono quelli per i quali vale la relazione:
Y (x , t) 2 Asen 2 p X 2 p t +j cos T (Cioè: ci sono dei punti che stanno SEMPRE FERMI: I NODI!) Sono quelli per i quali vale la relazione:
Y (x , t) 2 Asen 2 p X 2 p t +j cos T (Cioè: Infatti ci sono quando dei punti si verifica che stanno questa SEMPRE condizione, FERMI: I NODI!) Y(x, t) risulta uguale a zero Sono quelli per i quali vale la relazione:
Y (x , t) 2 Asen 2 p X 2 p t +j cos T (Cioè: ci sono dei punti che stanno SEMPRE FERMI: I NODI!) Sono quelli per i quali vale la relazione:
Questo si ha quando:
Questo si ha quando: n 1, 2 , 3 , . . .
Questo si ha quando: n 1, 2 , 3 , . . . Vediamo alcuni esempi
Specchio Generatore d’onda n=1
Specchio Generatore d’onda n=1
Specchio Generatore d’onda n=1
Specchio Generatore d’onda n=1
Specchio Generatore d’onda NODI n=1
Specchio VENTRE Generatore d’onda n=1
Specchio VENTRE Generatore d’onda 1 VENTRE n=1
Specchio Generatore d’onda
Specchio Generatore d’onda n=2
Specchio Generatore d’onda n=2
Specchio Generatore d’onda n=2
Specchio Generatore d’onda n=2
Specchio Generatore d’onda NODI n=2
Specchio VENTRE Generatore d’onda n=2
Specchio VENTRE Generatore d’onda 2 VENTRI n=2
Specchio Generatore d’onda
Specchio Generatore d’onda n=3
3 X 3 2 2 Generatore d’onda n=3 Specchio
3 X 3 2 2 Generatore d’onda n=3 Specchio
3 X 3 2 2 Generatore d’onda n=3 Specchio
3 X 3 2 2 Specchio Generatore d’onda NODI n=3
3 X 3 2 2 VENTRE Specchio VENTRE Generatore d’onda n=3 VENTRE
3 X 3 2 2 VENTRE Specchio VENTRE Generatore d’onda n=3 3 VENTRI
eccetera. . .
Un’applicazione molto nota ai musicisti è questa: Se questo è il suono di una corda quando non è premuta Sfiorando la corda con un dito, senza premerla, si ottiene l’armonica superiore