A friend emails you the results of a
































- Slides: 32
A friend e-mails you the results of a recent high school swim meet. The e-mail states that 24 individuals placed, earning a combined total of 53 points. First place earned 3 points, second place earned 2 points, and third place earned 1 point. There were as many first-placed finishers as second-and third -place finishers combined. 1) Write a system of three equations that represents how many people finished in each place. 2) How many swimmers finished in first place, second place, and third place?
Day 144/145 4/19/16 7. 3 Partial Fractions Objectives: Decompose rational functions Assignment: Hand out
Warm Up Add the rational function.
The Partial Fraction Decomposition of a Rational Expression with Distinct Linear Factors in the Denominator
Example: Partial Fraction Decomposition with Distinct Linear Factors Find the partial fraction decomposition of Step 1 Set up the partial fraction decomposition with the unknown constants.
Example: Partial Fraction Decomposition with Distinct Linear Factors (continued) Find the partial fraction decomposition of Step 2 Multiply both sides of the resulting equation by the least common denominator.
Example: Partial Fraction Decomposition with Distinct Linear Factors (continued) Find the partial fraction decomposition of Step 3 Choose values for x that make the factor zero and solve the resulting equation.
Example: Partial Fraction Decomposition with Distinct Linear Factors (continued) Find the partial fraction decomposition of Step 4 Substitute values of A and B and write the partial fraction decomposition.
Example: Partial Fraction Decomposition with Distinct Linear Factors Find the partial fraction decomposition of
Example: Partial Fraction Decomposition with Distinct Linear Factors Find the partial fraction decomposition of
Find the partial fraction decomposition of
The Partial Fraction Decomposition of Has Repeated Linear Factors
Example: Partial Fraction Decomposition with Repeated Linear Factors Find the partial fraction decomposition of Step 1 Set up the partial fraction decomposition with the unknown constants.
Example: Partial Fraction Decomposition with Repeated Linear Factors (continued) Find the partial fraction decomposition of Step 2 Multiply both sides of the resulting equation by the least common denominator.
Example: Partial Fraction Decomposition with Repeated Linear Factors (continued) Find the partial fraction decomposition of Step 3 Choose values for x that make the factor zero and solve the resulting equation. How do we solve for B?
Example: Partial Fraction Decomposition with Repeated Linear Factors (continued) Find the partial fraction decomposition of Step 4 Substitute the values (A, B, or C) you have solved for and a choose a new value for x.
Example: Partial Fraction Decomposition with Repeated Linear Factors (continued) Find the partial fraction decomposition of Step 5 Substitute values of A and B and write the partial fraction decomposition.
Example: Partial Fraction Decomposition with Repeated Linear Factors Find the partial fraction decomposition of
Example: Partial Fraction Decomposition with Repeated Linear Factors Find the partial fraction decomposition of
Example: Partial Fraction Decomposition with Repeated Linear Factors Find the partial fraction decomposition of
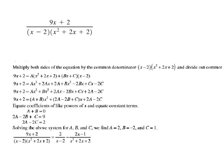
The Partial Fraction Decomposition of a Rational Expression with Prime, Nonrepeated Quadratic Factors in the Denominator
Example: Partial Fraction Decomposition Find the partial fraction decomposition of Step 1 Set up the partial fraction decomposition with the unknown constants.
Example: Partial Fraction Decomposition (continued) Find the partial fraction decomposition of Step 2 Multiply both sides of the resulting equation by the least common denominator.
Example: Partial Fraction Decomposition (continued) Find the partial fraction decomposition of Step 3 Choose values for x that make the factor zero and solve the resulting equation. Now what do we do?
Example: Partial Fraction Decomposition (continued) Find the partial fraction decomposition of Step 4 Substitute the values (A, B, or C) you have solved for and choose x to be zero.
Example: Partial Fraction Decomposition (continued) Find the partial fraction decomposition of Step 5 Substitute the values (A, B, or C) you have solved for and choose a new value for x.
Example: Partial Fraction Decomposition (continued) Find the partial fraction decomposition of Step 6 Substitute values of A and B and write the partial fraction decomposition.
Example: Partial Fraction Decomposition Find the partial fraction decomposition of
Example: Partial Fraction Decomposition Find the partial fraction decomposition of