9 9 Power Series A power series is

  • Slides: 19
Download presentation
9. 9 Power Series

9. 9 Power Series

A power series is in this form: or The coefficients c 0, c 1,

A power series is in this form: or The coefficients c 0, c 1, c 2… are constants. The center “a” is also a constant. (The first series would be centered at the origin if you graphed it. The second series would be shifted left or right. “a” is the new center. )

Once we have a series that we know, we can find a new series

Once we have a series that we know, we can find a new series by doing the same thing to the left and right hand sides of the equation. Example 3: This is a geometric series where r=-x. To find a series for multiply both sides by x.

Example 4: Given: find: So: We differentiated term by term.

Example 4: Given: find: So: We differentiated term by term.

Example 5: Given: find: hmm?

Example 5: Given: find: hmm?

Example 5:

Example 5:

The previous examples of infinite series approximated simple functions such as or. This series

The previous examples of infinite series approximated simple functions such as or. This series would allow us to calculate a transcendental function to as much accuracy as we like using only pencil and paper! p

Example 5

Example 5

Example 5

Example 5

Example 3

Example 3

Example 3

Example 3

Example 2

Example 2

Example 2

Example 2

Series that we should know

Series that we should know

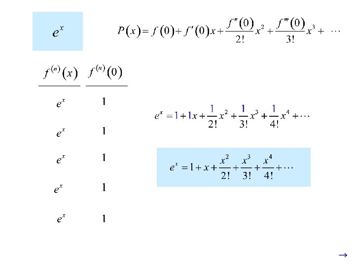
We have saved the best for last!

We have saved the best for last!

An amazing use for infinite series: Substitute xi for x. Factor out the i

An amazing use for infinite series: Substitute xi for x. Factor out the i terms.

This is the series for cosine. This is the series for sine. Let This

This is the series for cosine. This is the series for sine. Let This amazing identity contains the five most famous numbers in mathematics, and shows that they are interrelated. p

p. 676 5 - 25 odd • When a mathematician writes a Fantasy book,

p. 676 5 - 25 odd • When a mathematician writes a Fantasy book, will the page numbers be imaginary numbers?