8 Transcendental Functions Logarithms Exponential Functions Derivatives of

  • Slides: 59
Download presentation
บทท 8 ฟงกชนอดสย (Transcendental Functions) – ����� (Logarithms) – ���������� (Exponential Functions) – ����������

บทท 8 ฟงกชนอดสย (Transcendental Functions) – ����� (Logarithms) – ���������� (Exponential Functions) – ���������� (Derivatives of Inverse Trigonometric Function; Integrals) – ���������� (Hyperbolic Functions)

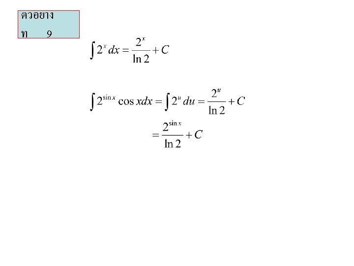
ฟงกชนเลขชกำลง (Exponential Functions) ������� (Inverse of Function)

ฟงกชนเลขชกำลง (Exponential Functions) ������� (Inverse of Function)

ฟงกชน secant Arc

ฟงกชน secant Arc

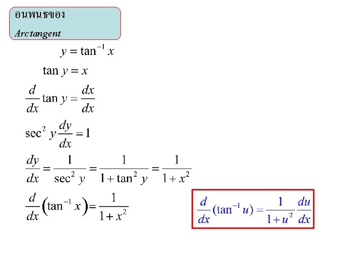
�������� Inverse Trigonometric Functions

�������� Inverse Trigonometric Functions

Hyperbolic Functions นยาม

Hyperbolic Functions นยาม

เอกลกษณของ functions hyperbolic

เอกลกษณของ functions hyperbolic

อนพนธของ functions hyperbolic

อนพนธของ functions hyperbolic

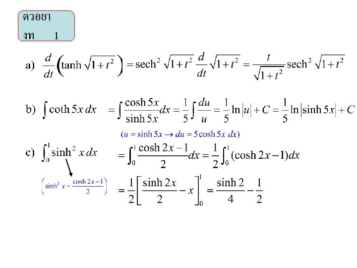
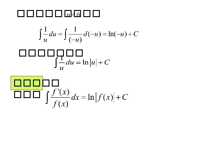
ปรพนธของ functions hyperbolic

ปรพนธของ functions hyperbolic

Inverse Hyperbolic Functions

Inverse Hyperbolic Functions

เปรยบเทยบ hyperbolic กบ Trigonometric Functions ดวยแผนภาพ

เปรยบเทยบ hyperbolic กบ Trigonometric Functions ดวยแผนภาพ

Inverse Hyperbolic Functions เอกลกษณของ Functions Inverse Hyperbolic

Inverse Hyperbolic Functions เอกลกษณของ Functions Inverse Hyperbolic

อนพนธของ Inverse Hyperbolic Functions หา������ Inverse Trigonometric Functions

อนพนธของ Inverse Hyperbolic Functions หา������ Inverse Trigonometric Functions

สรปอนพนธของ Inverse Hyperbolic Functions

สรปอนพนธของ Inverse Hyperbolic Functions