8 Generatory RC ze sprzeniem zwrotnym 8 1

  • Slides: 16
Download presentation
8. Generatory RC ze sprzężeniem zwrotnym 8. 1. Wstęp Selektywne czwórniki RC : -

8. Generatory RC ze sprzężeniem zwrotnym 8. 1. Wstęp Selektywne czwórniki RC : - mostek Wiena, -podwójne T, - T bocznikowane , - przesuwniki fazowe RC

8. 2. Mostek Wiena R 1 Ra U 1 Us U+ R 2 Rb

8. 2. Mostek Wiena R 1 Ra U 1 Us U+ R 2 Rb Rys. 8. 2. 1. Struktura mostka Wiena U-

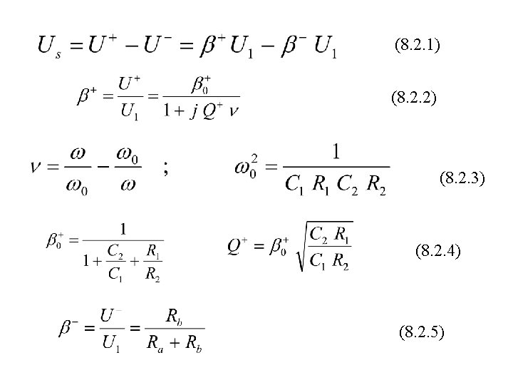
Zwykle C 1 = C 2 = C; R 1 = R 2 =

Zwykle C 1 = C 2 = C; R 1 = R 2 = R co daje (8. 2. 6) Przyjmując (8. 2. 7) otrzymujemy (8. 2. 8)

(8. 2. 9) Dla ν << 3 i ε << 3 (8. 2. 10)

(8. 2. 9) Dla ν << 3 i ε << 3 (8. 2. 10) (8. 2. 11)

(8. 2. 12) (8. 2. 13) (8. 2. 14)

(8. 2. 12) (8. 2. 13) (8. 2. 14)

Im(β) ω ε >0 -1/3 β<0 ω= ε <0 ω0 β=0 0 ω0 β>0

Im(β) ω ε >0 -1/3 β<0 ω= ε <0 ω0 β=0 0 ω0 β>0 ω0 Re(β) ε =0 Rys. 8. 2. 2. Wykres biegunowy współczynnika sprzężenia zwrotnego β dla mostka Wiena

8. 3. Generator z mostkiem Wiena R C +ECC R C + - -EEE

8. 3. Generator z mostkiem Wiena R C +ECC R C + - -EEE Rb RL Ra Rys. 8. 3. 1. Układ generatora z mostkiem Wiena UWY

8. 4. Czwórnik podwójne T β R R C Uβ n. R C C/n

8. 4. Czwórnik podwójne T β R R C Uβ n. R C C/n Rys. 8. 4. 1 Struktura czwórnika podwójne T U 2

( 8. 4. 1) gdzie : ( 8. 4. 2)

( 8. 4. 1) gdzie : ( 8. 4. 2)

Im(βu) ωrez 0 ωrez ω= 1 ω ω=0 Re(βu) n<0, 5 n>0, 5 n=0,

Im(βu) ωrez 0 ωrez ω= 1 ω ω=0 Re(βu) n<0, 5 n>0, 5 n=0, 5 Rys. 8. 4. 2. Wykres biegunowy współczynnika sprzężenia zwrotnego β dla czwórnika podwójne T

( 8. 4. 3) ( 8. 4. 4) ( 8. 4. 5) Jeżeli (

( 8. 4. 3) ( 8. 4. 4) ( 8. 4. 5) Jeżeli ( 8. 4. 6) ( 8. 4. 7)

8. 5. Generator z czwórnikiem podwójne T R R +ECC C R/2 C +

8. 5. Generator z czwórnikiem podwójne T R R +ECC C R/2 C + C -EEE Rb RL UWY Ra Rys. 8. 5. 1. Układ generatora z czwórnikiem podwójne T

8. 6. Generator z przesuwnikiem RC R R R +ECC - C C C

8. 6. Generator z przesuwnikiem RC R R R +ECC - C C C + -EEE Rb RL Ra Rys. 8. 6. 1. Układ generatora z przesuwnikiem RC UWY

8. 7. Układy z ograniczaniem i stabilizacją amplitudy R C +ECC + R -

8. 7. Układy z ograniczaniem i stabilizacją amplitudy R C +ECC + R - Rb Rp 1 -EEE RL UWY Rp 2 Ran Rys. 8. 7. 1. Układ generatora z mostkiem Wiena i stabilizacją amplitudy za pomocą diod

R C +ECC + R C Rp 2 - -EEE RL UWY Rp 1

R C +ECC + R C Rp 2 - -EEE RL UWY Rp 1 Rb Ra Rys. 8. 7. 2. Układ generatora z mostkiem Wiena i stabilizacją amplitudy za pomocą żarówki