7 Ideal Bose Systems 1 Thermodynamic Behavior of
7. Ideal Bose Systems 1. Thermodynamic Behavior of an Ideal Bose Gas 2. Bose-Einstein Condensation in Ultracold Atomic Gases 3. Thermodynamics of the Blackbody Radiation 4. The Field of Sound Waves 5. Inertial Density of the Sound Field 6. Elementary Excitations in Liquid Helium II
7. 1. Thermodynamic Behavior of an Ideal Bose Gas From § 6. 1 -2, Bose gas : Grand partition function Grand potential = BE condensation DOS
Correction for a(0) = 0 : ( to handle ) ( See App. F for rigorous justification ) E. g. : # of particles in ground state : is negligible for N 0 , V
Bose-Einstein functions
= # of particles in ground state
U, z ( n 3 ) << 1 for z < 1. Calculated using Mathematica
Virial Coefficients ( z << 1 ) al = Virial Coefficients = volume per particle Calculated using Mathematica
CV ( z << 1 ) Calculated using Mathematica CV has max. Known :
z ≤ 1 = density of excited particles = # of particles in the ground state N 0 0 1 10 100 z 0 0. 5 0. 91 0. 99 BEC ( Bose-Einstein Condensation )
Bose-Einstein Condensation ( BEC ) Superconductor : Condensatiion in momentum space Superfluid : Condensatiion in coordinate space Condition for BEC is or with Condensate = mixture of 2 phases : 1. Normal phase (excited particles) 2. Condensed phase (ground state p’cles) for T <<TC
Calculated using Mathematica For is obtained by solving
P(T) for all z as V for T < TC ½ PMB (TC)
for T TC for all z For T > TC , N 0 ~ O(1) ( Determines z for given n & T. ) Calculated using Mathematica Mixture (z=1) Virial expansions for T >> TC Inaccessible (z>1) normal phase ( z < 1) Bose gas Classical Transition line ( P T 5/2 T )
CV For T < TC For T = TC
For T < TC For T > TC
with = CV / T discontinuous at TC : Prob. 7. 6 classical value
Transition Calculated using Mathematica London : He I – He II transition is a BE condensation. m = 6. 65 10 24 g. He 4 V = 27. 6 cm 3 / mole v = V / NA = 4. 58 10 23 He II He I TC = 3. 13 K Exp: TC = 2. 19 K
Isotherms For isotherms, N, T = const. & z is a function of v = V / N determined by Setting & z is determined by for &
For v < v. C indep of v Transition line : P( v = v. C ) , i. e. , T>T Calculated using Mathematica
Adiabats Fundamental thermodynamic equation : see Reichl § 2. E
Since z = 1 for T > TC , z = const T for an adiabatic process. const z const n 3 For T > TC , Hence, for an adiabatic process i. e. Same as the ideal classical gas.
Prob 7. 4 -5 5/3 for > 5/3 otherwise for T >> TC T = TC Mixed phase region (T < TC ) : ( No contribution from N 0 )
7. 2. Bose-Einstein Condensation in Ultracold Atomic Gases Magneto-optical traps (MOTs) to cool 104 neutral atoms / molecules at T ~ n. K : Step 1 : T~ K 3 orthogonal pairs of opposing laser beams with Stationary atoms not affected. Moving atoms Doppler shifted to absorb photon & recoil. Re-emit photons are isotropic. Atoms slowed. Recoil limit :
Step 2 : T ~ 100 n K Laser off. Anisotropic, harmonic potential at trap center created by B(r). m = magnetic moment of atom Evaporative cooling : adjusted to resonance to remove highest energy atoms. Degeneracy of the level is Prob 3. 26
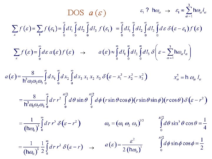
DOS a ( )
Grand Potential ( F = ) Grand partition function
N Onset of BEC : V = const for a trap z = 1, T = TC, N = Ne = # of trapped atoms. For a given T , z is given by
T > TC : Obs. ~ 170 n. K T < TC : is finite in the TD limit (N , V ). Occupancy of 1 st excited state : 0 in the TD limit.
7. 2. A. Detection of the BEC Harmonic oscillator : Linear size of ground state along x is Linear size of thermal distribution of excited atoms is ( equipartition theorem ) : For = 2 ( 100 Hz), T = 100 n. K, Time of flight measurement of momentum distribution f(p) : 1. B turned off atomic cloud expands for 100 ms according to f ( p ). ( v ~ 1 mm/s x ~ 100 m. ) 2. Cloud illuminated with laser at resonant shadow on CCD. ( size & shape of shadow n( r , t ) gives f ( p ) at t = 0 ) 3. For long times, n 0 ( r , t ) is anisotropic, while ne ( r , t ) is isotropic.
n 0 For a 1 -D harmonic oscillator in its ground state In the plane wave basis ( p-representation ) : At t = 0, B is turned off so that for t > 0, H = p 2 / 2 m : Mathematica
Mathematica t=0 t>t t~10 ms n anisotropyic for large t ( BEC signature )
nexcited Semi-classical treatment : 1. ensemble average done in phase space : 2. BE statistics is used for f : with For t > 0
n loses anisotropy for large t. t=0 Mathematica t~10 ms
87 Rb Anisotropy is BEC signature.
7. 2. B. Thermodynamic Properties of the BEC Alternatively : = same result Setting z = 1 : ( U = 0 for condensate ) for T > TC for T < TC
Calculated using Mathematica
V is const in trap T > TC : T < TC :
Calculated using Mathematica
- Slides: 38