7 1 IntroductionFunctions and Inverses A function is































































- Slides: 63
7. 1 Introduction-Functions and Inverses A function is a rule that assigns a unique value to every member in its domain. 3 2 9 3 5 1 7 0 f Notation: f (2) = 1, f (3) = 7, f (5) = 3 and f (9) =0 f consists of ordered pairs (2, 1) (3, 7) (5, 3) (9, 0) 3 2 9 3 5 7 0 g Notation: g(2) = 7, g(3) = 7, g(5) = 3 and g(9) =0 (2, 7) (3, 7) (5, 3) (9, 0)
One-to-One functions A function is one –to-one if each value in its domain is assigned a different value in the range. 3 2 9 3 5 1 7 0 f ordered pairs (2, 1) (3, 7) (5, 3) (9, 0) One-to-one 3 2 9 3 5 7 0 g (2, 7) (3, 7) (5, 3) (9, 0) Note g is not one-to-one.
Functions expressed as graphs Use the horizontal line test to determine if function is one-to-one. If derivative of a function is always positive or always negative, the function is 1=1.
Restricting Domains Not 1 -1 Restrict domain to x 0 Now function is 1 -1 and has an inverse function You can make a function 1 -1 by restricting its domain. Such a function will have an inverse.
Inverse functions If f is a one-to-one function with domain A and range B, it has an inverse function f – 1 with domain B and range A. 3 A 2 9 3 5 B 1 7 0 f Function ordered pairs ( a, b) are (2, 1) (3, 7) (5, 3) (9, 0) B 3 1 7 0 3 f -1 A 2 9 5 Inverse ordered pairs (b, a) are (1, 2) (7, 3) (3, 5) (0, 9)
How to find the inverse of a one-to-one-function 1. 2. 3. 4. Replace f(x) with y Interchange x and y Solve the equation for x in terms of y (if possible) Replace y with f -1 (x)
f and f – 1 are inverses if and only if the result of the composition of a function and its inverse (in either order is the original input, x. f ={(2, 1) (3, 7) (5, 3) (9, 0)} f – 1(f (2)) = f – 1(1)= 2 f -1 = {(1, 2) (7, 3) (3, 5) (0, 9)} and f (f – 1(1) = f(2) =1 Use the composition of functions to show inverses
The graphs of inverse functions have reciprocal slopes at corresponding points. Slopes of Inverse functions
If f is a one-to-one differentiable function with inverse function g = f – 1 and then the inverse function is differentiable at a and
The derivative of ƒ(x) = x 3 – 2 at the point (2, 6) tells us the derivative of ƒ – 1 at the point (6, 2).
7. 2*New way to define a function From Calculus I: To investigate case for n = -1, we will define the integral as a new function. f(x) is called the natural logarithm f(x) = ln x • Domain is set of all positive real numbers. • Range is all reals • For x > 1, ln x is positive. • For 0 < x < 1, ln x is negative • ln 1 = 0
interpretation Represents the area under the curve when x > 1. x Represents the negative of the area under the curve when 0 < x <1 When x = 1, the natural log is 0.
Characteristics of graph of y = ln x is an antiderivative of 1/x. Since x is positive, 1/x is also positive so the slope of ln x is always positive and ln x is increasing. The second derivative of ln x is The second derivative is always negative. ln x is always concave down. So, ln x is increasing, concave down and goes through (1, 0)
The graph of y = ln (x) and its relation to the function y = 1/x, x > 0. The graph of the logarithm rises above the x-axis as x moves from 1 to the right, and it falls below the axis as x moves from 1 to the left. y=ln x ln 1 = 0 ln e = 1
Differentiation of Natural Log Functions Examples (a)
Differentiation of Natural Log Functions Answers 1) Chain rule (a) 1) Chain rule 1) Product rule 1) power rule
Properties of natural logs • ln(1) = 0 • ln(ax) = ln(a) + ln (x) • ln(xn) = n ln x • ln(a/x) = ln (a) – ln (x) Expand Logarithmic expressions to sums (a) (b) ln (x 2 – 3)5 (c)
Expanding Logarithmic expressions to sums (a) = ln (3 x +1) – ln (5 x-2) (b) ln (x 2 – 3)5 = 5 ln (x 2 – 3) (c)
Logarithmic differentiation • Use properties of logs to expand then find the derivative (a) y = (3 x + 1)(5 x - 2)(7 x 2 +4) (b)
• y = (3 x + 1)(5 x - 2)(7 x 2 +4) • Take natural log of each side • ln y = ln ( 1) (3 x. + 1)(5 x - 2)(7 x 2 +4)) • Use the properties of logs to rewrite • ln y = ln (3 x + 1)+ ln(5 x - 2)+ ln(7 x 2 +4) • Differentiate both sides Solve for y’ Replace y with function of x.
• Take natural log of each side • Use the properties of logs to rewrite • Differentiate both sides Solve for y’ Replace y with function of x.
Integration involving the natural log function Examples
Solutions u=x 2 - 3 du=2 xdx u=3 + cos x du=-sin x dx u=cos x du=-sin x dx
ln x is one to one so it has an inverse. The graphs of y = ln x and y = ln– 1 x. 7. 3*Inverse of ln The number that has a natural log of 1 is e. ln– 1 x = ex 1 = ln e 0 = ln 1
Cancellation properties Since ex and ln x are inverse functions ln ex = x lne = x elnx = x ln e 5 = 5 lne = 5 eln 7 = 7
Derivative of y = ex ex is its own derivative General formula
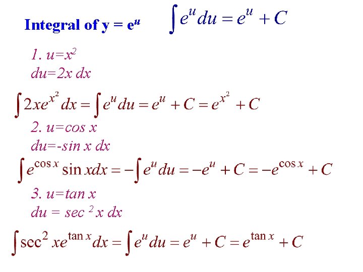
Integral of y = eu
Integral of y = eu 1. u=x 2 du=2 x dx 2. u=cos x du=-sin x dx 3. u=tan x du = sec 2 x dx
7. 4 Logs with other bases 1) 2) Hint: ln a is a constant factor
Logs with other bases u=ln 7 x du = 1/x dx
Exponential functions decrease if 0 < a < 1 and increase if a > 1. As x , we have ax 0 if 0 < a < 1 and ax if a > 1. As x – , we have ax if 0 < a < 1 and ax 0 if a > 1. Exponential functions
7. 4 Exponential functions with other bases General formula (using the chain rule):
Exponential functions with other bases General formula where u = f(x)
Exponential functions with other bases
Review questions Find the derivative for:
Answers to Review questions
Answers to review questions
7. 5 Arcsin function x = sin y The graph of y = sin– 1 x has vertical tangents at x = – 1 and x = 1.
Derivative of inverse sine y = sin-1 x is equivalent to sin y = x Using implicit differentiation, cos y y = 1 1 y) x If y = sin-1 u Find the derivative for y = tan-1 u and sec-1 u.
Using inverse cofunction identities, find the derivatives of the inverse cofunctions. The derivative of the inverse cofunction is the negative of the derivative of the function.
Derivatives of inverse trig functions
Integrals
Integrals
Answers Pattern recognition Is the key to solving These.
Complete the Trigonometric Integrals
7. 6 Hyperbolic and circular functions
Definitions of Hyperbolic functions
Derivatives of Hyperbolic functions
A hanging cable lies along the hyperbolic cosine y = (H/w) cosh (wx/H). A Catenary
Inverse hyperbolic functions
Derivatives of inverse hyperbolic functions
Integrals leading to inverse hyperbolic functions. Interesting but you will learn how to do these in an easier way next chapter. They won’t be on your test!! Another example of integrals of algebraic functions Leading to transcendentals.
Inverse Hyperbolics as Natural Log functions Skip this for now.
Inverse Hyperbolics as Natural Log functions skip this-not on test.
Indeterminate forms. Determinate forms 0 0 0 - 1
L’Hôpital’s Rule Let f and g be functions that are differentiable on an interval (a, b) containing c except possible at c itself. Assume that g (x) 0. If produces the indeterminate form, then This result applies to the following indeterminate forms:
0 0 Since the indeterminate form results, apply L’Hôpital’s Rule.
Since the indeterminate form results, apply L’Hôpital’s Rule.
Since the indeterminate form results, apply L’Hôpital’s Rule. - - Since the indeterminate form results, apply L’Hôpital’s Rule again.
Indeterminate form 0* rewrite Since the indeterminate form results, apply L’Hôpital’s Rule.
Indeterminate forms involving variable bases and variable exponents leading to
Indeterminate forms involving 0 0