60 years ago The explosion in hightech medical


































- Slides: 34
60 years ago…
The explosion in high-tech medical imaging & nuclear medicine (including particle beam cancer treatments)
The constraints of limited/vanishing fossils fuels in the face of an exploding population
The constraints of limited/ vanishing fossils fuels …together with undeveloped or under-developed new technologies
will renew interest in nuclear power Nuclear
Fission power generators will be part of the political landscape again as well as the Holy Grail of FUSION.
…exciting developments in theoretical astrophysics The evolution of stars is well-understood in terms of stellar models incorporating known nuclear processes. The observed expansion of the universe (Hubble’s Law) lead Gamow to postulate a Big Bang which predicted the Cosmic Microwave Background Radiation as well as made very specific predictions of the relative abundance of the elements (on a galactic or universal scale).
1896 1899 1912 a, b g
Henri Becquerel (1852 -1908) 1903 Nobel Prize discovery of natural radioactivity Wrapped photographic plate showed distinct silhouettes of uranium salt samples stored atop it. 1896 While studying fluorescent & phosphorescent materials, Becquerel finds potassium-uranyl sulfate spontaneously emits radiation that can penetrate thick opaque black paper aluminum plates copper plates Exhibited by all known compounds of uranium (phosphorescent or not) and metallic uranium itself.
1898 Marie Curie discovers thorium (90 Th) Together Pierre and Marie Curie discover polonium (84 Po) and radium (88 Ra) 1899 Ernest Rutherford identifies 2 distinct kinds of rays emitted by uranium - highly ionizing, but completely absorbed by 0. 006 cm aluminum foil or a few cm of air - less ionizing, but penetrate many meters of air or up to a cm of aluminum. 1900 P. Villard finds in addition to rays, radium emits - the least ionizing, but capable of penetrating many cm of lead, several ft of concrete
B-field points into page 1900 -01 Studying the deflection of these rays in magnetic fields, Becquerel and the Curies establish rays to be charged particles
F
1900 -01 Using the procedure developed by J. J. Thomson in 1887 Becquerel determined the ratio of charge q to mass m for : q/m = 1. 76× 1011 coulombs/kilogram identical to the electron! : q/m = 4. 8× 107 coulombs/kilogram 4000 times smaller!
Number surviving Radioactive atoms What does stand for?
log. N time Number surviving Radioactive atoms
for x measured in radians (not degrees!) What if x was a measurement that carried units?
Let’s complete the table below (using a calculator) to check the “small angle approximation” (for angles not much bigger than ~15 -20 o) which ignores more than the 1 st term of the series Note: the x or (in radians) = ( /180 o) (in degrees) Angle (radians) 25 o 0 1 2 3 4 6 8 10 15 20 25 0 0. 017453293 0. 034906585 0. 052359878 0. 069813170 0. 104719755 0. 139626340 0. 174532952 0. 261799388 0. 349065850 0. 436332313 sin 0. 00000 0. 017452406 0. 034899497 0. 052335956 0. 069756473 0. 104528463 0. 139173101 0. 173648204 0. 258819045 0. 342020143 0. 422618262 97% accurate!
y=x y = x 3/6 y = x - x 3/6 + x 5/120 y = sin x y = x - x 3/6
Any power of e can be expanded as an infinite series Let’s compute some powers of e using just the above 5 terms of the series e 0 = 1 + 0 + 0 = 1 e 1 = 1 + 0. 500000 + 0. 166667 + 0. 041667 2. 708334 e 2 = 1 + 2. 000000 + 1. 333333 + 0. 666667 7. 000000 e 2 = 7. 3890560989…
violin Piano, Concert C Clarinet, Concert C Miles Davis’ trumpet
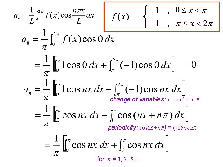
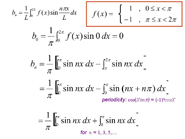
A Fourier where series can be defined for any function over the interval 0 x 2 L Often easiest to treat n=0 cases separately
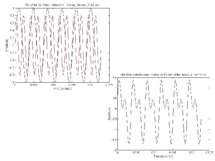
Compute the Fourier series of the SQUARE WAVE function f given by 2 Note: f(x) is an odd function ( i. e. f(-x) = -f(x) ) so f(x) cos nx will be as well, while f(x) sin nx will be even.
change of variables: x x' = x- periodicity: cos(X+n ) = (-1)ncos. X for n = 1, 3, 5, …
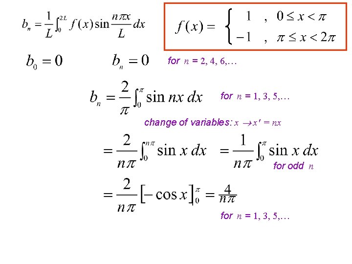
for n = 2, 4, 6, … for n = 1, 3, 5, … change of variables: x x' = nx IF f(x) is odd, all an vanish!
periodicity: cos(X±n ) = (-1)ncos. X for n = 1, 3, 5, …
for n = 2, 4, 6, … for n = 1, 3, 5, … change of variables: x x' = nx for odd n for n = 1, 3, 5, …
y 1 2 x
Leads you through a qualitative argument in building a square wave http: //mathforum. org/key/nucalc/fourier. html Add terms one by one (or as many as you want) to build fourier series approximation to a selection of periodic functions http: //www. jhu. edu/~signals/fourier 2/ Build Fourier series approximation to assorted periodic functions and listen to an audio playing the wave forms http: //www. falstad. com/fourier/ Customize your own sound synthesizer http: //www. phy. ntnu. edu. tw/java/sound. html