6 Dispositivos Passivos 6 1 Atenuadores Evitar a

  • Slides: 30
Download presentation
6. Dispositivos Passivos

6. Dispositivos Passivos

6. 1. Atenuadores • • Evitar a saturação de amplificadores Realizar medida de alta

6. 1. Atenuadores • • Evitar a saturação de amplificadores Realizar medida de alta potência Reduzir a potência de ondas refletidas Circuito: – Duas portas – Perfeitamente casado – Recíproco – Não conservativo

Atenuador Resistivo

Atenuador Resistivo

6. 2. Divisores de Potência • Conectar um gerador a duas ou mais cargas.

6. 2. Divisores de Potência • Conectar um gerador a duas ou mais cargas. • Dividir a potência incidente igualmente entre as cargas • Circuito: – Três ou mais portas – Recíproco – Se conservativo, é imperfeitamente casado – Se perfeitamente casado, não é conservativo

Transformador de RF

Transformador de RF

Transformador

Transformador

Circuitos Magnéticos Primário Secundário Relação de Transformação:

Circuitos Magnéticos Primário Secundário Relação de Transformação:

Transformador de Quarto de Onda

Transformador de Quarto de Onda

Resistor de Isolação

Resistor de Isolação

Divisor de Wilkinson

Divisor de Wilkinson

6. 3. Acopladores Direcionais • • • Medição de potências incidente e refletida Amplificador

6. 3. Acopladores Direcionais • • • Medição de potências incidente e refletida Amplificador balanceado Modulador e demodulador AM Modulador em quadratura Divisor de potência Circuito: – Quatro portas – Recíproco – Perfeitamente casado – Conservativo

Utilização

Utilização

Parâmetros de Espalhamento

Parâmetros de Espalhamento

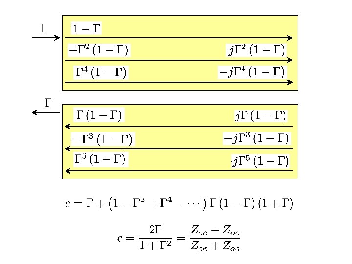
Acoplador de Dois Pontos Acoplamento Fraco: C > 10 d. B

Acoplador de Dois Pontos Acoplamento Fraco: C > 10 d. B

Acoplador Reverso Acoplamento Moderado: 6 d. B < C < 20 d. B

Acoplador Reverso Acoplamento Moderado: 6 d. B < C < 20 d. B

Modos Par e Ímpar Modo Par Modo Ímpar

Modos Par e Ímpar Modo Par Modo Ímpar

Acoplador Ramificado Acoplamento Forte: C < 10 d. B Híbrida de 90°: C =

Acoplador Ramificado Acoplamento Forte: C < 10 d. B Híbrida de 90°: C = 3 d. B

Híbrida de 180° com Transformadores de RF C = 3 d. B

Híbrida de 180° com Transformadores de RF C = 3 d. B

Híbrida Rat-Race Híbrida de 180°: C = 3 d. B

Híbrida Rat-Race Híbrida de 180°: C = 3 d. B

6. 4. Circuladores • • • Casamento de impedâncias Proteção de geradores e amplificadores

6. 4. Circuladores • • • Casamento de impedâncias Proteção de geradores e amplificadores Full-duplex: mesma antena para Tx e Rx Chave controlada por corrente Circuito: – – Três portas Perfeitamente casado Conservativo Não recíproco

Utilização

Utilização

Parâmetros de Espalhamento

Parâmetros de Espalhamento

Circulador e Isolador

Circulador e Isolador

Ferrite Magneticamente Polarizada

Ferrite Magneticamente Polarizada

Ferrite Magneticamente Polarizada

Ferrite Magneticamente Polarizada

Construção

Construção

Circulador Duplo

Circulador Duplo

Circulador Duplo

Circulador Duplo

Circulador Duplo

Circulador Duplo