6 6 De Moivres Theorem I Trigonometric Form

  • Slides: 22
Download presentation
6. 6 De. Moivre’s Theorem

6. 6 De. Moivre’s Theorem

I. Trigonometric Form of Complex Numbers A. ) The standard form of the complex

I. Trigonometric Form of Complex Numbers A. ) The standard form of the complex number is very similar to the component form of a vector If we look at the trigonometric form of v, we can see

B. ) If we graph the complex z = a + bi on the

B. ) If we graph the complex z = a + bi on the complex plane, we can see the similarities with the polar plane. P (a, b) z = a + bi r b θ a

C. ) If we let where and then,

C. ) If we let where and then,

D. ) Def. – The trigonometric form of a complex number z is given

D. ) Def. – The trigonometric form of a complex number z is given by Where r is the MODULUS of z and θ is the ARGUMENT of z.

E. ) Ex. 1 - Find the trig form of the following:

E. ) Ex. 1 - Find the trig form of the following:

II. Products and Quotients A. ) Let . Mult. Div. - DERIVE THESE!!!!

II. Products and Quotients A. ) Let . Mult. Div. - DERIVE THESE!!!!

B. ) Ex. 2 – Given find .

B. ) Ex. 2 – Given find .

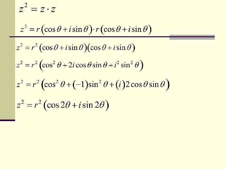
III. Powers of Complex Numbers A. ) De. Moivre’s (di-’mo i-vərz) Theorem – If

III. Powers of Complex Numbers A. ) De. Moivre’s (di-’mo i-vərz) Theorem – If z = r(cosθ + i sinθ) and n is a positive integer, then, Why? ? ? – Let’s look at z 2 -

B. ) Ex. 3 – Find by “Foiling”

B. ) Ex. 3 – Find by “Foiling”

C. ) Ex. 4– Now find De. Moivre’s Theorem using

C. ) Ex. 4– Now find De. Moivre’s Theorem using

D. ) Ex. 5 –Use De. Moivre’s Theorem to simplify

D. ) Ex. 5 –Use De. Moivre’s Theorem to simplify

IV. nth Roots of Complex Numbers A. ) Roots of Complex Numbers – v

IV. nth Roots of Complex Numbers A. ) Roots of Complex Numbers – v = a + bi is an nth root of z iff vn = z. If z = 1, then v is an nth ROOT OF UNITY.

B. ) If numbers , then the n distinct complex Where k = 0,

B. ) If numbers , then the n distinct complex Where k = 0, 1, 2, …, n-1 are the nth roots of the complex number z.

C. ) Ex. 6 - Find the 4 th roots of

C. ) Ex. 6 - Find the 4 th roots of

V. Finding Cube Roots A. ) Ex. 7 - Find the cube roots of

V. Finding Cube Roots A. ) Ex. 7 - Find the cube roots of -1.

Now. . Plot these points on the complex plane. What do you notice about

Now. . Plot these points on the complex plane. What do you notice about them?

Equidistant from the origin and equally spaced about the origin.

Equidistant from the origin and equally spaced about the origin.

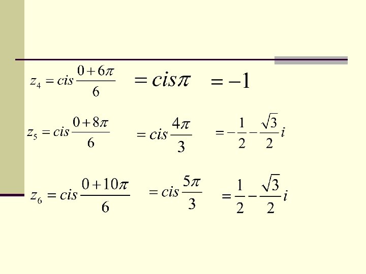
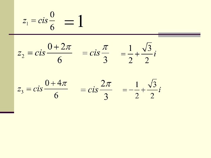
VI. Roots of Unity A. ) Any complex root of the number 1 is

VI. Roots of Unity A. ) Any complex root of the number 1 is also known as a ROOT OF UNITY. B. ) Ex. 8 - Find the 6 roots of unity.