6 1 Greatest Common Factor and Factoring by
6. 1 Greatest Common Factor and Factoring by Grouping 1. List all possible factors for a given number. 2. Find the greatest common factor of a set of numbers or monomials. 3. Write a polynomial as a product of a monomial GCF and a polynomial. 4. Factor by grouping.
Factors: Expressions that are multiplied Terms: Expressions that are added/subtracted 2(3) 2 x 2 factors 5 xy 3 factors x + y 0 factors, 2 terms 3(x + y)(3 x + 4)(2 x + 1) 2 factors, the second factor has 2 terms 3 factors each with 2 terms
Factored form: A number or an expression written as a product of factors. 3(x + 5) 3 x + 1 Factored form 5 (3 x + 2)(x + 5) 3 x(x + 5) + 2(x + 5) Not factored form Factored form Not factored form
Greatest Common Factor = 12 Greatest common factor (GCF): The largest natural number that divides all given numbers with no remainder.
Listing Method for Finding GCF 1. List all possible factors for each given number. 2. Find the largest factor common to all lists.
Prime Factorization Method for Finding GCF 1. Write the prime factorization of each given number in exponential form. 2. Write the prime factors common to all factorizations. 3. Each factor is raised to the smallest exponent. 4. Multiply the factors in the factorization. Note: If there are no common prime factors, then the GCF is 1.
Find the GCF of a 4 b 4 c 5 and a 3 b 7. Common primes: a and b. The smallest exponent for a is 3. The smallest exponent for b is 4. GCF = a 3 b 4
Find the GCF: 45 a 3 b and 30 a 2. GCF = 3 • 5 • a 2 = 15 a 2
Multiplication and factoring are opposite operations. In multiplication, we know the factors and want to find the product. 2 · 5 = 10 In factoring, we know the product and want to find the factors. 10 = 2 · 5 You are used to using the distributive property. 8(y – 3) = 8 y – 24 Now we want to reverse the process. 8 y – 24 = 8(y – 3)
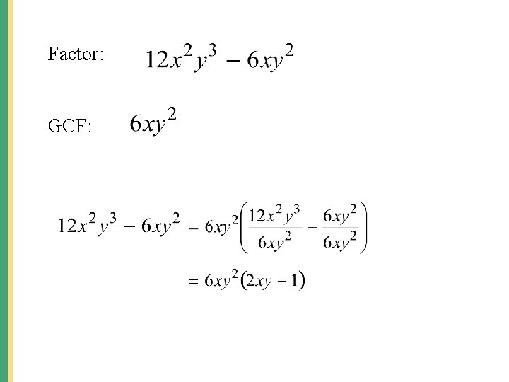
Factor: GCF: 6 x ALWAYS check by distributing!
Factor: GCF:
Factoring a Monomial GCF Out of a Polynomial 1. Find the GCF of the terms in the polynomial. 2. Rewrite the given polynomial as a product of the GCF and the quotient of the polynomial and the GCF. polynomial = GCF
Factor: Make the first term in the parentheses positive. Factor out the negative. GCF: 3 x 2 y Watch your signs!!!
Factor: GCF: Prime polynomial
Factor out the GCF. a) b) c) d) 6. 1 Copyright © 2011 Pearson Education, Inc. Slide 6 - 15
Factor by factoring out the GCF. a) b) c) d) 6. 1 Copyright © 2011 Pearson Education, Inc. Slide 6 - 16
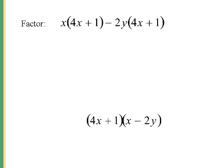
Factor: GCF: (b + 5) Not in factored form!!
Factor:
Factor out the GCF. a) Already factored b) c) d) 6. 1 Copyright © 2011 Pearson Education, Inc. Slide 6 - 19
Factor by factoring out the GCF. a) Already factored b) c) d) 6. 1 Copyright © 2011 Pearson Education, Inc. Slide 6 - 20
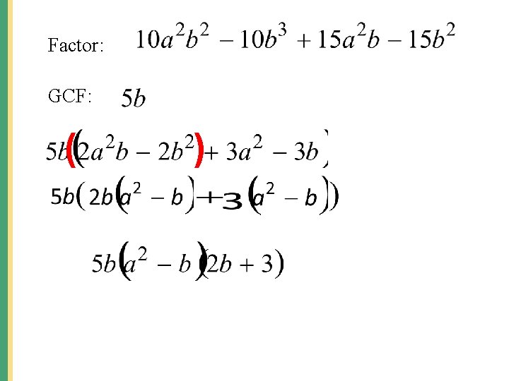
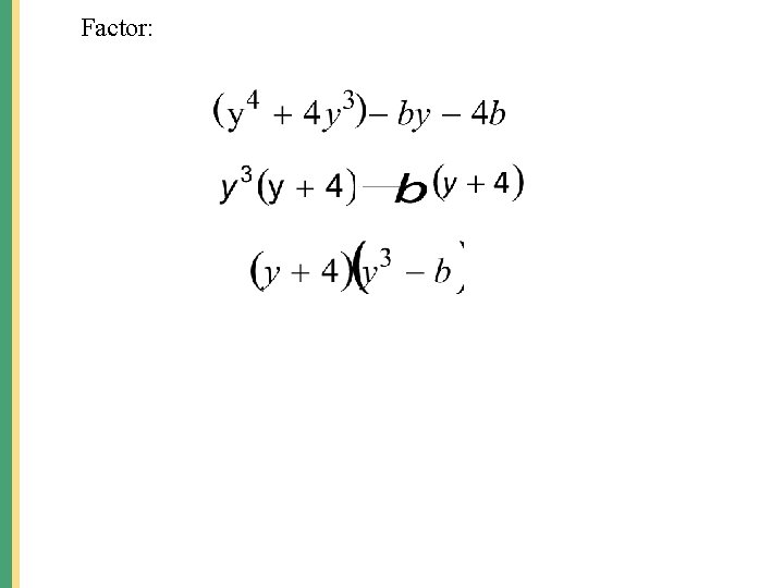
Factor: 4 terms suggest Factor by Grouping Rewrite with a binomial GCF.
Factor: 1. Group only the first two terms. 2. Factor this first group. 3. Write this same binomial factor for the second group. 4. Find the common factor for the last two terms. 5. Determine the correct sign. Check your signs! 6. Factor out the common binomial.
Factor: 1. Group only the first two terms. 2. Factor this first group. 3. Write this same binomial factor for the second group. 4. Find the common factor for the last two terms. 5. Determine the correct sign. Check your signs! 6. Factor out the common binomial.
Factor:
Factor:
Factor: If there are no common factors, switch the middle two terms and try again. Keep the sign with each term.
Factor by grouping. Prime Polynomial 6. 1 Copyright © 2011 Pearson Education, Inc. Slide 6 - 27
Factor: GCF: ( )
Factor by grouping. a) b) c) d) 6. 1 Copyright © 2011 Pearson Education, Inc. Slide 6 - 29
Factor by grouping. a) b) c) d) 6. 1 Copyright © 2011 Pearson Education, Inc. Slide 6 - 30
- Slides: 30